Transcatheter Closure of Patent Foramen Ovale in Patients With Peripheral (Noncerebrovascular) Embolism
Abstract
Objectives. Scarce data exist on noncerebrovascular peripheral embolism (NCPE) patients undergoing transcatheter patent foramen ovale (PFO) closure. The objectives of this study were to determine the clinical and procedural characteristics, and long-term outcomes of patients with NCPE undergoing transcatheter PFO closure. Methods. This was a multicenter study including 1136 consecutive patients who underwent PFO closure after a thromboembolic event. Patients were divided into 2 groups according to the type of event leading to PFO closure, ie, cerebrovascular event (CVE, n = 1099 [96.7%]) and NCPE (n = 37 [3.3%]). The median follow-up was 3 years (interquartile range, 1-8), with follow-up complete in 98%. Results. Patients in the NCPE group exhibited higher rates of prior or concomitant pulmonary embolism (29.7% vs 3.4%; P<.001), and prior myocardial infarction (24.3% vs 1.8%; P<.001). Most NCPE events were located in the limbs (41%), followed by coronary (27%) and renal/splenic/mesenteric arteries (12%). PFO closure was successful in all patients, with a low complication rate (<1%) in both groups. NCPE patients were more frequently treated with anticoagulation following PFO closure (63% vs 13%; P<.001). There were no differences between NCPE and CVE groups in death (0 per 100 patient years vs 0.4 per 100 patient-years; P=.53) or cerebrovascular events (1.3 per 100 patient-years vs 0.4 per 100 patient-years; P=.15) at follow-up. Conclusions. Patients with NCPE events undergoing PFO closure exhibited differential baseline characteristics compared with patients with CVEs; limbs and coronary arteries were the most frequent NCPE location. PFO closure results and long-term outcomes were similar to their CVE counterparts, with a very low rate of recurrent thromboembolic events. Further studies are needed in this population.
Keywords: noncerebrovascular, patent foramen ovale, peripheral embolism, PFO closure
Paradoxical embolism in the context of a patent foramen ovale (PFO), like any cryptogenic stroke, has a similar fortuity chance to be the cause of an otherwise unexplained noncerebrovascular peripheral embolism (NCPE) leading to myocardial infarction (MI), acute limb ischemia, renal, splenic, or mesenteric infarctions.1 To date, PFO awareness has been focused almost exclusively on patients with cryptogenic stroke, where it has been proven to be a safe and effective therapeutic option.2,3 Thus, many PFO patients with a paradoxical embolism leading to a noncerebrovascular event remain underdiagnosed and potentially undertreated until a second embolic event or a specific condition (eg, concomitant venous thrombosis) raises the awareness about the presence and potential treatment of the PFO.
Recent PFO-closure registries included a minority of patients with NCPE,4,5 and only 1 randomized study, the PC trial, comparing PFO closure vs medical treatment for preventing recurrent thromboembolic events included patients with NCPE. However, only 11 NCPE patients (2.6% of the study population) were included in that trial, which precluded drawing any conclusion about this subgroup.2,6 This lack of information on patients with PFO-related NCPE treated with PFO closure is also highlighted in the latest PFO management guidelines,7 which reinforces the need for research aimed to identify patients’ phenotypes and clinical outcomes for improving PFO management in such patients. Thus, the main objectives of our study were to determine the clinical and procedural characteristics and long-term outcomes of patients with NCPE undergoing transcatheter PFO closure.
Methods
This study included 1136 consecutive patients who had a PFO closure after a cryptogenic thromboembolic event between 2001 and 2020 at 2 high-volume university centers in Canada and France. The local ethics committee of each participating center approved data collection and reporting.
Patients were divided into 2 groups: those with a cerebrovascular event (CVE, defined as stroke or transient ischemic attack [TIA]; n = 1099 [96.7%]) and those with NCPE (n = 37 [3.3%]). In addition to the imaging examinations for diagnosing the embolic event, a presumptive diagnosis of paradoxical embolism was established after screening including 24-hour (or more) Holter monitoring, transthoracic echocardiography (TTE), transesophageal echocardiography (TEE), and transcarotid Doppler (for those with CVEs). The diagnosis of PFO was established on the basis of a right-to-left shunt during TEE examination with agitated saline contrast test with and without Valsalva maneuver.
Data on procedural and in-hospital outcomes were collected in a dedicated database at each participating center. Follow-up was ensured by the referral physician and/or the physician performing the PFO closure. In-hospital medical records and national and regional public health registries were used to ensure accurate follow-up and data on clinical outcomes were collected. The information gathered was related to new or recurrent clinical events such as stroke, TIA, peripheral embolism, deep venous thrombosis (DVT) and/or pulmonary embolism, bleeding, arrhythmias, cardiovascular events including hospitalizations, and current medication. In cases where a clinical event was suspected, the complete medical record at the patient’s main follow-up center was reviewed as necessary. In cases in which additional information was required, the patient’s primary care, cardiologist, and/or neurologist was consulted. All neurological events (stroke, TIA) were diagnosed by a neurologist and bleeding events were defined and classified according to Bleeding Academic Research Consortium criteria.8 The study was performed in accordance with the ethics committee of each participating center and all patients provided signed informed consent for the procedures.
Statistical analysis. Categorical variables were reported as number (%) and continuous variables as median (interquartile range [IQR]) due to their nonnormal distribution. Comparisons were made with Chi-squared, Fisher’s, or Wilcoxon’s rank-sum test. A proportional-hazards regression analysis was performed to compare the effect of variables upon the clinical outcomes. Survival curves for time-to-event variables were performed with the use of Kaplan-Meier estimates, and group comparisons were performed using the log-rank test. Results were considered significant at P<.05. All statistical analyses were conducted using the statistical package Stata, version 14.0 (StataCorp).
Results
Baseline characteristics. The main baseline characteristics of the study population are shown in Table 1. Peripheral embolism patients tended to be older (52 years [IQR, 43-66] vs 50 years [IQR, 41-59]; P=.059), exhibited more frequently a history of ischemic events (prior to the event leading to PFO closure) including MI (24.3% vs 1.8%; P<.001) and stroke (35.14% vs 21.93%; P=.058), and had more frequently a diagnosis of concomitant or prior DVT (18.9% vs 6.2%; P<.01) and pulmonary embolism (29.7% vs 3.3%; P<.001). Also, a tendency toward a higher rate of thrombophilic disorders was observed in the NCPE group (14.3% vs 7.1% in the CVE group; P =.11). There were no differences between groups in baseline echocardiographic characteristics.
The most common location of NCPE event was the extremities (lower limbs [27%]; upper limbs [14%]) followed by the coronary arteries (27%), kidneys (8%), retina (5%), spleen (2%), and intestines (2%).
Procedural results. The procedural characteristics of the study population are summarized in Table 2. The PFO closure success rate was 100%. The most frequently implanted device in the entire population was the Amplatzer PFO occluder (Abbott Laboratories), and the Amplatzer Cribriform device was more frequently used in the NCPE group (13.5% vs 3.0% in the CVE group; P<.001). A higher proportion of patients were discharged under aspirin in the CVE group (89.6% vs 65.7% in the NCPE group; P<.001) and a higher use of oral anticoagulants was observed in the NCPE group (63.3% vs 13.1% in the CVE group; P<.001). The first outpatient follow-up echocardiogram was performed at 3 (IQR, 2-6) months post procedure, with most patients in both groups exhibiting no significant residual interatrial shunt.
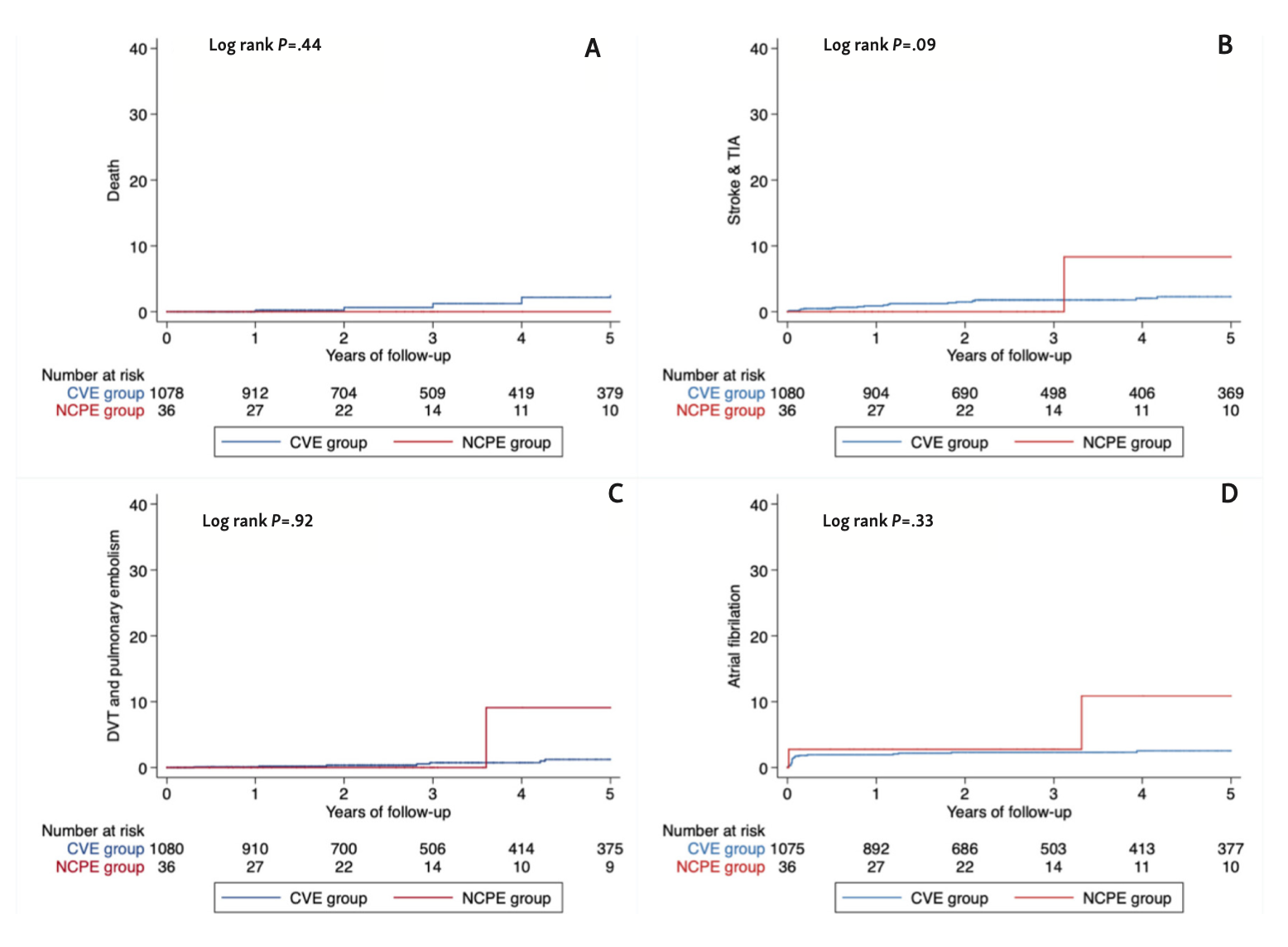
Long-term clinical outcomes. The median follow-up of the entire study population was 3 (IQR, 1-8) years, with no differences between groups (3 [IQR, 1-7] years in the NCPE group vs 3 [IQR, 1-8] years in the CVE group; P=.33). Follow-up was complete in all but 20 patients (98%), with no difference between groups (97% and 98% in the NCPE and CVE groups, respectively). The main clinical outcomes according to the type of thromboembolic event leading to PFO closure (NCPE vs CVE) are shown in Table 3. No peripheral embolisms or MIs were observed at follow-up in either group. There were 24 death events (all noncardiovascular in origin) and all occurred in the CVE group (0 per 100 patient-years in the NCPE group vs 0.4 per 100 patient-years in the CVE group; P=.54).
The combined endpoint of stroke and TIA was seen in 2 patients in the NCPE group and 21 patients in the CVE group, with an accumulated incidence of 1.3 per 100 patient-years vs 0.4 per 100 patient-years (P=.16). Regarding the 2 stroke events in the NCPE group, at the time of the event, both occurred in older (>60 years old) patients with a previous history of stroke. Both went through an uncomplicated and successful PFO closure procedure, with follow-up evidence of no significant residual shunt. One stroke occurred under aspirin and oral anticoagulation 11.4 years after the procedure. The other patient had a history of reduced left ventricular ejection fraction and also developed atrial fibrillation during follow-up (CHA2DS2-VASc score of 6), with the event occurring under oral anticoagulation 3.5 years after the procedure. The unadjusted hazard ratio (HR) for stroke was 6.65 (95% confidence interval, 0.77-57.07; P=.08).
There were no differences between groups in the incidence of DVT with pulmonary embolism (0.6 per 100 patient-years in the NCPE group vs 0.1 per 100 patient-years in the CVE group; P=.27). The atrial fibrillation event incidence was similar between both groups (1.3 per 100 patient-years in the NCPE group vs 0.6 per 100 patient-years in the CVE group; P=.32). At final follow-up, medical treatment in the NCPE group had the same trend toward a lower use of aspirin (42.31% vs 68.26% in the CVE group; P<.01) along with a higher rate of oral anticoagulants (48.15% vs 10.01% in the CVE group; P<.001). Kaplan-Meier curves for clinical events at 5-year follow-up are shown in Figure 1.
Discussion
The main results of our study can be summarized as follows: (1) NCPE patients represented a minority (3%) of those undergoing PFO closure; (2) NCPE (vs CVE) patients exhibited differential characteristics, including an older age, a higher rate of prior MI, prior or concomitant DVT, and pulmonary embolism; (3) up to one-third of NCPE patients reported a history of prior stroke event that remained underinvestigated/undertreated (with respect to the PFO); (4) PFO closure was successful in all NCPE patients, with a very low rate of periprocedural complications; and (5) after a median follow-up of 3 years, PFO closure seemed to be effective at preventing recurrent thromboembolic events in NCPE patients, with outcomes comparable to their CVE counterparts.
There were important differences in the clinical characteristics of NCPE patients compared with the CVE group. The NCPE group had a much higher rate of prior or concomitant DVT/pulmonary embolism. While the relationship between DVT/pulmonary embolism and paradoxical embolism has already been well established,9-11 this higher rate could reflect a clear bias toward a highly selected population compared with those patients with a cryptogenic stroke. Also, the rate of prior MIs was higher compared with the CVE group and the rate of prior stroke was 3 times higher than the 10%-11% reported in cryptogenic stroke clinical trials.12-14 This higher rate of prior arterial thromboembolic events can be explained by an incomplete evaluation of such initial events in the NCPE population. The fact that the NCPE was the second event in about one-third of the NCPE group means that the evaluation and treatment of the first event was likely underdiagnosed and/or undertreated in these patients.
The locations of embolisms were similar to those reported in prior studies, with the limbs being the most common site of NCPE. Dao et al1 described a group of patients referred to PFO closure with indications other than a cryptogenic stroke and reported a 2.9% of NCPE, with the most common sites also being the coronary arteries and extremities, although there was no information regarding their follow-up. In the general population, 1%-13% of MI cases are presented as MI with nonobstructive coronary arteries (MINOCAs)15 and, according to recent evidence, the most common underlying cause of MINOCA would be thromboembolism.16 In this type of MI, especially among those with no conclusive findings even after proper intracoronary investigation, our data support that a PFO should be depicted in the work-up of this group of patients. AbuRahma et al17 studied the causes of arterial embolism in the extremities in 406 patients and found that 2% of the patients had PFO-related paradoxical embolism (average age, 39 years old vs 68 years old in the rest of the patients). More recently, Greenberg et al18 carried out a systematic review in relation to PFO-related limbs in 51 NCPE patients (average age, 54 years old). Lower limbs were most frequently involved and most patients received an embolectomy therapy, but only one-half underwent PFO closure.
The safety of the procedure, success rate, and low complication and atrial fibrillation rates during follow-up in the NCPE group were similar to the CVE group despite the higher rate of DVT/pulmonary embolism and use of anticoagulants. Our results were similar to those reported in a recent meta-analysis of PFO clinical trials2,19 for cryptogenic stroke and in specific subgroups20-23 in which it has been shown that PFO closure is a very safe procedure.
The clinical event rate at follow-up was low and comparable to other patients after PFO closure after long-term follow-up.3 Although a tendency for a higher prevalence of thrombophilia and residual significant shunt was seen in the NCPE group, the 2 stroke events in this group were considered not to be PFO related based on the previously described clinical characteristics, which also highlights the importance of proper patient selection for transcatheter PFO closure.
Study limitations. This study has several limitations. First, it is a study that is retrospective in nature. Also, in cases with an embolic event located in the coronary arteries, optical coherence tomography was not systematically performed to rule out other potential sources of myocardial ischemia. Finally, the low incidence of clinical events at follow-up precluded further analyses and adjustments for baseline differences between groups.
Conclusion
NCPE patients currently represent a minority of those undergoing PFO closure. These peripheral events secondary to a paradoxical embolism are mainly located in extremities and coronary arteries, followed by abdominal (renal/splenic/mesenteric) arteries. Patients in the NCPE group exhibited a higher prevalence of prior or concomitant thrombotic events like DVT/pulmonary embolism along with a high rate of prior arterial ischemic events like MI or stroke. This likely reflects the lack of awareness regarding the potential role of a PFO during a first cryptogenic embolic event, leading to a late diagnosis and also to a high proportion of potentially preventable thromboembolic events, since as shown in our study, transcatheter PFO closure was safe and effective as secondary prevention in patients with PFO-related NCPE. Further studies on the role of PFO in patients with a NCPE event are warranted.
Acknowledgments. Dr Rodés-Cabau holds the Research Chair “Fondation Famille Jacques Larivière” for the Development of Structural Heart Disease Interventions.
Affiliations and Disclosures
From 1Quebec Heart and Lung Institute, Laval University, Quebec City, Quebec, Canada; 2Sorbonne University, Institut de Cardiologie, Groupe Hospitalier Pitié-Salpetrière (AP-HP), Paris, France; 3Centre Hospitalier Universitaire de Quebec, Laval University, Quebec City, Quebec, Canada.
Disclosure: The authors have completed and returned the ICMJE Form for Disclosure of Potential Conflicts of Interest. The authors report no conflicts of interest regarding the content herein.
Manuscript accepted March 25, 2022.
Address for correspondence: Josep Rodés-Cabau, MD, PhD, Quebec Heart & Lung Institute, Laval University, 2725 Chemin Ste-Foy, G1V 4G5, Quebec City, Quebec, Canada. Email: josep.rodes@criucpq.ulaval.ca. Twitter: @IUCPQ
References
1. Dao CN, Tobis JM. PFO and paradoxical embolism producing events other than stroke. Catheter Cardiovasc Interv. 2011;77(6):903-909. doi:10.1002/ccd.22884
2. Giacoppo D, Caronna N, Frangieh AH, et al. Long-term effectiveness and safety of transcatheter closure of patent foramen ovale compared with antithrombotic therapy alone: a meta-analysis of six randomised clinical trials and 3,560 patients with reconstructed time-to-event data. EuroIntervention. 2018;14(8):857-867. doi:10.4244/EIJ-D-18-00341
3. Wintzer-Wehekind J, Alperi A, Houde C, et al. Long-term follow-up after closure of patent foramen ovale in patients with cryptogenic embolism. J Am Coll Cardiol. 2019;73(3):278-287. doi:10.1016/j.jacc.2018.10.061
4. Eeckhout E, Martin S, Delabays A, Michel P, Girod G. Very long-term follow-up after percutaneous closure of patent foramen ovale. EuroIntervention. 2015; 10(12):1474-1479. doi:10.4244/EIJV10I12A257
5. Hardt SE, Eicken A, Berger F, et al. Closure of patent foramen ovale defects using Gore® Cardioform septal occluder: Results from a prospective European multicenter study. Catheter Cardiovasc Interv. 2017; 90(5):824-829. doi:10.1002/ccd.26993
6. Meier B, Kalesan B, Mattle HP, et al. Percutaneous closure of patent foramen ovale in cryptogenic embolism. N Engl J Med. 2013;368(12):1083-1091. doi:10.1056/NEJMoa1211716
7. Pristipino C, Sievert H, D’Ascenzo F, et al. European position paper on the management of patients with patent foramen ovale. General approach and left circulation thromboembolism. Eur Heart J. 2019;40(38):3182-3195. Erratum in: Eur Heart J. 2021;42(18):1807. doi:10.1093/eurheartj/ehy649
8. Mehran R, Rao SV, Bhatt DL, et al. Standardized bleeding definitions for cardiovascular clinical trials: a consensus report from the Bleeding Academic Research Consortium. Circulation. 2011;123(23):2736-2747. doi:10.1161/CIRCULATIONAHA.110.009449
9. Konstantinides S, Geibel A, Kasper W, Olschewski M, Blümel L, Just H. Patent foramen ovale is an important predictor of adverse outcome in patients with major pulmonary embolism. Circulation. 1998; 97(19):1946-1951. doi:10.1161/01.cir.97.19.1946
10. Wąsek WC, Samul W, Ryczek R, Skrobowski A. Unique case of ST-segment-elevation myocardial infarction related to paradoxical embolization and simultaneous pulmonary embolization: clinical considerations on indications for patent foramen ovale closure in no-guidelines land. Circulation. 2015; 131(13):1214-1223. doi:10.1161/CIRCULATIONAHA.114.009846
11. Ng PY, Ng AK, Subramaniam B, et al. Association of preoperatively diagnosed patent foramen ovale with perioperative ischemic stroke. JAMA. 2018;319(5):452-462. doi:10.1001/jama.2017.21899
12. Søndergaard L, Kasner SE, Rhodes JF, et al. Patent foramen ovale closure or antiplatelet therapy for cryptogenic stroke. N Engl J Med. 2017;377(11):1033-1042. Erratum in: N Engl J Med. 2020; 382(10):978. doi:10.1056/NEJMoa1707404
13. Saver JL, Carroll JD, Thaler DE, et al. Long-term outcomes of patent foramen ovale closure or medical therapy after stroke. N Engl J Med. 2017;377(11):1022-1032. doi:10.1056/NEJMoa1610057
14. Lee PH, Song JK, Kim JS, et al. Cryptogenic stroke and high-risk patent foramen ovale: the DEFENSE-PFO trial. J Am Coll Cardiol. 2018;71(20):2335-2342. doi:10.1016/j.jacc.2018.02.046
15. Agewall S, Beltrame JF, Reynolds HR, et al. ESC working group position paper on myocardial infarction with non-obstructive coronary arteries. Eur Heart J. 2017;38(3):143-153. doi:10.1093/eurheartj/ehw149
16. Dees D, Rahimi F, Amann M, et al. Prevalence and causes of myocardial infarction with non-obstructive coronary arteries in a contemporary cohort of patients with suspected myocardial infarction. J Clin Med. 2021;10(21):5188. doi:10.3390/jcm10215188. doi:10.3390/jcm10215188
17. AbuRahma AF, Downham L. The role of paradoxical arterial emboli of the extremities. Am J Surg. 1996;172(2):214-217. doi:10.1016/S0002-9610(96)00155-9
18. Greenberg JW, Goff ZD, Mooser AC, Wittgen CM, Smeds MR. Acute limb ischemia secondary to patent foramen ovale-mediated paradoxical embolism: a case report and systematic review of the literature. Ann Vasc Surg. 2020;66:668.e5-668.e10. doi:10.1016/j.avsg.2019.12.022
19. Vaduganathan M, Qamar A, Gupta A, et al. Patent foramen ovale closure for secondary prevention of cryptogenic stroke: updated meta-analysis of randomized clinical trials. Am J Med. 2018;131(5):575-577. doi:10.1016/j.amjmed.2017.11.027
20. Wintzer-Wehekind J, Alperi A, Houde C, et al. Transcatheter closure of patent foramen ovale in patients older than 60 years of age with cryptogenic embolism. Rev Esp Cardiol (Engl Ed). 2020;73(3):219-224. doi:10.1016/j.rec.2019.07.003
21. Sauza-Sosa JC, Millan-Iturbe O. Patent foramen ovale closure: an uncommon clinical indication and contemporary echocardiography evaluation. Circ Cardiovasc Imaging. 2020;13(3):e010119. doi:10.1161/CIRCIMAGING.119.010119
22. Mas JL, Guillon B, Charles-Nelson A, et al. Patent foramen ovale closure in stroke patients with migraine in the CLOSE trial. The CLOSE-MIG study. Eur J Neurol. 2021;28(8):2700-2707. doi:10.1111/ene.14892
23. Honěk J, Šrámek M, Honěk T, et al. Patent foramen ovale closure is effective in divers: long-term results from the DIVE-PFO registry. J Am Coll Cardiol. 2020;76(9):1149-1150. doi:10.1016/j.jacc.2020.06.072
Related Reading
- Intermediate-Term Outcomes for Patients With Submassive Pulmonary Embolism Treated With Catheter-Directed Thrombolysis
- Safety and Outcome of Rheolytic Thrombectomy for the Treatment of Acute Massive Pulmonary Embolism
- IAGS 2022 16th Biennial IAGS Meeting proceedings / Contemporary Management of Intermediate- and High-Risk Pulmonary Embolism
- Use of the STEMI Team for Treatment of Patients with Pulmonary Embolism: A Pilot Study
- Preserved Left Atrial Function Following Left Atrial Appendage Closure for Stroke Prevention


