Offline Assessment of the Quantitative Flow Ratio: Is it Useful in Clinical Practice?
Abstract
Introduction. Fractional flow reserve (FFR) has been established as the gold standard in the physiological assessment of coronary obstructions severity. However, the need to insert an intracoronary pressure guidewire is a factor that limits its use. Quantitative flow ratio (QFR) is a method that infers the value of FFR from 3-dimensional quantitative coronary angiography (3D-QCA), eliminating the use of a pressure wire and coronary hyperemia. The present study aims to evaluate the diagnostic accuracy of QFR and 3D-QCA in comparison with FFR for the identification of significant obstructive coronary lesions (FFR ≤.80) and the feasibility to assess QFR in a cohort of patients without dedicated angiographic acquisition. Methods. Consecutive patients with coronary angiography with moderate obstructive lesions that had previous FFR measurement were evaluated. Validation of QFR was assessed by the area under the curve (AUC) and other statistical tools, using FFR as the reference method. Results. Seventy-five arteries from 69 patients were evaluated. The accuracy of the QFR to detect FFR ≤.80 was 84.0% (95% confidence interval, 75.6-92.4). The correlation and agreement between FFR and QFR were r=0.54 (P<.01) and mean difference was -0.02 ± 0.09 (P=.09), respectively. The AUC of QFR and 3D-QCA identifying stenosis >50% was 0.854 and 0.755, respectively (P=.09). Conclusion. QFR demonstrated good accuracy compared with FFR for the assessment of moderate obstructive coronary lesions in an unselected clinical practice population. However, many patients were excluded from the analysis and there was no statistical difference between the receiver operator characteristic curves of the QFR and percent diameter stenosis.
J INVASIVE CARDIOL 2022;34(8):E620-E626.
Key words: fractional flow reserve, quantitative coronary angiography, quantitative flow ratio
Fractional flow reserve (FFR) was established as the gold standard for the physiological assessment of the severity of coronary artery obstructions. Several randomized studies showed its role in determining which patients may benefit from coronary revascularization.1-5 However, despite robust information on the use of invasive physiological assessment, the routine use of FFR is still quite limited.6-8 This is justified because it is an invasive method, requiring coronary instrumentation, with a risk that is not entirely negligible and a high cost.8 Thus, the use of a method with easy access, easy execution, lower cost, lower risk, and good accuracy could increase the use of physiological assessment.
In this context, the quantitative flow ratio (QFR) aims to infer the value of the FFR based on 3-dimensional quantitative coronary angiography (3D-QCA) and the use of computational fluid dynamics.9-15 Despite the recent start of development, there are some studies in the literature that have validated this tool.16-19 The present study is a real-world analysis dedicated to moderate lesions that aims to determine the accuracy of QFR and 3D-QCA in detecting FFR-positive lesions, to compare its accuracy with quantitative angiography alone, and to assess its applicability in daily practice.
Methods
Study design. This is an observational, retrospective, single-center study designed to assess the diagnostic accuracy of QFR and 3D-QCA in identifying hemodynamically significant coronary obstructions, using the FFR as the gold standard. The Human Research Ethics Committee of the Institute of Cardiology of the Federal District approved the questionnaire and methodology for this study (Ethics approval number 4.206.962). We selected all consecutive patients who underwent FFR between January 2014 and January 2016. FFR measurements were performed on either the same day as the coronary angiography or on subsequent days. Clinical and angiographic characteristics were collected for all patients and vessels.
Coronary angiography. Coronary angiographies were evaluated with dedicated software for the analysis of the QFR (Medis Suite, QAngio XA 3D; Medis Medical Imaging System). During the analysis of the QFR, patients/vessels that had impeding conditions for the determination of QFR were excluded. The coronary angiographies used to evaluate QFR were performed with 5-Fr or 6-Fr angiographic catheters, through radial or femoral access, with nitrate administration prior to coronary angiography and with manual contrast injection. Four to 6 image acquisitions were performed for the left coronary artery and 2 to 3 were performed for the right coronary artery, at 15 or 30 frames/second. The images were stored on CD-ROM/DVD-ROM.
FFR measurement. The FFR procedures were performed on patients with 40% to 80% stenosis and reference diameter >2 mm by visual assessment, without noninvasive functional tests prior to catheterization or with functional tests that were not consistent with the clinical presentation presented by the patient. A 6-Fr guide catheter without side hole was used. We used PressureWire Aeris or PressureWire Certus guides (St Jude Medical), with previous use of 200 µg of intracoronary nitroglycerin. The hyperemia was performed with intravenous administration of 140 µg/kg/min adenosine solution. The FFR value was determined after reaching maximum hyperemia with a stable curve for at least 10 seconds. Then, the pressure wire was pulled up to the tip of the catheter for a new check for correct equalization of the pressure curves. When this was not verified, the procedure was repeated. A FFR ≤.80 was considered the diagnostic cutoff.
Three-dimensional reconstruction and QFR measurement. The QFR assessment was performed by a Medis-trained and certified researcher who was blinded to the FFR result. Frames were chosen at the end of diastole for 2 projections of the same coronary artery, at least 25° apart. An anatomical landmark was identified in both projections to link them. Another landmark in 1 of the images can be selected. After that, proximal and distal points were placed in the target vessel. This segment was evaluated, whenever possible, between the point closest to the ostium (and after the tip of the catheter in the case of the right coronary) and distal to the last lesion. The corresponding points in the other projection were automatically determined and the contours in both vessels were also detected automatically. When a satisfactory automatic contour was not obtained, manual adjustments were made. A 3D vessel segment model was built based on the automatic contour of the vessel, as well as the calculation of the minimum and maximum diameters of that segment. At this step, additional adjustments in the correspondence between the vessel segments were still needed. It was essential to check the reference diameters and correct them, when necessary. Thereafter, the QFR was calculated using an empirical hyperemic flow velocity through the vessel (fixed flow QFR). Another way of calculating the QFR is to use the frame count to calculate the velocity of the vessel-related contrast flow in one of the angiograms (contrast QFR). However, for standardization purposes, only fixed flow QFR was used in this series. The software computed the pressure drop along the vessel, allowing establishment of the QFR at any point (Figure 1). As part of the process, QCA was also performed, with measurement of the extension obstructions, reference diameter, minimum luminal diameter, and percentage of diameter stenosis (%DS) based on both diameter and area. A %DS ≥50% was defined as positive.
Statistical analysis. The evaluation of the primary objectives of the study was analyzed based on the diagnostic set, which included patients/vessels with QFR, QCA, and FFR evaluated. Thus, there was no data complement for missing values. Continuous variables are presented as mean ± standard deviation and categorical variables as frequencies and percentages. The bilateral confidence interval (CI) of 95% of the primary outcome was estimated at vessel and patient levels. Sensitivity, specificity, positive predictive value (PPV), and negative predictive value (NPV) of the QFR and QCA—with the FFR as the reference standard—were calculated, and the 95% CIs were added, as appropriate. The Pearson’s correlation (r) between FFR and QFR was obtained after natural log transformation since their distribution was not normal.
To consider the effect of the data grouped in the paired observations, generalized estimation equations (GEEs) with interchangeable correlation matrix and logit link function were used to analyze sensitivity, specificity, NPV, and PPV at the vessel level. Proc Genmod (SAS Institute, Inc) with the “repeated” command was used. The operating curves of the QFR and QCA receiver with the FFR as the gold standard were estimated using the logistic regression model with GEE at the vessel level. The agreement between QFR and FFR was assessed using the Bland-Altman graph. The correlation between QFR and QCA with FFR was determined by Pearson’s correlation coefficient. Paired comparisons between QFR and FFR were made using the Student’s paired t test.
Paired comparisons between receiver-operating characteristic curves were performed with DeLong tests using MedCalc, version 19.6 (MedCalc Software, Ltd). All other statistical analyses were performed using SAS, version 9.4 (SAS Institute, Inc). A P-value <.05 was considered an indication of statistical significance.
Results
Out of 102 patients and 143 arteries assessed by FFR, 68 arterial segments (47%) were excluded because of impeding conditions for the determination of QFR. The most frequent reason (64.6%) was the lack of projections <25° apart and too much overlap or foreshortening. Other conditions were inadequate image quality (5.9%), ostial right coronary artery (3.0%), distal left main/proximal circumflex (1.5%), and atrial fibrillation (1.5%). Moreover, 23.5% of the coronary arteries could not be evaluated due to no calibration or isocenter data present. The final sample involved 69 patients and 75 arteries in which it was possible to calculate the QFR.
Clinical characteristics are shown in Table 1. The mean age was 64.55 ± 12.15 years, 22% had diabetes, 16% had previous myocardial infarction, and 30.4% had acute coronary syndrome upon presentation. Table 2 describes patient angiographic characteristics. The left anterior descending coronary artery was studied in 57.4% of cases, mean lesion length was 18.95 ± 12.97 mm, and mean %DS was 46.2 ± 7.4%.
FFR and QFR findings. The mean FFR value of the 75 arteries evaluated was 0.83 ± 0.09. A positive FFR (≤0.80) was identified in 28 patients (40.5%) and 28 arteries (37.3%), with a mean value of 0.71 ± 0.06. A negative FFR (>0.80) was found in 41 patients (59.5%) and 47 arteries (62.7%), with a mean value of 0.89 ± 0.03.
The mean QFR value of the 75 arteries evaluated was 0.85 ± 0.1. A positive QFR (≤0.80) was identified in 20 patients (29%) and in 20 arteries (26.7%), with a mean value of 0.71 ± 0.1. A negative QFR (>0.80) was found in 49 patients (71%) and 55 arteries (73.3%), with a mean value of 0.90 ± 0.04.
Correlation and agreement. We found a good agreement between FFR and QFR (mean difference, -0.02 ± 0.09; P=.09), as shown in Figure 2. There was a moderate correlation between FFR and QFR (r=0.54; P<.01) and good concordance (in 81.4% of cases) between FFR and QFR for positive and negative values (Figure 3).
Accuracy of QFR and QCA. The accuracy of QFR per vessel was 84.0% (95% CI, 75.6-92.4). Sensitivity and specificity were 67.9% (95% CI, 47.6-84.1) and 93.4% (95% CI, 82.5-98.7), respectively. The positive and negative prediction values of the QFR were 86.4% (95% CI, 65.2-95.5) and 83.0% (95% CI, 70.4-90.9), respectively (Table 3).
The accuracy of 3D-QCA per vessel was 72.0% (95% CI, 61.3-82.7); it was 69.1% at the patient level (95% CI, 58.1-80.1). Sensitivity and specificity with QCA were 42.8% (95% CI, 26.2-61.3) and 89.4% (95% CI, 76.7-95.6), respectively. The positive and negative prediction values of the QCA were 71.7% (95% CI, 46.4-88.2) and 71.6% (95% CI, 58.2-82.1), respectively.
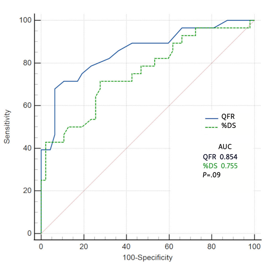
As shown in Figure 4, QFR had the absolute largest area under the curve value when compared with %DS, but no statistical difference was noted (QFR x %DS = 0.854 x 0.755; standard error, 0.0585; z-statistic, 1.700; P=.09). In our series, when using the QFR value between 0.75 and 0.85 for a hybrid QFR-FFR decision-making strategy, we obtained a sensitivity of 100% and a specificity of 86.8%, with an area under the receiver operator characteristic curve of 0.97 (95% CI, 0.94-1.0).
Discussion
The main findings of the present study are as follows: (1) QFR analysis was feasible in just a little more than half of the cases in daily practice, when a dedicated acquisition protocol is not used; (2) QFR analysis demonstrated good agreement and accuracy and moderate correlation for detection of functionally significant lesions by FFR; and (3) no statistical difference was observed in the area under the receiver operator characteristic curve between QFR and %DS.
After an initial study with only 19 patients, a number of studies were carried out (73 to 306 patients and 84 to 330 vessels) to test the accuracy of QFR in detecting FFR-positive lesions. In prospective, observational studies, QFR accuracy ranges from 80% to 93.3%.16-19 However, there are limited data on its applicability in angiograms acquired in daily practice.
Our sample was based on patients with intermediate obstructions, according to the mean value and small standard deviation of the percentage of the stenosis diameter (46.2 ± 7.4). Furthermore, even in this population, we found a considerable rate of patients with positive FFR (40.5%), demonstrating the usefulness of FFR for the therapeutic decision and, consequently, of the QFR in the assessment of moderate obstructions. This rate was higher than rates found in other studies, whose proportion of positive FFR ranged from 32.1% to 36%.16-19
In the present series, 30.4% of patients presented with non–ST-segment elevation myocardial infarction or unstable angina. Only nonculprit lesions were assessed. Some studies have already shown that the QFR calculation can be a reliable tool in this subset of patients.20-22 As in a meta-analysis of prospectively enrolled patients, the anatomical evaluation through the analysis of the 2-dimensional QCA and 3D-QCA offered just a moderate overall accuracy (QCA ≥50% DS, 63% [95% CI, 60-66], inferior to diagnosis by QFR (87% [95% CI, 85-89]; P<.001).23
We found a low mean absolute difference between the FFR and the QFR (-0.02 ± 0.09; P=.08), demonstrating good agreement between the 2 methods. A greater absolute difference was found in very low FFR values, as observed in Figure 2, but without significant clinical variability (positive FFR and positive QFR). This agreement could probably be optimized if the QFR measurement was performed exactly up to the segment where the pressure guide was located at the time of the FFR measurement. However, this was not always possible, as this image was not available in all of the coronary angiographies. Increasing the sample could also provide a smaller mean difference. A study with a large sample showed an average global difference of 0.00, but a difference of up to 0.03 when stratified by FFR values.17
Although the cutoff value of the FFR is a dichotomous variable (≤0.80 positive and >0.80 negative), it is known that the lower the FFR value, the greater the possibility of a clinical event. Thus, the final decision on coronary percutaneous or surgical revascularization involves other nuances, such as the patient’s clinical status and angiographic complexity. In some situations, patients with FFR values close to the cutoff point may not necessarily undergo an intervention based solely on the FFR value. The complete replacement of the FFR by some noninvasive or less-invasive method (QFR) is not intended. In this way, the adoption of safer bands to decide on the need for complementation with the FFR can be an interesting strategy. We have found an expressive area under the curve value when adopting a hybrid QFR-FFR approach. However, unlike nonhyperemic pressure indices, it seems unlikely that the use of QFR alone can effectively identify all obstructions that require intervention.24-25
Study limitations. In our study, we did not measure the time spent to calculate the QFR. In a study where this variable was calculated, the average time was 3 minutes.26 We did not carry out evaluations on the measurement of the QFR with different observers. A previous study has demonstrated a good reproducibility of the method both between observers and with the same observer over different periods of time.14 However, it is not a fully automated method, often depending on manual adjustments. Thus, great training among operators is necessary to minimize this variability. Another limitation of our study was the inability to assess the QFR in a considerable percentage of coronary angiographies. This fact is mainly related to the need to perform angiographic projections that are not always necessary in a standard angiography. On the other hand, online assessment reaches success rates greater than 94%.17-18 In this case, the software itself already suggests the necessary angiographic projection, greatly increasing the percentage of coronary angiographies in which it is possible to calculate the QFR.
Clinical use of offline QFR. A tool that is easy and quick to execute, with good accuracy, based on software for the Windows, can fill a gap in the physiological assessment that was not adequately filled by the FFR, or other nonhyperemic pressure indices based on the use of intracoronary pressure guidewire. We have found a quite high area under the receiver operator characteristic curve when adopting a hybrid QFR-FFR decision-making strategy. However, this aspect would be relevant only if it was performed with the patient in the catheterization room, when we would still have the option of performing the FFR or nonhyperemic indices in the gray zone of the QFR for decision making about revascularization. Furthermore, a hybrid QFR-FFR decision-making strategy is just a hypothesis and studies of clinical outcomes are necessary for its adoption in clinical practice.
Conclusion
We found good accuracy and agreement between FFR and QFR, with moderate correlation. However, the high rate of exclusion in offline evaluations of angiograms recorded without dedicated acquisition protocol considerably limits the use of this tool in this setting.
Affiliations and Disclosures
From the 1Heart Institute, InCor, University of Sao Paulo Medical School, Sao Paulo, Brazil; 2Hospital Santa Lucia, Brasilia, Brazil; 3University of Brasilia, Brasilia, Brazil; and 4Instituto Prevent Senior, Sao Paulo, Brazil.
Disclosure: The authors have completed and returned the ICMJE Form for Disclosure of Potential Conflicts of Interest. The authors report no financial relationships or conflicts of interest regarding the content herein.
Manuscript accepted October 18, 2021.
Address for correspondence: Luciano de Moura Santos, MD, Heart Institute - InCor, University of Sao Paulo Medical School, Av. Dr. Eneas de Carvalho Aguiar, 44, Cerqueira Cesar, Sao Paulo, SP, Brazil. Email: lucianomoura2005@gmail.com
References
1. De Bruyne B, Pijls NH, Kalesan B, et al. Fractional flow reserve-guided PCI versus medical therapy in stable coronary disease. N Engl J Med. 2012;367(11):991-1001. doi:10.1056/NEJMoa1205361
2. Pijls NH, Fearon WF, Tonino PA, et al. Fractional flow reserve versus angiography for guiding percutaneous coronary intervention in patients with multivessel coronary artery disease: 2-year follow-up of the FAME (Fractional Flow Reserve Versus Angiography for Multivessel Evaluation) study. J Am Coll Cardiol. 2010;56(3):177-184. doi:10.1016/j.jacc.2010.04.012
3. Pijls NH, van Schaardenburgh P, Manoharan G, et al. Percutaneous coronary intervention of functionally nonsignificant stenosis: 5-year follow-up of the DEFER study. J Am Coll Cardiol. 2007;49(21):2105-2111. doi:10.1016/j.jacc.2007.01.087
4. Xaplanteris P, Fournier S, Pijls NHJ, et al. Five-year outcomes with PCI guided by fractional flow reserve. N Engl J Med. 2018;379(3):250-259. doi:10.1056/NEJMoa1803538
5. Zimmermann FM, Ferrara A, Johnson NP, et al. Deferral vs. performance of percutaneous coronary intervention of functionally non-significant coronary stenosis: 15-year follow-up of the DEFER trial. Eur Heart J. 2015;36(45):3182-3188. doi:10.1093/eurheartj/ehv452
6. Pothineni NV, Shah NN, Rochlani Y, et al. U.S. trends in inpatient utilization of fractional flow reserve and percutaneous coronary intervention. J Am Coll Cardiol. 2016;67(6):732-733. doi:10.1016/j.jacc.2015.11.042
7. Sousa-Uva M, Neumann FJ, Ahlsson A, et al. 2018 ESC/EACTS Guidelines on myocardial revascularization. Eur J Cardiothorac Surg. 2019;55(1):4-90. doi:10.1093/ejcts/ezy289
8. Dattilo PB, Prasad A, Honeycutt E, et al. Contemporary patterns of fractional flow reserve and intravascular ultrasound use among patients undergoing percutaneous coronary intervention in the United States: insights from the National Cardiovascular Data Registry. J Am Coll Cardiol. 2012;60(22):2337-2339. doi:10.1016/j.jacc.2012.08.990
9. Green NE, Chen SY, Hansgen AR, et al. Angiographic views used for percutaneous coronary interventions: a three-dimensional analysis of physician-determined vs. computer-generated views. Catheter Cardiovasc Interv. 2005;64(4):451-459. doi:10.1002/ccd.20331
10. Kopanidis A, Pantos I, Theodorakakos A, Tzanalaidou E, Katritsis D. Fractional flow reserve derived from conventional coronary angiograms and computational fluid dynamics. Int J Cardiol. 2015;190:187-189. doi:10.1016/j.ijcard.2015.04.132
11. Pantos I, Katritsis D. Fractional flow reserve derived from coronary imaging and computational fluid dynamics. Interv Cardiol. 2014;9(3):145-150. doi:10.15420/icr.2014.9.3.145
12. Saad M, Toelg R, Khattab AA, et al. Determination of haemodynamic significance of intermediate coronary lesions using three-dimensional coronary reconstruction. EuroIntervention. 2009;5(5):573-579. doi:10.4244/eijv5i5a93
13. Takarada S, Zhang Z, Molloi S. An angiographic technique for coronary fractional flow reserve measurement: in vivo validation. Int J Cardiovasc Imaging. 2013;29(3):535-544. doi:10.1007/s10554-012-0119-0
14. Tu S, Barbato E, Koszegi Z, et al. Fractional flow reserve calculation from 3-dimensional quantitative coronary angiography and TIMI frame count: a fast computer model to quantify the functional significance of moderately obstructed coronary arteries. JACC Cardiovasc Interv. 2014;7(7):768-777. doi:10.1016/j.jcin.2014.03.004
15. Papafaklis MI, Muramatsu T, Ishibashi Y, et al. Fast virtual functional assessment of intermediate coronary lesions using routine angiographic data and blood flow simulation in humans: comparison with pressure wire-fractional flow reserve. EuroIntervention. 2014;10(5):574-583. doi:10.4244/EIJY14M07_01
16. Tu S, Westra J, Yang J, et al. Diagnostic accuracy of fast computational approaches to derive fractional flow reserve from diagnostic coronary angiography: the international multicenter FAVOR pilot study. JACC Cardiovasc Interv. 2016;9(19):2024-2035. doi:10.1016/j.jcin.2016.07.013
17. Westra J, Tu S, Winther S, et al. Evaluation of coronary crtery stenosis by quantitative flow ratio during invasive coronary angiography: the WIFI II study (Wire-Free Functional Imaging II). Circ Cardiovasc Imaging. 2018;11(3):e007107. doi:10.1161/CIRCIMAGING.117.007107
18. Xu B, Tu S, Qiao S, et al. Diagnostic accuracy of angiography-based quantitative flow ratio measurements for online assessment of coronary stenosis. J Am Coll Cardiol. 2017;70(25):3077-3087. doi:10.1016/j.jacc.2017.10.035
19. Westra J, Andersen BK, Campo G, et al. Diagnostic performance of in-procedure angiography-derived quantitative flow reserve compared to pressure-derived fractional flow reserve: the FAVOR II Europe-Japan study. J Am Heart Assoc. 2018;7(14):e009603. 2018 Jul 6. doi:10.1161/JAHA.118.009603
20. Spitaleri G, Tebaldi M, Biscaglia S, et al. Quantitative flow ratio identifies nonculprit coronary lesions requiring revascularization in patients with ST–segment-elevation myocardial infarction and multivessel disease. Circ Cardiovasc Interv. 2018;11(2):e006023. doi:10.1161/CIRCINTERVENTIONS.117.006023.
21. Milzi A, Dettori R, Marx N, Reith S, Burgmaier M. Quantitative flow ratio (QFR) identifies functional relevance of non-culprit lesions in coronary angiographies of patients with acute myocardial infarction. Clin Res Cardiol. 2021;110(10):1659-1667. doi:10.1007/s00392-021-01897-w
22. Sejr-Hansen M, Westra J, Thim T, et al. Quantitative flow ratio for immediate assessment of nonculprit lesions in patients with STsegment elevation myocardial infarction-an iSTEMI substudy. Catheter Cardiovasc Interv. 2019;94(5):686-692. doi:10.1002/ccd.28208
23. Westra J, Tu S, Campo G, et al. Diagnostic performance of quantitative flow ratio in prospectively enrolled patients: an individual patient-data meta-analysis. Catheter Cardiovasc Interv. 2019;94(5):693-701. doi:10.1002/ccd.28283
24. Davies J, Sen S, Dehbi HM, et al. Use of the instantaneous wave-free ratio or fractional flow reserve in PCI. N Engl J Med. 2017;376(19):1824-1834. doi:10.1056/NEJMoa1700445
25. Petraco R, Escaned J, Sen S, et al. Classification performance of instantaneous wave-free ratio (iFR) and fractional flow reserve in a clinical population of intermediate coronary stenoses: results of the ADVISE registry. EuroIntervention. 2013;9(1):91-101. doi:10.4244/EIJV9I1A14
26. Tar B, Jenei C, Dezsi CA, et al. Less invasive fractional flow reserve measurement from 3-dimensional quantitative coronary angiography and classic fluid dynamic equations. EuroIntervention. 2018;14(8):942-950. doi:10.4244/EIJ-D-17-00859


