Skip to main content

Volume 36 - Issue 2 - February, 2024

Original Contribution
02/09/2024
Robert Adamian, BS; Paul McCleary, BS; Toishi Sharma, MD; David J. Schneider, MD
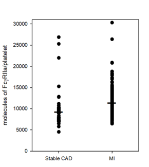
The objective of this study was to compare both the median and range of platelet FcɣRIIa in patients who had not had a myocardial infarction in the previous year, and were undergoing cardiac catheterization and percutaneous coronary...
The objective of this study was to compare both the median and range of platelet FcɣRIIa in patients who had not had a myocardial infarction in the previous year, and were undergoing cardiac catheterization and percutaneous coronary...
The objective of this study was...
02/09/2024
Journal of Invasive Cardiology
Clinical Images
02/09/2024
Pedro Perillo de Sa; Adriano Caixeta, MD, PhD; Marcos Danillo P. Oliveira, MD, MSc; Daniel Catto De Marchi, MD
An 80-year-old woman who was an active smoker with neglected long-term hypertension, but no known previous aortic or connective tissue disorders, presented to the emergency department complaining of sudden chest pain associated with...
An 80-year-old woman who was an active smoker with neglected long-term hypertension, but no known previous aortic or connective tissue disorders, presented to the emergency department complaining of sudden chest pain associated with...
An 80-year-old woman who was an...
02/09/2024
Journal of Invasive Cardiology
Clinical Images
02/09/2024
Jason H. Anderson, MD; Pradyumna Agasthi, MBBS, MD; Allison K. Cabalka, MD
The authors present a 19-year-old female with history of d-transposition of the great arteries status post-arterial switch operation. Due to bilateral proximal pulmonary artery stenoses, she had undergone attempted pulmonary artery stenting...
The authors present a 19-year-old female with history of d-transposition of the great arteries status post-arterial switch operation. Due to bilateral proximal pulmonary artery stenoses, she had undergone attempted pulmonary artery stenting...
The authors present a...
02/09/2024
Journal of Invasive Cardiology
Clinical Images
02/09/2024
Eugene B. Wu, MD, DM; Ken W. K. Chi, MD
The authors report the Extraplaque Blood Withdrawal stenting technique to treat chronic total occlusion percutaneous coronary intervention-induced extraplaque hematoma.
The authors report the Extraplaque Blood Withdrawal stenting technique to treat chronic total occlusion percutaneous coronary intervention-induced extraplaque hematoma.
The authors report...
02/09/2024
Journal of Invasive Cardiology
Clinical Images
02/09/2024
Sriram Veeraraghavan, MD, DM; Bharath Raj Kidambi, MD, DM
A 73-year-old woman with diabetes, hypertension, and non-ST elevation myocardial infarction underwent optical coherence tomography-guided angioplasty for calcific stenosis of the mid-left anterior descending artery and mid-segment of a...
A 73-year-old woman with diabetes, hypertension, and non-ST elevation myocardial infarction underwent optical coherence tomography-guided angioplasty for calcific stenosis of the mid-left anterior descending artery and mid-segment of a...
A 73-year-old woman with...
02/09/2024
Journal of Invasive Cardiology
Clinical Images
02/09/2024
Kewal Kanabar, MD; Pooja Vyas, MD; Karthik Natarajan, MD; Nirmal Shah, MD; Radhakishan Dake, MD
A 50-year-old female patient presented with class III angina for 6 months, positive stress test, and a prior CT angiogram suggestive of three-vessel disease. Coronary angiogram showed disease of the distal ramus intermedius, proximal...
A 50-year-old female patient presented with class III angina for 6 months, positive stress test, and a prior CT angiogram suggestive of three-vessel disease. Coronary angiogram showed disease of the distal ramus intermedius, proximal...
A 50-year-old female patient...
02/09/2024
Journal of Invasive Cardiology
Clinical Images
02/09/2024
Antonios Kouparanis, MD; George Kassimis, MD, PhD; Antonios Ziakas, MD; Konstantinos C. Theodoropoulos, MD, MSc; Maria-Anna Bazmpani, MD, MSc
Emergency transradial coronary angiography in a 68-year-old woman demonstrated sub-total occlusion of the proximal left anterior descending artery. Wiring was challenging because of a funny arteriole network arising from the proximal left...
Emergency transradial coronary angiography in a 68-year-old woman demonstrated sub-total occlusion of the proximal left anterior descending artery. Wiring was challenging because of a funny arteriole network arising from the proximal left...
Emergency transradial coronary...
02/09/2024
Journal of Invasive Cardiology
Brief Communication
02/09/2024
Athanasios Rempakos, MD; Bahadir Simsek, MD; Spyridon Kostantinis, MD; Michaella Alexandrou, MD; Olga C. Mastrodemos, BA; Salman S. Allana, MD; Anastasios Milkas, MD, PhD; Lorenzo Azzalini, MD, PhD, MSc; Judit Karacsonyi, MD, PhD; Sunil V. Rao, MD, FACC, FSCAI; Bavana V. Rangan, BDS, MPH, MD; Mohaned Egred, MBChB, MD, BSc(Hons), FRCP, BSc, MRCP; Mark Linzer, MD; Ajay J. Kirtane, MD, SM; Khaldoon Alaswad, MD; Yader Sandoval, MD; Hani Jneid, MD; Emmanouil S. Brilakis, MD, PhD, FACC, FAHA, FESC, FSCAI; Anna E. Bortnick, MD, PhD, MSc, FAHA, FACC, FSCAI
The authors conducted an international, anonymous, online survey exploring sex-based differences in the well-being of interventional cardiologists.
The authors conducted an international, anonymous, online survey exploring sex-based differences in the well-being of interventional cardiologists.
The authors conducted an...
02/09/2024
Journal of Invasive Cardiology
Original Contribution
02/09/2024
Julio I. Farjat-Pasos, MD, MSc
The authors sought to determine the safety and performance of the SavvyWire (OpSens Medical) among all-comer patients with symptomatic severe aortic stenosis undergoing transcatheter aortic valve replacement.
The authors sought to determine the safety and performance of the SavvyWire (OpSens Medical) among all-comer patients with symptomatic severe aortic stenosis undergoing transcatheter aortic valve replacement.
The authors sought to determine...
02/09/2024
Journal of Invasive Cardiology
Original Contribution
02/09/2024
Hayato Ohtani, MD, PhD; Masao Saotome, MD, PhD; Yuichiro Maekawa, MD, PhD; Yuichi Suzuki, MD; Satoshi Mogi, MD; Yusuke Mizuno, MD; Ryota Sato, MD, PhD; Terumori Satoh, MD, PhD
This study aimed to determine the safety and feasibility of a non-angio-guided post-closure approach using the Perclose ProGlide (Abbott) to decannulate the Impella (Abiomed) in the intensive care unit.
This study aimed to determine the safety and feasibility of a non-angio-guided post-closure approach using the Perclose ProGlide (Abbott) to decannulate the Impella (Abiomed) in the intensive care unit.
This study aimed to determine...
02/09/2024
Journal of Invasive Cardiology