Skip to main content

Volume 33 - Issue 7 - July, 2021

06/30/2021
July 2021 TOC and Whole Issue PDF
July 2021 TOC and Whole Issue PDF
July 2021 TOC and Whole Issue PDF
06/30/2021
Journal of Invasive Cardiology
Clinical Images
06/30/2021
Teruo Noguchi, MD, PhD; Yu Kataoka, MD; Kota Murai, MD; Masashi Fujino, MD, PhD
A 71-year-old female was hospitalized due to suspected coronary artery stenosis on multislice computed tomography. Elective coronary angiography was performed via the left distal radial artery.
A 71-year-old female was hospitalized due to suspected coronary artery stenosis on multislice computed tomography. Elective coronary angiography was performed via the left distal radial artery.
A 71-year-old female was...
06/30/2021
Journal of Invasive Cardiology
Clinical Images
06/29/2021
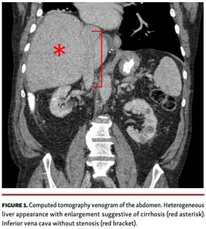
Michael Luna, MD; Faris G. Araj, MD; Alpesh A. Amin, MD; Pradeep P.A. Mammen, MD; Jyoti P. Balani, MD, MBBS; Sonia Garg, MD
IVC stenosis is a rare complication of bicaval orthotopic heart transplant. IVC stenosis can occur at either the cavo-atrial anastomosis, or the caval cannulation site, with presentations ranging from acute shock early post transplant to a...
IVC stenosis is a rare complication of bicaval orthotopic heart transplant. IVC stenosis can occur at either the cavo-atrial anastomosis, or the caval cannulation site, with presentations ranging from acute shock early post transplant to a...
IVC stenosis is a rare...
06/29/2021
Journal of Invasive Cardiology
Clinical Images
06/29/2021
J. J. Coughlan, MB, BCh; Peter Crean, MD; John V. Cosgrave, MD
To our knowledge, this is the first reported case of unintentional removal of a deployed stent due to the fracture of a micro-catheter tip.
To our knowledge, this is the first reported case of unintentional removal of a deployed stent due to the fracture of a micro-catheter tip.
To our knowledge, this is the...
06/29/2021
Journal of Invasive Cardiology
Clinical Images
06/29/2021
Alfonso Jurado-Román, MD, PhD; Raúl Moreno-Gómez, MD, PhD; Guillermo Galeote, MD, PhD; Santiago Jimenez-Valero, MD, PhD
Guidewire-related complications are rarely reported, but are significantly associated with mortality and morbidity. Although radial approach is preferred in the majority of cases, femoral approach is needed in some complex procedures;...
Guidewire-related complications are rarely reported, but are significantly associated with mortality and morbidity. Although radial approach is preferred in the majority of cases, femoral approach is needed in some complex procedures;...
Guidewire-related complications...
06/29/2021
Journal of Invasive Cardiology
Clinical Images
06/29/2021
Hector Cubero-Gallego, MD, PhD; Beatriz Vaquerizo, MD, PhD
We describe an uncommon and potentially life-threatening complication during stent assessment by optical coherence tomography (OCT) with entrapment and complete stent removal. Possible mechanisms for OCT-catheter entrapment include malapposed...
We describe an uncommon and potentially life-threatening complication during stent assessment by optical coherence tomography (OCT) with entrapment and complete stent removal. Possible mechanisms for OCT-catheter entrapment include malapposed...
We describe an uncommon and...
06/29/2021
Journal of Invasive Cardiology
Clinical Images
06/29/2021
David Blusztein, MD; Harsh Agrawal, MD
This case demonstrates a rare but catastrophic complication of transcatheter aortic valve replacement (TAVR). In an era where TAVR is now indicated in low-risk patients, serious complication rates are less frequent. It exemplifies the...
This case demonstrates a rare but catastrophic complication of transcatheter aortic valve replacement (TAVR). In an era where TAVR is now indicated in low-risk patients, serious complication rates are less frequent. It exemplifies the...
This case demonstrates a rare...
06/29/2021
Journal of Invasive Cardiology
Original Contribution
06/29/2021
Yao-Chang Wang, MD; Tien-Ping Tsao, MD; Wei-Hsian Yin, MD, PhD; Hsu-Lung Jen, MD, PhD
The outcomes of treating coronary artery disease (CAD) in very small vessels
The outcomes of treating coronary artery disease (CAD) in very small vessels
The outcomes of treating...
06/29/2021
Journal of Invasive Cardiology
Original Contribution
06/29/2021
Patrick O. Perche, BS; David E. Winchester, MD, MS; Omkar Betageri, MD; Brandon Allen, MD; Ryan Theis, PhD
hsTn assays have received regulatory approval for use in the United States, and healthcare facilities are beginning to adopt these new assays. Questions remain about how to implement them and what effect they may have on demand for...
hsTn assays have received regulatory approval for use in the United States, and healthcare facilities are beginning to adopt these new assays. Questions remain about how to implement them and what effect they may have on demand for...
hsTn assays have received...
06/29/2021
Journal of Invasive Cardiology
Original Contribution
06/29/2021
Derek Q. Phan, MD; Marwan Qattan, MD; Ming-Sum Lee, MD, PhD; Ray Zadegan, MD; Prakash Mansukhani, MD; Somjot S. Brar, MD, MPH; Vicken Aharonian, MD; Naing Moore, MD
The optimal strategy for arterial closure in percutaneous transfemoral transcatheter aortic valve replacement (TF-TAVR) remains under debate. We conducted a single-center, prospective observational study of consecutive patients undergoing...
The optimal strategy for arterial closure in percutaneous transfemoral transcatheter aortic valve replacement (TF-TAVR) remains under debate. We conducted a single-center, prospective observational study of consecutive patients undergoing...
The optimal strategy for...
06/29/2021
Journal of Invasive Cardiology
Original Contribution
06/29/2021
Massoud A. Leesar, MD, FACC; William B. Hillegass, MD, MPH, FACC; Ibrahim Saif, MD; Kelli L. Hagood, RN; Leigh C. Powell, MSN, RN, CCRC; Brigitta C. Brott, MD
Optimal stent deployment by intravascular ultrasound (IVUS) improves outcome, but it can only be achieved in 50% of patients. We investigated the feasibility and effect of a new method of stent optimization on optimal stent deployment.
Optimal stent deployment by intravascular ultrasound (IVUS) improves outcome, but it can only be achieved in 50% of patients. We investigated the feasibility and effect of a new method of stent optimization on optimal stent deployment.
Optimal stent deployment by...
06/29/2021
Journal of Invasive Cardiology
Original Contribution
06/29/2021
Hugh G. Calkins, MD; Marcin Kowalski, MD, FHRS, MBA; Reece Holbrook; Alicia Sale; Kendra M. Braegelmann, PhD; Wilber W. Su, MD
The volume of AF catheter ablation procedures has increased to address the growing patient population with AF; however, the impact of cryoballoon ablation on EP lab throughput is under-studied when treating patients with PsAF.
The volume of AF catheter ablation procedures has increased to address the growing patient population with AF; however, the impact of cryoballoon ablation on EP lab throughput is under-studied when treating patients with PsAF.
The volume of AF catheter...
06/29/2021
Journal of Invasive Cardiology
Brief Communication
06/29/2021
Jason Wollmuth, MD; Rajiv Tayal, MD, MPH; Hady Lichaa, MD
The use of large-bore sheaths has risen exponentially in the last decade partly due to the growth of structural heart interventions and various mechanical circulatory support options.
The use of large-bore sheaths has risen exponentially in the last decade partly due to the growth of structural heart interventions and various mechanical circulatory support options.
The use of large-bore sheaths...
06/29/2021
Journal of Invasive Cardiology
Original Contribution
06/28/2021
Mikko A. Tesalona, MD; Pouya Mohajer, MD; Nima Taghipour, MD; Deepak Misra, MD; Kevin Liu, MD; Ramesh M. Gowda, MD; Robert Sogomonian, MD, MBA; Carlos A. Gonzalez-Lengua, MD; Balaram K. Hanumanthu, MD
We sought to investigate mid-term clinical outcomes and identify risk factors in one of the largest comprehensive series reported of femoro-ilio-caval (FIC) vein stent placement. Endovascular intervention with balloon angioplasty and stenting...
We sought to investigate mid-term clinical outcomes and identify risk factors in one of the largest comprehensive series reported of femoro-ilio-caval (FIC) vein stent placement. Endovascular intervention with balloon angioplasty and stenting...
We sought to investigate...
06/28/2021
Journal of Invasive Cardiology
Original Contribution
06/16/2021
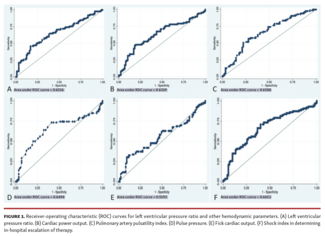
Atman P. Shah, MD, FACC, FSCAI; Janet Friant, MSN, APN; Rohan J. Kalathiya, MD; Sandeep Nathan, MD, MSc, FACC, FSCAI; Jonathan Grinstein, MD; Sameh W. Almousa, BA; Tess Allan, BA; Allison Stephens, BS; Joseph Kern, MD; Jonathan D. Paul, MD; Miryea Cisneros, BS; John E.A. Blair, MD; Cynthia Arevalo, BA
Given the risk of hemodynamic compromise in heart failure with reduced ejection fraction patients undergoing left heart catheterization, there is a need for a simple parameter that can predict clinical outcomes. We hypothesize that left...
Given the risk of hemodynamic compromise in heart failure with reduced ejection fraction patients undergoing left heart catheterization, there is a need for a simple parameter that can predict clinical outcomes. We hypothesize that left...
Given the risk of hemodynamic...
06/16/2021
Journal of Invasive Cardiology
Original Contribution
06/07/2021
Divaka Perera, MB, MD, MA, MRCP; Antonio Colombo, MD; Bhavik N. Modi, MBBS, PhD; Haseeb Rahman, PhD, MD; Matthew Ryan, MBChB, BSc; Sara Abou Sherif, MBBS; Howard Ellis, BSc
Fractional flow reserve (FFR) pullback is frequently used to assess serially diseased arteries, but has been shown to be inaccurate due to physiological interaction between individual lesions. We evaluated the clinical utility of a novel...
Fractional flow reserve (FFR) pullback is frequently used to assess serially diseased arteries, but has been shown to be inaccurate due to physiological interaction between individual lesions. We evaluated the clinical utility of a novel...
Fractional flow reserve (FFR)...
06/07/2021
Journal of Invasive Cardiology
Original Contribution
06/05/2021
Bianca M. Boxma-de Klerk, PhD; Nico H.J. Pijls, MD, PhD; Mohamed Abdel-Wahab, MD; Gert Richardt, MD, PhD; Pieter C. Smits, MD, PhD; Krischan D. Sjauw, MD, PhD; Nils P. Johnson, MD, MS; Marcel van't Veer, PhD; Pim A. L. Tonino, MD, PhD; Andreas S. Triantafyllis, MD, PhD; Joost D.E. Haeck, MD, PhD; Frederik M. Zimmermann, MD; Franz-Josef Neumann, MD; Elmir Omerovic, MD
We investigated the association of CFR in FFR-positive lesions with clinical outcomes when treated medically, as well as the treatment effect of PCI vs medical therapy in FFR-positive lesions and a preserved CFR.
We investigated the association of CFR in FFR-positive lesions with clinical outcomes when treated medically, as well as the treatment effect of PCI vs medical therapy in FFR-positive lesions and a preserved CFR.
We investigated the association...
06/05/2021
Journal of Invasive Cardiology