Implementation of a High-Sensitivity Troponin-I Assay in an Academic Medical Center: A Qualitative and Quantitative Assessment
Abstract
Objectives. To describe the clinical impact and lessons learned through implementation of a high sensitivity troponin (hsTn) assay. Background. hsTn assays have received regulatory approval for use in the United States, and healthcare facilities are beginning to adopt these new assays. Questions remain about how to implement them and what effect they may have on demand for cardiovascular services. Methods. We conducted a mixed-methods implementation science-based investigation of hsTn adoption at a single academic medical center. We designed the investigation based on the Consolidated Framework for Implementation Research, exploring clinicians’ perspectives on intervention characteristics, inner setting, individual characteristics, and process of implementation domains. Focus groups were conducted with clinicians from multiple service lines. Results. Participants reported that the new hsTn assay did not fundamentally change processes of care such as cardiology consultations or inpatient admissions. Implementation was facilitated by leveraging the electronic medical record to provide useful suggestions for hsTn management at the point-of-care. The use of case-based teaching was considered most effective. Areas of ongoing concern included management of high-risk patients, outpatient follow-up, and feasibility of accelerated diagnostic protocols for early discharge from the emergency department. A decrease in the number of hsTn assays ordered was observed; no change was noted for admissions, cardiology consultations, or noninvasive cardiac imaging. Conclusions. A comprehensive educational campaign, based on multidisciplinary collaboration can effectively prepare clinicians for implementation of hsTn. New hsTn assays may not have any substantial effect on acute management of patients with cardiac complaints.
J INVASIVE CARDIOL 2021;33(7):E549-E556. doi:10.25270/jic/20.00573
Key words: implementation science, qualitative research, troponin
Introduction
Cardiac troponin assays have been used for decades to detect myocardial damage and facilitate making the clinical diagnosis of myocardial infarction (MI).1 Continued progress has been made with the assays to improve accuracy and reduce the time needed to make the diagnosis of MI.2 The most advanced assays, hsTn, have been available in European markets for several years and are now becoming available in the US.
Studies of hsTn show that the assay has excellent sensitivity for detecting myocardial injury and MI, although specificity may be reduced, compared with older generations of troponin assays.3 Numerous clinical pathways have been developed and show that process of care measures such as time to disposition in the emergency department (ED) and proportion of patients admitted to the hospital are improved with hsTn assays.4 Data suggest that the increased sensitivity of hsTn assays detects small amounts of troponin among patients not having an acute MI.5 In the United States (US), it remains unclear if hsTn will increase physician confidence about clinical decisions or if small non-MI elevations in hsTn will increase or decrease the demand of hospital admissions and demand for cardiovascular (CV) services. During the transition to hsTn, staff training is strongly encouraged.6 Sparse or no data are available, however, on how to best train staff on implementation of hsTn assays or on how the assays affect demand for cardiovascular services in the US. 7,8
To address these gaps in the literature, we conducted a mixed methods investigation of hsTn implementation at our medical center. We hypothesized that implementation of hsTn would increase demand for ancillary cardiovascular services including cardiology consultations, echocardiograms, nuclear stress tests, and cardiac computed tomography (CT) angiograms.
Methods
We conducted this investigation at a large tertiary/quaternary care hospital with approximately 1050 inpatient beds and 100,000 emergency care visits annually. The research protocol was approved by our institutional review board. Written informed consent was obtained from all participants in the focus groups. The requirement for informed consent was waived for the quantitative component because no personally identifiable information was used. To maintain confidentiality of participants, no identifying information was gathered from focus group participants.
Framework and interview guide development. We employed a concurrent mixed-methods design, combining qualitative focus group data with quantitative utilization data to provide a convergent and complementary perspective on the impact of implementation.9 Using the Consolidated Framework for Implementation Research (CFIR), we developed a focus group moderator guide to elicit clinicians’ perspectives on intervention characteristics, the influence of inner setting and individual characteristics, and clinicians’ experiences with the process of implementation.10
In the domain of intervention characteristics, we assessed clinicians’ understanding of the intervention source, as well as their perspectives on design quality (focusing on the electronic health record), the relative advantage of the new hsTn assay compared with the assay previously in use, and complexity of the new assay. Our assessment of the inner setting addressed the structural characteristics of clinics where implementation occurred, implementation climate, compatibility of the intervention with clinical workflow, and readiness of clinics to implement (with an emphasis on clinical resources). The moderator guide addressed individual clinician knowledge of the intervention, both in terms of expected outcomes and actual (experienced) outcomes, as well as their self-efficacy in using the new hsTn assay for managing patients. Lastly, the guide encouraged clinicians to reflect upon and evaluate the process of implementation, emphasizing their perspectives on information provided to them during implementation, the pace of implementation, and any goals their clinics may have set to promote continued use of the new assay in practice.
The moderator guide was developed by an investigator with expertise in the use of qualitative methods in implementation science using the online CFIR interview guide tool as the foundation for question wording and order.11 The focus group questions were then tailored to the clinical settings where the new assay was implemented, and reviewed for accuracy and relevance by the study’s clinical investigators.
Focus groups, recruitment, recordings, and transcriptions. We conducted focus groups with clinicians in three clinical departments most impacted by implementation of the new assay—cardiology, emergency medicine (EM), and hospital medicine/internal medicine (HM/IM)—for a total of three focus groups (one in each department). All clinicians (nurses, physicians, and advanced practice providers) in the three departments were eligible for inclusion in the qualitative phase of study. Among these clinicians, a convenience sample of participants was recruited by the study principal investigator in-person or via electronic communication. Focus groups were conducted between June 2019 and August 2019, moderated by the study principal investigator and audio-recorded for transcription and analysis. The focus group duration ranged from 32 to 67 minutes.
Analysis and data management. Focus group transcripts underwent independent review by two study investigators following a thematic analysis approach, with an initial phase of deductive coding following the CFIR domains addressed in the interview guide, and a secondary phase of inductive coding to capture emerging themes relevant to implementation. Following reconciliation of identified themes between reviewers, transcripts were then coded in NVIVO 12 to organize the qualitative findings, facilitate comparison of findings across the three clinical settings, and guide further discussion. Quantitative data on admissions, consultations, and cardiovascular tests were obtained from our integrated data repository. Data were plotted on runcharts at weekly intervals and adjusted for the volume of ED visits. Interpretation of runcharts were made by applying accepted rules for interpretation of runcharts and based on the median values prior to hsTn implementation.
Results
The focus groups consisted of 17 participants — 7 from EM, 4 from cardiology, and 6 from HM/IM. In addition to themes within the four CFIR domains of intervention characteristics, inner setting, individual characteristics, and implementation process, a fifth domain emerged relevant to clinical processes. These included practices and procedures relevant to the hsTn assay, such as interpretation of assay results, cardiology consultations, the process of ruling out MI, and new functions and prompts introduced into the health system’s EHR. A content analysis showed that interpretation was the most common theme across all focus groups, accounting for 15% of all coded content. In most cases, comments relevant to specific clinical processes (inductive themes) occurred in relation to one or more of the CFIR domains used to guide the interviews (deductive themes). The focus group findings below are organized following the CFIR framework, with comments on clinical processes described under the CFIR domain where they most often occurred.
Intervention characteristics. Discussion of intervention characteristics elicited perspectives in four sub-domains: (1) the intervention source, defined as the perceived drivers, people, or groups behind the effort to implement the hsTn assay; (2) complexity of the assay, including comments on the perceived difficulty of using it and resulting disruptions to clinical practice; (3) relative advantage of the new assay in comparison to the assay that was previously in use, with reference to perceived ease of use, benefits, and changes to practice; and (4) design quality, focusing on the functional features of the hsTn assay, including its integration with EHR systems and other supporting materials.
Participants in all groups were in general agreement about why the hsTn was implemented. Responses included “to safely rule out [MI] quicker,” “shorter ED throughput,” and “increase sensitivity of picking up ischemic events.” While there was agreement that the ED and cardiology department leaders were the sources responsible for driving implementation, participants were less clear on why the hospital decided to make the change. Responses about the hospital’s initiative focused more on questions of efficiency (eg, to move patients through the ED faster or free up beds and costs of unnecessary admissions) and public reporting or alignment with quality standards (eg, metrics that will make the hospital look better in terms of national numbers).
Questions of how to interpret results of the hsTn assay and, in particular, how results are presented in the EHR system, emerged in all focus groups. Findings spoke to both the complexity of the new assay and the design quality of systems to assist in interpreting results. When the hsTn assay was initially implemented, the EHR system included prompts to help clinicians interpret test values. Tests producing results exceeding 100 ng/L and delta (changes in troponin values) >15 prompted notifications in the system that these results were consistent with MI.
Participants in the cardiology focus group noted that, in the first week the new assay was implemented, they experienced a larger volume of consultations due to challenges in interpreting test results. Some disruption to clinical workflow was noted, as clinicians in the ED were alarmed by the EHR prompts, stating that the language was “a little strong and didn’t allow for appropriate clinical interpretation.” These disruptions may have eased over time, as clinicians became accustomed to the new assay. As one cardiologist noted:
“The first week that the new troponin came out and the patient’s troponin was 200, the attending paged me 3 times in a row. They said, ‘oh my God, this patient’s troponin is 200, what does this mean?’ And I just told them, transfer them to [the hospital] as soon as possible, and you know we will see them there and take it from there. But a troponin of 200 – now that I’ve had a month of looking at this, it’s not all that significant.”
With regard to relative advantage, participants stated that the hsTn assay has been shown to be a better and more consistent test than the old troponin assay, and its local implementation aligns with national trends. Cardiologists reported that, overall, they had not received any more unreasonable consults with the new assay than they had with the older assay. A theme of referenced use also emerged in all focus groups, where clinicians were interpreting hsTn assay results in terms of the old assay, dividing hsTn assay results by 1000 to arrive at a value that was scaled for the old troponin assay. One cardiologist noted using this rule of thumb as an instructional tool for interpretation during consultations. A participant in the EM group described the method as a “crutch” that clinicians used early on to have troponin values they were comfortable with. Participants acknowledged disagreement regarding whether clinicians should be referencing the old assay in this way. However, referenced use was framed by some as an unavoidable adaptation. One participant in the HM/IM group voiced justification for referring to the old assay, stating:
“We were all told, ‘Don’t do that, this is a different assay. Please don’t do it.’ But that is actually what has been happening. Even from the cardiology fellows, when you give them a number, they’ll say, ‘Yeah, that is like a 0.03.’ So, in practice that is what has happened, and I personally think that it’s okay because we are measuring the same molecule. Even if you’re able to measure it better, it’s the same molecule.”
Several participants remarked that interpreting hsTn assay results should not be based on the troponin values alone, but also on other factors in the patient’s clinical scenario. This, in turn, plays more of a role than the hsTn in decisions about cardiology consultations, cardiac catheterization, and admission to inpatient care. As one cardiologist stated:
“I would argue that when you decide to cath someone, it’s not based on the troponin… it’s based on the clinical scenario. It’s what makes them high risk clinically. That’s when you say this guy needs to go next. You don’t call me and tell me this guy’s troponin. You say this guy looks sweaty and his chest hurts. That’s the guy we take.”
Inner setting. Factors related to the inner setting were discussed far less often in the focus group with cardiologists (3.5% of coded content) than in the focus groups with EM (28% of coded content) and HM/IM (22% of coded content). Discussion of inner setting elicited perspectives in five sub-domains: (1) climate, referring to the clinic’s receptiveness to implementing the hsTn assay; (2) compatibility, including comments about the perceived fit of the hsTn assay with values and norms in the clinic or with the clinic’s existing workflow; (3) culture, referring to the beliefs and values of the clinic regarding the hsTn assay; (4) resources, referring to the clinical or departmental resources available to accommodate the hsTn assay; and (5) structure, referring to the clinical infrastructure that is available to support the hsTn assay and the workflow in which it operates.
While participants in cardiology and EM reported that their departments were largely receptive to the new assay, participants in HM/IM noted that receptiveness was lower in the inpatient setting, owing in part to challenges in interpreting hsTn assay results and in part to expected disruptions in workflow. In some cases, this resulted in decisions by some clinicians not to use the hsTn assay at all. One HM/IM participant reported that some attending physicians would indicate not to order the troponin and to use the EKG because they would have some information that they would not need to use. This level of disregard for the hsTn assay by some clinicians was also reported by participants in the cardiology group.
With regard to compatibility and culture, focus group participants were in agreement about the fit of the hsTn assay with the beliefs and values of their clinics, reporting that few changes to clinical workflow were made to accommodate it. As part of implementation, EM participants noted that pathways were made available to them and placed in a central location with other department policies. The pathways included information on interpreting hsTn assay values and complemented up front education that the clinicians considered to be “key” for adapting to it. Cardiologists referred to a comfort level with the new assay, which varied by department. One cardiology participant reported hesitation by the admitting service to accept patients if they have two of the high sensitivity troponins that are not trending upward. Participants in the HM/IM group confirmed a certain level of discomfort with using the change in value of the hsTn assay, which occurs when a patient’s baseline value is not available.
Resource limitations and changes to clinical structure in response to the hsTn assay were also minimal. In the ED setting, clinicians reported hiring a phlebotomist to facilitate collection of hsTn assay results at baseline and at one hour, a change implemented to improve upon the availability of delta values described above. Some participants remarked that it was too early to tell whether resource or structural needs might increase, or that they could not anticipate how the hsTn assay might change the needs of other departments. As one EM participant noted:
“At a systems level, I don’t think we can effectively rule somebody out in an hour. We just can’t do the necessary evaluation in that time frame. So, even if we want to control what we can control in our own department, I think some of the infrastructure and support would have to be enhanced.”
Individual characteristics. Discussions related to the individual characteristics of clinicians included perspectives in four sub-domains: (1) attitudes, referring to individual clinician values, beliefs, assumptions, or dispositions that could impact (or were observed to impact) implementation of the hsTn assay; (2) knowledge (expectations), including comments on what changes to clinical practice or patient outcomes clinicians expected would occur following implementation; (3) knowledge (experiences), including comments on what clinicians actually observed or experienced in the clinical setting following implementation; and (4) self-efficacy statements made by clinicians about their confidence in using the hsTn assay to manage patients.
Participants in the cardiology focus group expressed several concerns about attitudes of other clinicians, particularly in the ED setting, that hindered the effective use of the hsTn assay. They remarked on the uneasiness that some clinicians had with certain conditions, a disposition that was considered to be independent of the hsTn assay itself, and instead indicative of how clinicians handle clinical decision-making generally. As one cardiologist stated:
“It’s the same person that calls you when it’s positive, and they’re going to call you when it’s negative because they’re still not sure what do. So, that doesn’t go away with a different test. It’s a different problem.”
One cardiologist framed these concerns in terms of differing levels of expertise, acknowledging that some clinicians err on the side of caution when faced with the unfamiliar test results:
“We are troponin experts, and they are not. And it’s the heart. And they’re scared, and they’re worried. They’re emergency physicians, they’re family physicians, they’re surgeons. They don’t know. They don’t want to assume that risk and they don’t want to be wrong… now I look at it differently. At least they’re calling instead of missing something, and they’re pretty easy consults usually and so you kind of deal with it.”
With regard to individual expectations and experiences, this study focused on clinical processes that can be affected by changes in troponin assay testing—such as cardiology consultations, ruling out MI, and inpatient admissions—and for which quantitative data were collected to complement the qualitative findings. Some cardiologists expected that the new assay could result in faster discharges from the ED, but potentially result in no change to inpatient admissions. Others admitted that there was a general lack of knowing what to expect, a situation that made it difficult for them to educate other clinicians on the hsTn assay. Participants in the EM group expected that the assay would reduce ED waiting times, and lead to more confidence on the part of clinicians in ruling out MI for low-risk patients. In the cardiology and HM/IM groups, some participants expected an increase in cardiology consultations. One cardiologist voiced the expectation that, even after the initial increase in consultations subsided, consultations could increase again with clinician turnover and restart the cycle of adopting the new assay.
Individual experiences with regard to process changes brought on by the hsTn assay did not always align with expectations. Cardiologists noted seeing no increase in the volume of their consultations, with the exception of the first week that the hsTn assay was being implemented. However, they did report a decrease in consultations on patients with normal troponin, suggesting that the hsTn assay was fulfilling its function of helping ED clinicians rule out MI. For instances where the new assay resulted in earlier detection of MI, cardiologists had less confidence in saying whether this changed the timing of catheterization or inpatient admissions (and consequently, improved patient outcomes). For their part, participants in the HM/IM group reported seeing no noticeable change in admission rates. One participant in the HM/IM group noted having an early concern that the new test would result in a major increase in positive assays, but noticed more negative assays than expected.
Self-efficacy in using the hsTn assay differed according to specialty. Cardiologists expressed the highest degree of self-efficacy, particularly in interpreting test values – noting that interpreting troponin is something they do every day. The process of educating other clinicians during consultations may also function to further improve self-efficacy. As described above, EM participants expressed more confidence with the new assay for ruling out MI in low-risk patients. One EM participant remarked that, when combined with a cardiac computed tomography angiography, the hsTn assay increases the safety margin for treating intermediate-risk patients, giving the clinician greater confidence in sending patients home. One participant in the HM/IM group reported high self-efficacy in interpreting hsTn assay results when the value is negative, but less when the value is positive. For this participant, having a positive hsTn assay result raised several difficult questions, including how to interpret the test result for the patient.
Process of implementation. Discussions related to the process of implementation included perspectives in three sub-domains: (1) goals, including comments about appropriate goals that clinics should adopt in continued use of the hsTn assay; (2) information, referring to the information and training that was provided to clinics prior to or during implementation; and (3) timing, referring to the timing of implementation, including when implementation occurred and the pace at which it occurred.
With regard to goals for continued use of the hsTn assay, cardiologists called for more formalized education for clinicians in interpreting test results, with specific reference to test values and clarification on what the assay can and cannot determine. As one cardiologist noted, “If you have a normal troponin you can still have a patient that is clinically in a very serious situation and may need to be admitted and undergo a heart cath.” Cardiologists further noted that the hsTn assay could necessitate a change in the language they use (eg, unstable angina being replaced by progressive angina) and dissemination of these changes to other clinicians in their department. EM participants also expressed the need for expanded guidelines to interpret hsTn assay results, particularly in reference to high-risk patients. They also expressed a need for a better system to collect baseline, 1-hour, and 3-hour test results from patients, which sometimes occurs in the waiting area. One participant recommended the creation of a dedicated space or observation unit to place these patients, where they can be tested, receive cardiology consultations, and kept out of the hospital.
Participants in all focus groups had received information on the hsTn assay through grand rounds, presentations or videos, and generally found the training to be helpful. However, some participants expressed reservations about the content of the information with regard to how the new assay should be interpreted. Even in cases where instruction on interpreting hsTn assay values was clear, participants noted having felt unprepared for dealing with the assay in practice. Participants in the HM/IM group remarked that, while the in-person training sessions were helpful, they lacked guidance in the form of written protocols, which made it difficult for them to better understand the difference between the hsTn assay and the old troponin assay. Participants in the EM group noted having case examples as part of their education on the new assay, with a focus on high-risk patients. High-risk patients are still considered admission patients but the troponin is used to provide information.
A related topic was the roll-out of hsTn assay implementation in clinical settings, with a focus on the timing and pace of implementation. Clinicians in charge of implementation initially opted to introduce the hsTn assay during December. However, after receiving input from HM/IM clinicians that this would coincide with peak flu season, implementation was pushed back to a time of year when ED and inpatient volumes would be lower. Participants in all focus groups noted that the implementation process did not feel rushed, in part because they had been informed of the upcoming change months beforehand. In the ED setting, implementation was first rolled out at the free-standing locations prior to the main location, a strategy that facilitated education on the hsTn assay and a gradual increase in clinicians’ comfort level with the new test.
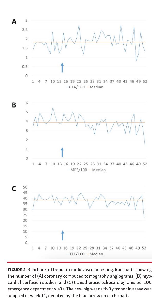
Quantitative data. We acquired data on the number of cardiovascular services performed and analyzed trends per 100 ED visits. Data were grouped into weeks to smooth the trend lines. Runcharts show the change in cardiology consultations, admissions for primary diagnosis of AMI, and troponin assays performed over time (Figure 1). After adoption of the hsTn assay, no sustained changes were noted in cardiology consultations or admissions for AMI. The total volume of troponin assays ordered was decreased in a sustained fashion after hsTn adoption. No significant changes were noted in the number of CT angiograms, myocardial perfusion studies, or transthoracic echocardiograms (Figure 2). Looking only at patients in the low-risk care pathway, an increase in the percentage discharged to home was observed along with a substantial change in the number of patients evaluated with 3 hsTn assays during their ED stay (Figure 3).
Discussion
In this mixed methods investigation, we used interviews with clinicians and trends in cardiovascular service demand to assess implementation of hsTn in a large academic medical center. The data provide several observations that may help inform and guide adoption of these assays at other facilities, while also highlighting persistent gaps in the implementation science of hsTn.
In broad strokes, hsTn did not fundamentally change most practices at our facility. This was seen in both the quantitative data and the qualitative responses. Limited data have been published on how the implementation of hsTn affects the demand for cardiovascular services. Contrary to our findings, Wang et al observed increases in hospital admissions and CV testing after hsTn implementation.12 Their study was a small prospective cohort, while Zachoval et al used an approach similar to ours and found no changes in echocardiography, coronary angiography, and percutaneous coronary intervention.13 Given the extensive literature on practice variation across the country, it would not be difficult to imagine that the local response to hsTn implementation may differ from facility to facility. Further study of practice variation in response to hsTn implementation is warranted.
The one significant change in CV services we observed was a decrease in the total number of troponin assays ordered, although reasons for this observation are unclear. We were able to analyze data from the ED showing an increase in the number of patients who received 3 versus 2 troponin assays; however this was limited to the subset of patients at low risk of CV events. Other investigations of CV service demand did not evaluate the number of troponin assays ordered. In our focus groups, the ED clinicians reported greater confidence about managing patients with the new assay. While this observation was not volunteered by our focus group of hospital-based physicians, it is a plausible reason for the reduction. The other plausible explanation offered by the hospital-based physicians was their general frustration with the assay, leading some to suggest to not bother using it in the management of inpatients.
To a certain degree, we observed disagreement between clinician perceptions and reality as to why the hsTn assay was adopted. Many responses suggested that the hospital elected to adopt the new assay in an effort to improve efficiency in the ED, reduce admissions, or improve quality of care in some other way. While these are potential advantages of the hsTn assay, the most basic reason for the change is that all hsTn manufacturers intend to sunset their old assays and adopting hsTn is not a choice that hospitals have to make. A disconnect between true and perceived intervention sources could lead to struggles and friction in some situations. For example, creation of a new clinical pathway intended to improve efficiency of a process that is perceived by clinicians as a profit motive from hospital administration may not be successful. In this case, clinicians did not have an alternative to the hsTn and while some disagreement was observed, it did not appear to contribute to misuse of the new test.
The implementation process at our facility went smoothly, based on the responses from clinicians across all the groups we interviewed. The influence of inner setting characteristics on implementation was more salient among EM and HM/IM clinicians than among cardiologists, which is consistent with how the hsTn is integrated within clinical workflow of the respective departments. While EM and HM/IM clinicians are direct users of the hsTn (and must make decisions on when to order the assay), cardiologists are largely “recipients”of hsTn results. Keys to a successful transition included early and abundant education. Study participants appreciated the clinical approach to the education and the use of sample cases to illustrate learning objectives. The educational materials were developed in a collaborative, multispecialty process, which was evident enough to be noticed by some of the study participants who were not involved in development of the learning materials. It should be noted that our facility has a long history of EM-cardiology collaboration as part of being an accredited chest pain center. Accreditation requires an enduring multispecialty approach to chest pain patients and is associated with greater achievements of standards aligned with the quadruple aim of quality health care.14 The guidance provided within the EHR was also helpful, and clinicians appreciated that the implementation was flexible and that EHR prompts were changed based on their feedback. These lessons are reflected in the publication by Januzzi et al that outlines recommended best practices for making the transition to a hsTn assay.6
Despite the relatively uneventful implementation, some purported advantages of hsTn were not observed and other unresolved issues remain. First, while the ED physicians reported that they felt more comfort and confidence in using the assay to minimize the likelihood of acute coronary syndromes, only low-risk patients were more likely to be discharged and overall hospital admission rates did not decrease. While multiple randomized trials have shown high rates of ED discharge using hsTn assays, real-world settings often underperform compared to trial settings. This observation is explained by our ED focus group, where the physicians reported that even with the new assay, they were still unsure what to do with high-risk patients. The cardiology participants predicted that hsTn would eliminate unstable angina as a diagnosis. Our data are not detailed enough to assess whether that is true; however we would anticipate that many patients in the high-risk category may have been patients with chronic injury or normal hsTn levels that were admitted based only on their clinical history. Another substantial limitation to using hsTn in clinical practice was observed by our HM/IM focus group. They expressed frustration with what to do with patients in the type-2 MI, acute injury, and chronic injury groups. To begin, there are no diagnosis-specific treatments for these conditions. The bigger problem they seemed to face, however, was what to tell patients. Clearly, telling all patients with elevated hsTn that they had a MI is inaccurate, insincere, and could create substantial misunderstandings. Further study is urgently needed on how to communicate these findings to patients in a way that is relatable and positively impacts their future care.
Findings from our investigation are limited to the administrative data we analyzed and the opinions of clinicians from the services that we sampled. We did not make any observations from clinicians with infrequent or rare use of hsTn. We used aggregate data on CV service demand that were controlled for volume of ED visits, but not for any patient-specific characteristics. While administrative data have limitations, we would not expect any bias in the data that would change over time and that our trends likely are an accurate reflection of the CV testing being performed at our facility. Our observations are not based on a random assignment of hsTn use; changes in CV service demand could be related to other, unknown changes in clinical practice.
Conclusion
With ample training for clinicians, hsTn implementation can be accomplished with little disruption to care delivery. Transition to hsTn may not substantially increase demand for CV services; however it also may not substantially improve outcomes, such as hospital admissions. Areas for future research include how to use hsTn effectively in the ED setting for high-risk patients and how to communicate hsTn results to patients.
Affiliations and Disclosures
From the 1University of Florida College of Medicine, Gainesville, Florida; 2Malcom Randall VAMC Cardiology Section, Gainesville, Florida; and 3University of Florida College of Medicine Institute for Child Health Policy, Gainesville, Florida.
Funding: Dr Winchester is supported by Career Development Award #13-023 from the United States Department of Veterans Affairs Health Services Research and Development Service.
The views expressed in this article are those of the authors and do not necessarily reflect the position or policy of the Department of Veterans Affairs or the United States Government.
Disclosure: The authors have completed and returned the ICMJE Form for Disclosure of Potential Conflicts of Interest. Dr Allen is on the Florida State College of Medicine alumni board and reports research grants from Beckman Coulter, Roche Diagnostics, and Siemens; book editor/author royalties from Springer Global; and support for attending meetings and honoraria as a Medical Advisory Board member for Roche Diagnostics. The remaining authors report no conflicts of interest regarding the content herein.
Manuscript accepted October 2, 2020.
Address for correspondence: David Winchester, MD, MS, Malcom Randall VAMC, 1601 SW Archer Rd Box 111-D, Gainesville, FL 32608. Email: david.winchester@va.gov
References
1. Thygesen K, Alpert JS, Jaffe AS, et al. Fourth universal definition of myocardial infarction. J Am Coll Cardiol. 2018;72:2231-2264.
2. Apple FS, Sandoval Y, Jaffe AS, Ordonez-Llanos J; IFCC Task Force on Clinical Applications of Cardiac Bio-Markers. Cardiac troponin assays: guide to understanding analytical characteristics and their impact on clinical care. Clin Chem. 2017;63:73-81.
3. Sethi A, Bajaj A, Malhotra G, Arora RR, Khosla S. Diagnostic accuracy of sensitive or high-sensitive troponin on presentation for myocardial infarction: a meta-analysis and systematic review. Vasc Health Risk Manag. 2014;10:435-450.
4. Wildi K, Boeddinghaus J, Nestelberger T, et al. Comparison of fourteen rule-out strategies for acute myocardial infarction. Int J Cardiol. 2019;283:41-47.
5. Melki D, Lugnegård J, Alfredsson J, et al. Implications of introducing high-sensitivity cardiac troponin T into clinical practice: Data from the SWEDEHEART registry. J Am Coll Cardiol. 2015;65:1655-1664.
6. Januzzi JL, Mahler SA, Christenson RH, et al. Recommendations for institutions transitioning to high-sensitivity troponin testing: JACC Scientific Expert Panel. J Am Coll Cardiol. 2019;73:1059-1077.
7. Howell SJ, Amsterdam EA, Mumma BE, López JE, Tran NK. Implementation of high-sensitivity cardiac troponin: challenges from the international experience. Crit Pathw Cardiol. 2018;17:173-178.
8. Twerenbold R, Jaeger C, Rubini Gimenez M, et al. Impact of high-sensitivity cardiac troponin on use of coronary angiography, cardiac stress testing, and time to discharge in suspected acute myocardial infarction. Eur Heart J. 2016;37:3324-3332.
9. Palinkas LA, Aarons GA, Horwitz S, Chamberlain P, Hurlburt M, Landsverk J. Mixed method designs in implementation research. Adm Policy Ment Health. 2011;38:44-53.
10. Damschroder LJ, Aron DC, Keith RE, Kirsh SR, Alexander JA, Lowery JC. Fostering implementation of health services research findings into practice: a consolidated framework for advancing implementation science. Implement Sci. 2009;4:50.
11. CFIR Interview Guide Tool. Consolidated framework for implementation research. CFIR Research Team – Center for Clinical Management Research, Ann Arbor, MI. https://cfirguide.org/guide/app/#/ Accessed June 16, 2021.
12. Wang G, Wang J, Wu S, et al. Clinical impact of using a more sensitive troponin assay in patients with acute chest pain. Clin Cardiol. 2019;42:561-567.
13. Zachoval CF, Dolscheid-Pommerich R, Graeff I, et al. High-sensitivity troponin T testing: consequences on daily clinical practice and effects on diagnosis of myocardial infarction. J Clin Med. 2020;9:775.
14. Winchester DE, Osborne A, Peacock WF, et al. Closing gaps in essential chest pain care through accreditation. J Am Coll Cardiol. 2020;75:2478-2482


