The Safety and Feasibility of Transitioning From Transfemoral to Transradial Access Left Ventricular Endomyocardial Biopsy
Abstract: Background. Left ventricular endomyocardial biopsy (LVEMB) is commonly performed via the transfemoral route. Radial access may help reduce vascular access complications, but there are few data on the safety and feasibility of transradial LVEMB. Objective. Describe the safety and feasibility of transitioning from transfemoral to transradial access LVEMB. Methods. This is a single-center, prospective, observational cohort study. Fifty procedures in 49 patients were included, 25 (50%) via the femoral route and 25 (50%) via the radial route. Results. The cohort had a mean age of 47 ± 13 years and the most common indication for LVEMB was myocarditis. From June 2015 until September 2016, all procedures (n = 21) were performed via the femoral approach; thenceforth, there was a gradual transition to the radial approach. More tissue samples were obtained when the procedure was performed via the femoral approach (P<.01). The minimum sampling target of 3 specimens was not met in 4 patients (16%) via the radial approach and in 1 patient (4%) via the femoral approach. Complications occurred in 3/25 transradial procedures (12%; 2 cardiac perforations and 1 forearm hematoma) and 3/25 transfemoral procedures (12%; 1 cardiac perforation, 1 femoral artery pseudoaneurysm, and 1 ventricular fibrillation). Cardiac perforations via the transradial approach occurred during the early transition period. There were no deaths. Conclusions. Transradial LVEMB is feasible, with a similar complication profile to femoral procedures, but associated with a smaller number of specimens. Transitioning from transfemoral to transradial procedures may initially be associated with a higher risk of complications and potentially a lower diagnostic yield.
Key words: hematoma, myocarditis, transradial approach
Endomyocardial biopsy is an important diagnostic tool in the work-up of patients with non-ischemic cardiomyopathy. In recent years, left ventricular endomyocardial biopsy (LVEMB) has supplanted right ventricular endomyocardial biopsy as the method of choice for obtaining cardiac tissue.1-3 LVEMB is conventionally undertaken via the transfemoral route, but the radial artery has become the access route of choice for most coronary interventions and diagnostic procedures due to reduced complication rates, early mobilization and reduced hospital stay.4,5 Adoption of the transradial route for LVEMB has been slow, partly due to the larger-diameter catheters used to accommodate bioptomes, with few available data.6-11 The objective of this study was to describe the safety and feasibility of transitioning from transfemoral to transradial LVEMB.
Methods
Study design and patient population. This is a single-center, observational cohort study. All patients who underwent LVEMB between June 2015 and October 2019 were considered. During this period, LVEMB transitioned from the transfemoral to the transradial route. Procedural data were prospectively collected in a dedicated database (Dendrite Clinical Systems) in accordance with local protocols. Data analysis was approved by the Barts Health NHS Trust clinical effectiveness unit as part of a local audit. All authors have read and agree to the manuscript as written.
Overview of procedures. All patients were reviewed by a specialist cardiomyopathy team and referred for LVEMB. Anticoagulants were withheld prior to the procedure, which was always undertaken with an international normalized ratio <1.6 and platelet count >50 x 109/L. Echocardiography was carried out in the catheterization laboratory immediately prior to the procedure to establish baseline mitral valve function and to detect and quantify pre-existing pericardial effusions. All patients had intraprocedural electrocardiography (ECG), invasive arterial/LV pressure monitoring, and oxygen saturations. Intravenous or intra-arterial heparin was administered. Left ventriculograms (right anterior oblique [RAO] 30°-45° with an additional left anterior oblique [LAO] 30° left ventriculogram at the discretion of the operator) were taken to guide the biopsy. The procedures were performed by 3 operators (OG, MD, COM) with the aim to obtain a minimum of 3 specimens. In a subgroup of patients, coronary angiography and/or right heart catheterization were undertaken at the same setting. Once the sampling was complete, further left ventriculogram(s) and echocardiography were performed to assess pericardial fluid and mitral regurgitation. Hemostasis was pursued after a satisfactory period of invasive hemodynamic monitoring (minimum of 5 minutes). After 4 hours of postprocedural observation (cardiac monitoring, saturations, and non-invasive blood pressure), elective outpatients without complications were discharged.
Transradial approach LVEMB. A 5.5 Fr, 104 cm-long Cordis bioptome (Cardinal Health) was used for all procedures. A 6 Fr, 100 cm-long multipurpose (MP) guide was shortened by 10 cm at the proximal end and attached to a shortened 5 Fr femoral sheath to allow introduction of the bioptome and hemodynamic monitoring via the side port. Shortening the multipurpose catheter is essential to allow the bioptome to have enough reach in the LV. The technical steps are shown in Figure 1. After radial access was gained with a 6 Fr radial sheath, 2.5 mg of verapamil was given via the radial sheath to prevent spasm. A 5 Fr pigtail catheter was then introduced into the lumen of the 6 Fr MP guide and advanced over a .035˝ guidewire under fluoroscopic guidance to the ascending aorta. The aortic valve was crossed with the pigtail catheter and the aid of the .035˝ wire. At this point, left ventriculograms were obtained as roadmaps. The tip of the MP guide catheter was then positioned in the mid cavity of the LV over the pigtail catheter, which was then removed. Position of the MP guide was confirmed in orthogonal planes (RAO 30°-45° and LAO 30°-45°). To confirm that the MP catheter was not abutting the LV wall, approximately 5 mL of contrast was injected under fluoroscopy. The Cordis bioptome was then advanced through the MP guide catheter into the LV cavity. Samples were obtained with fluoroscopic guidance. Repetitive bleed-back and manual flushing were undertaken to avoid air embolization during sample extraction and bioptome reinsertion. Following completion of the procedure, the radial sheath was removed and a hemostatic band was positioned.
Transfemoral approach LVEMB. Transfemoral biopsies were performed utilizing the same equipment as transradial biopsies, or alternatively using a 7 Fr, 90 cm sheath.
Procedural complications. Patient records were reviewed and the following procedural complications were recorded: pericardial effusion; pericardial drain or window for cardiac tamponade; mitral valve surgery; periprocedural stroke; ventricular arrhythmias; bradyarrhythmia requiring pacing; refractory radial artery spasm; access-site bleeding; hematomas; arteriovenous fistulae; false aneurysms; limb ischemia; and need for blood transfusion.
Statistical methods. Variables are expressed as mean ± standard deviation, median (interquartile range [IQR], defined as 25th-75th percentiles), or counts (percentages), as appropriate. Differences between means were compared using the Student’s t-test and the Mann-Whitney U-test for normally distributed and non-normally distributed continuous data, respectively. Categorical data were compared using the Pearson’s Chi-squared test. A 2-sided P<.05 was considered statistically significant. This study is not powered to detect differences. All statistical analyses were carried out using STATA, version 11.
Results
During the study period, a total of 53 procedures were undertaken in 52 patients. Three procedures were excluded due to missing data. A total of 50 LVEMBs in 49 patients were included in the analysis. All patients were adults (age range, 16.4-69.1 years), and most were men who were undergoing the procedure electively for investigation of myocarditis. The right radial artery was utilized in 25 procedures (50%); the femoral approach was used for the remaining 25 biopsies (50%). The baseline clinical characteristics are shown in Table 1.
From June 2015 until September 2016, all procedures were performed via the femoral approach (n = 21); thenceforth, there was a gradual transition to the radial approach (Figure 2). There was no significant difference in sex (P=.24) or urgency (P=.14) between the 2 approaches.
Complications. Complications occurred in 6 patients (12%), with 3 via the right radial artery and 3 via the femoral approach. There were no deaths. The complications are listed in Table 1 and described in detail below.
Vascular complications. Two patients suffered vascular complications. A 44-year-old man had a traumatic radial sheath insertion complicated by a forearm hematoma treated with manual pressure; the LVEMB was undertaken without complication via the right femoral artery 2 months later. A 46-year-old female with left ventricular hypertrophy (LVH), investigated for an inborn error of metabolism, developed bleeding from the right femoral artery during recovery and developed a hematoma with a .4 cm pseudoaneurysm that resolved with conservative treatment.
Arrhythmic complications. A 47-year-old man with unexplained LVH developed ventricular fibrillation following contrast injection via the MP catheter after the fourth biopsy was taken via the right femoral artery. Defibrillation was successful and he was discharged uneventfully.
Cardiac perforations. Three patients had cardiac perforation with a prevalence of 6% (95% confidence interval, 0.0-13). A 32-year-old man with unexplained LVH developed cardiac tamponade after 3 biopsies were taken via the right femoral artery. Pericardiocentesis was performed without the need for surgery and he had an uneventful recovery. A 71-year-old woman with unexplained LVH developed a pericardial effusion with tamponade after taking 1 sample via the right radial artery (this was the fourth consecutive radial LVEMB). Pericardiocentesis was performed, blood was transfused, and the bleeding settled without the need for cardiac surgery. A 29-year-old female with fulminant myocarditis developed a small pericardial effusion after withdrawing the bioptome during the first sampling attempt via the right radial artery (this was the eighth consecutive radial LVEMB). Pericardiocentesis was not required, but the procedure was abandoned and samples were not obtained. Beyond the eighth consecutive transradial LVEMB, no other cardiac perforations occurred.
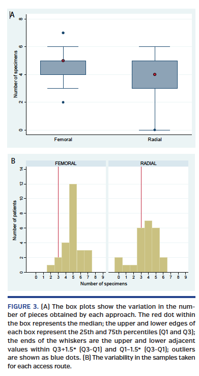
Number of specimens obtained. The median number of pieces in the whole cohort was 5 (IQR, 3-5). The median number of specimens with the transfemoral approach was 5 (IQR, 4-5) and with the transradial approach was 4 (IQR, 3-5). More tissue samples were obtained when the procedure was performed via the femoral approach (P<.01), as shown in Figure 3A. This difference persisted when cases with complications were excluded from this analysis (P<.01). Three or more specimens were obtained in 45 procedures (90%). The minimum sampling target of 3 specimens was not met in 4 LVEMBs (16%) via the transradial approach and in 1 patient (4%) via the transfemoral approach (Figure 3B). With the exception of 2 procedures (a 29-year-old patient with pericardial effusion and a 44-year-old patient with forearm hematoma, as described above), LVEMB specimens of sufficient quality for histological examination were obtained.
Discussion
This single-center study shows that during the early phase of radial access adoption, LVEMB carries a procedural risk similar to femoral access procedures, but fewer specimens were obtained. These findings are in the context of a transition from femoral to radial access LVEMB and will inform other practitioners who are considering adoption of the radial approach.
The safety of radial over femoral access, convincingly demonstrated in percutaneous coronary intervention,12-14 has catalyzed its uptake in LVEMBs at some centers. To date, there are limited data on radial access LVEMB, with only a small number of published studies. To our knowledge, Bagur et al6 published the first case in 2014. Soon after, Shulz et al8 published a series of 37 patients and reported no vascular access-site complications, but 1 patient developed intraprocedural ventricular fibrillation and another patient developed a cerebrovascular accident. A recently published, international, multicenter study that incorporated Schäufele et al7 (2015) and Choudhury et al11 (2018) to include 130 transradial procedures and 134 transfemoral procedures demonstrated the safety of the radial approach, which was associated with fewer vascular complications.15 The current study lends further weight to the evidence that LVEMB can be safely performed via the radial artery, without clinically significant vascular complications.
Even though there were no deaths in our cohort, the rate of complications in the transradial access group was higher compared with other previously described studies.7,8,11,15 This may be explained by the learning curve associated with the adoption of the radial approach during the study period, as well as differences in equipment and cohort characteristics. Most other studies used sheathless 7.5 Fr MP1 guiding catheters, which may allow easier, frictionless manipulation of the bioptome compared with the modified 6 Fr MP1 used at our institution. The different bioptomes used at each center, each with different stiffness and cutting characteristics, may also account for the complication rates to some extent. Finally, our cohort was younger (mean age, 50-60 years) in comparison with the other studies (mean age, 60-70 years), which is likely to reflect the underlying disease process and perhaps predisposition to certain complications.
The smaller number of specimens via the radial approach may be explained by the limited initial experience of radial access LVEMB. The occurrence of 2 cardiac perforations at the very beginning of the transition to radial access likely contributed to a more conservative sampling strategy by the operators. As with any procedure, it is expected that the prevalence of complications will decline with increased experience, but data to demonstrate this are not currently available.
Study limitations. The findings of this report are limited by the observational nature of the study, which is not powered to categorically compare the features of the 2 access routes.
Conclusion
Transradial LVEMB is feasible and relatively safe using modified guiding catheters, but associated with a smaller number of specimens. During the transition from transfemoral to transradial access, LVEMB may initially be associated with a higher risk of complications and potentially a lower number of specimens.
From 1St Bartholomew’s Hospital, West Smithfield, London, United Kingdom; 2UCL Centre for Heart Muscle Disease, Institute of Cardiovascular Science, University College London, Gower St, London, United Kingdom.
Funding: This work was undertaken at St. Bartholomew’s Hospital, which received a proportion of funding from the United Kingdom Department of Health’s National Institute for Health Research Biomedical Research Centres funding scheme.
Disclosure: The authors have completed and returned the ICMJE Form for Disclosure of Potential Conflicts of Interest. The authors report no conflicts of interest regarding the content herein.
Disclosure: The authors declare no conflict of interest.
Final version accepted May 12, 2020.
Address for correspondence: Constantinos O’Mahony, St. Bartholomew’s Hospital, W. Smithfield, London EC1A 7BE, United Kingdom. Email: drcostasomahony@gmail.com
- Yilmaz A, Kindermann I, Kindermann M, et al. Comparative evaluation of left and right ventricular endomyocardial biopsy: differences in complication rate and diagnostic performance. Circulation. 2010;122:900-909.
- Frustaci A, Pieroni M, Chimenti C. The role of endomyocardial biopsy in the diagnosis of cardiomyopathies. Ital Heart J. 2002;3:348-353.
- Chimenti C, Frustaci A. Contribution and risks of left ventricular endomyocardial biopsy in patients with cardiomyopathies: a retrospective study over a 28-year period. Circulation. 2013;128:1531-1541.
- Mitchell MD, Hong JA, Lee BY, Umscheid CA, Bartsch SM, Don CW. Systematic review and cost-benefit analysis of radial artery access for coronary angiography and intervention. Circ Cardiovasc Qual Outcomes. 2012;5:454-462.
- Jolly SS, Yusuf S, Cairns J. Radial versus femoral access for coronary angiography and intervention in patients with acute coronary syndromes (RIVAL): a randomised, parallel group, multicentre trial. Lancet. 2011;377:1409-1420.
- Bagur R, Bertrand OF, Beliveau P, et al. Feasibility of using a sheathless guiding catheter for left ventricular endomyocardial biopsy performed by transradial approach. J Invasive Cardiol. 2014;26:E161-E163.
- Schäufele TG, Spittler R, Karagianni A, et al. Transradial left ventricular endomyocardial biopsy: assessment of safety and efficacy. Clin Res Cardiol. 2015;104:773-781.
- Schulz E, Jabs A, Gori T, et al. Feasibility and safety of left ventricular endomyocardial biopsy via transradial access: technique and initial experience. Catheter Cardiovasc Interv. 2015;86:761-765.
- Bagur R, Gilchrist IC. Transradial approach to take a little piece of heart. Catheter Cardiovasc Interv. 2015;86:766-767.
- Kherad B, Köhncke C, Spillmann F, et al. Postprocedural radial artery occlusion rate using a sheathless guiding catheter for left ventricular endomyocardial biopsy performed by transradial approach. BMC Cardiovasc Disord. 2016;16:1-7.
- Choudhury T, Schäufele TG, Lavi S, et al. Transradial approach for left ventricular endomyocardial biopsy. Can J Cardiol. 2018;34:1283-1288.
- Baklanov DV, Kaltenbach LA, Marso SP, et al. The prevalence and outcomes of transradial percutaneous coronary intervention for ST-segment elevation myocardial infarction: analysis from the National Cardiovascular Data Registry (2007 to 2011). J Am Coll Cardiol. 2013;61:420-426.
- Joyal D, Bertrand O, Rinfret S, Shimony A, Eisenberg M. Meta-analysis of ten trials on the effectiveness of the radial versus the femoral approach in primary percutaneous coronary intervention. Am J Cardiol. 2012;109:813-818.
- Brener MI, Bush A, Miller JM, Hasan RK. Influence of radial versus femoral access site on coronary angiography and intervention outcomes: a systematic review and meta-analysis. Catheter Cardiovasc Interv. 2017;90:1093-1104.
- Choudhury T, Lurz P, Schäufele TG, et al. Radial versus femoral approach for left ventricular endomyocardial biopsy. EuroIntervention. 2019;15:678-684.


