Quantitative Flow Ratio Analysis by Paramedical Compared With Medical Users
Abstract
Objectives. We aimed to validate whether quantitative flow ratio (QFR) analysis could be performed by both medical and paramedical certified users. Therefore, we compared QFR values with conventional guidewire-based fractional flow reserve (FFR) as the reference using core laboratory analysis. QFR allows FFR calculation based on the coronary angiogram. QFR analysis requires certified users with dedicated training and skills. However, the ability of medical and paramedical users to correctly analyze QFR remains unknown. Methods. In a prospective, single-center study, we included all consecutive patients with stable coronary artery disease and indicated physiological assessment. QFR was performed and analyzed by 1 medical and 2 paramedical QFR users who were unaware of conventional pressure-guidewire FFR measurements. Results. We included 67 consecutive patients and 100 lesions for assessment with QFR and FFR. Pearson’s correlation coefficient of QFR performed by paramedical users compared with medical users was 0.89 (range, 0.83-0.92). A Bland-Altman analysis showed no significant bias (-0.0008). Receiver-operator characteristic curves were generated to compare the ability to predict an FFR value above or below 0.80 with QFR performed by paramedical vs medical users. When comparing FFR with QFR performed by paramedical and medical users, the values for area under the curve were 0.964 and 0.970, respectively. Intraclass correlation was 0.884. Conclusion. Our study showed a noticeable correlation between QFR analysis performed by QFR-certified paramedical and medical users, as compared with FFR. These data suggest that QFR analysis could be performed by certified paramedicals in order to reduce physician workload without impacting the quality of the obtained results.
J INVASIVE CARDIOL 2022;34(4):E281-E285. Epub 2022 March 18.
Key words: coronary artery disease, functional evaluation, non-physician, paramedical, percutaneous coronary intervention
Coronary artery disease remains a major cause of morbidity and mortality despite cardiovascular prevention and treatment strategies.1,2 Adequate diagnosis and management are essential to reduce this associated burden. Diagnosis is currently based on non-invasive functional imaging as well as coronary angiography.3 However, many patients are referred for coronary angiography prior to any non-invasive tests.4 Since functional assessment of intermediate coronary lesions (30%-90% lumen diameter reduction) is essential prior to angioplasty, approaches such as fractional flow reserve (FFR) guidance support treatment decision making.4-8
In the past decade, accumulating evidence has proven that a revascularization strategy based on FFR of intermediate stenosis improves clinical outcomes.4,9,10 Moreover, wire-free computations of FFR, such as quantitative flow ratio (QFR), have shown great accuracy in predicting the functional impact of intermediate stenoses.11-14 Thus, QFR is an alternative to FFR that does not require hyperemic drugs or any guidewire to evaluate the impact of the stenosis on coronary flow.
QFR analysis requires dedicated training and skills in reading coronary angiography. However, the ability of medical and paramedical users to correctly analyze QFR remains unknown. We aimed to validate whether or not QFR analysis could be performed by both medical and paramedical certified users. Therefore, we compared QFR values with conventional guidewire-based FFR as a reference using core laboratory analysis.
Methods
Study design. In this prospective, single-center study, we included 100 intermediate lesions in 67 consecutive patients with conventional FFR indicated for each lesion. In order to perform QFR analysis, angiographic images were acquired in accordance with the recommendations of the software manufacturer (Medis). QFR was performed blindly from FFR values, by non-physician operators with QFR certification, referred to as paramedical QFR. Their results were compared with QFR analyses performed by a physician with QFR certification, referred to as medical QFR. The latter was unaware of both FFR and QFR values obtained by non-physicians (Figure 1).
Study population. We included all consecutive patients with chronic coronary syndrome and intermediate coronary stenosis, defined as 30%-90% by visual estimation. We excluded patients with creatinine clearance <30 mL/min or suffering from atrial fibrillation, as well as patients <18 years old. True bifurcation lesions, defined as Medina 1-1-1, ostial lesions, stent restenosis, and coronary artery bypass grafts were also excluded. Enrolled patients gave informed consent for the present study.
Study protocol. All procedures were performed according to the following protocol. Patients received 5000 IU of unfractionated heparin and 2.5 mg of verapamil once a 6-Fr radial sheath was introduced. Coronary angiography was performed with standardized automatic contrast injection using the Acist system (flow of 3.5 mL/sec, volume of 8 mL, and pounds per square inch limitation of 300). At least 200 mg of nitrates were administered after the first coronary angiogram. Before FFR measurement, all suitable intermediate coronary stenoses were analyzed by QFR using a 6-Fr guiding catheter. The present study was approved by a national ethics committee in France, number 2020-002628-35, and was conducted in accordance with the Declaration of Helsinki.
QFR image acquisition. Angiograms were acquired in accordance with the QFR recommendations of the software manufacturer (Medis), and the vessel of interest was completely visualized without moving the table. Angiography was performed from 2 different angles based on the QFR recommendations, and slightly adapted to avoid vessel overlap. All images were recorded using 6-Fr catheters and anonymized for blinded analysis.
FFR measurements. FFR was measured as previously described.15 After intracoronary isosorbide dinitrate administration, a pressure-monitoring guidewire (Abbott Vascular) was placed distal to the coronary stenosis. FFR was calculated during steady-state hyperemia obtained after intracoronary adenosine bolus (100 µg for the right coronary artery and 200 µg for the left coronary artery).16 FFR was defined as the ratio between the mean arterial pressure distal to the stenosis and the mean aortic pressure at the tip of the guiding catheter. Occurrence of drift was excluded with systematic pullback measurements, and FFR measurements were repeated in cases of drift >.02. Wire position was systematically recorded for QFR analysis landmark. Angioplasty was left to operator discretion.
QFR core lab analysis. The coronary lumen was automatically delineated. In case of suboptimal angiographic image quality or vessel overlap, manual corrections were performed. QFR results were analyzed by 2 QFR-certified non-physicians from 2 different centers. In order to compare QFR with FFR at the same vessel location, the exact site of FFR measurement was indicated prior to the QFR analysis. The certified non-physicians were unaware of the FFR values. QFR analysis was also performed by a QFR-certified physician who was unaware of both the QFR analysis obtained by non-physicians and the FFR values.
Statistical analysis. Normal distribution was tested with the Shapiro-Wilk test. Descriptive statistics are reported as mean ± standard deviation, median with interquartile range (IQR), or count (%), as appropriate. Mean differences were analyzed with a paired t test if variables of interest were normally distributed, and with a Wilcoxon matched-pairs signed-rank test if variables of interest were not normally distributed. A P-value <.05 was considered statistically significant. Sensitivity, specificity, positive predictive value, negative predictive value, and accuracy were generated between physician QFR and FFR as well as between non-physician QFR and FFR. Correlations among variables were determined by calculating Pearson’s correlation coefficients according to the normal distributions of the variables of interest. Receiver-operator characteristic (ROC) curve was used to assess the diagnostic capability of QFR analyzed by a physician and non-physicians to detect hemodynamically significant stenoses (using FFR with a cut-off of 0.80 as the standard of reference). The area under the ROC curve was calculated between QFR calculated by a physician and FFR as well as between QFR calculated by non-physicians and FFR. All analyses were performed with Prism GraphPad, version 8.0 (GraphPad Software, Inc) and SPSS, version 26.0 (IBM, Inc).
Results
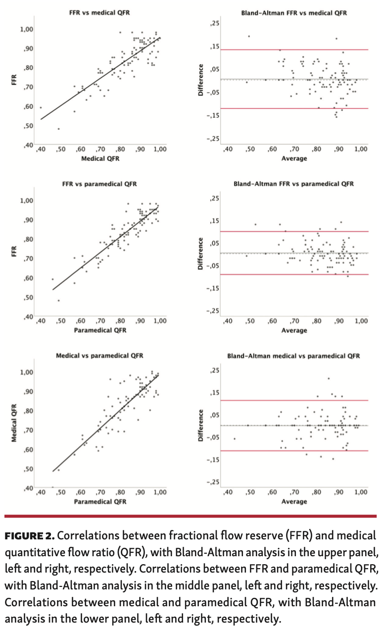
We prospectively enrolled 67 consecutive patients with 100 lesions, presenting with stable chronic coronary syndrome and intermediate coronary stenoses requiring FFR assessment. Table 1 and Table 2 describe the study population and the coronary lesion characteristics, respectively. Of note, right coronary artery lesions accounted for 33% (n = 33), and a mean diameter stenosis of 47 ± 14% was observed by visual estimation. The mean FFR, QFR performed by a physician, and QFR performed by non-physicians were 0.83 ± 0.10, 0.83 ± 0.12, and 0.83 ± 0.11, respectively. No statistically significant difference was observed for mean values of medical and paramedical QFR compared with mean FFR value (P=.80 and P=.83, respectively). With a P-value of .96, mean values of medical QFR and paramedical QFR were not statistically divergent. Discordancy rates between FFR and medical QFR, FFR and paramedical QFR, as well as between medical and paramedical QFR were 8% (n = 8), 10% (n = 10), and 10% (n = 10), respectively.
Pearson’s correlation coefficient indicated great correlation between FFR, medical QFR, and paramedical QFR. Both medical and paramedical QFR values were significantly correlated to FFR with correlation coefficients of 0.85 (IQR, 0.78-0.89) and 0.91 (IQR, 0.86-0.94), respectively. In the same way, a correlation coefficient of 0.89 (IQR, 0.83-0.92) was calculated between paramedical and medical QFR. Bland-Altman analysis showed great agreement between medical and paramedical QFRs, and no systematic bias was identified between FFR, medical QFR, and paramedical QFR (Figure 2).
ROC curves of medical and paramedical QFR compared to FFR with 0.80 as the cut-off value were computed (Figure 3). The areas under the ROC curves for medical and paramedical QFRs were 0.96 (IQR, 0.93-0.99) and 0.97 (IQR, 0.94-0.99), respectively. Medical QFR compared with FFR showed sensitivity of 91% (IQR, 78.8-96.4), specificity of 93% (IQR, 85.3-96.4), positive predictive value of 86% (IQR, 73.2-93.0), negative predictive value of 95% (IQR, 88.7-98.2), and accuracy of 92% (IQR, 84.8-96.5). Finally, paramedical QFR compared with FFR showed great sensitivity of 91% (IQR, 78.8-96.4), specificity of 90% (IQR, 81.7-94.3), positive predictive value of 81% (IQR, 68.4-89.5), negative predictive value of 95% (IQR, 88.4-98.1), and accuracy of 90% (IQR, 82.4-95.1).
Discussion
When used prior to angioplasty, QFR is a useful alternative to guidewire-based FFR, which is the gold standard to assess the hemodynamic relevance of an intermediate coronary lesion. Unlike FFR, QFR is only based on the coronary angiogram and does not require a pressure wire or vasodilator administration. However, QFR analysis requires prior training and the ability to correctly interpret the angiographic frames. Therefore, the present study sought to evaluate QFR performed by physician and non-physician certified users. We found, first of all, that both medical and paramedical QFRs were correlated to FFR. Moreover, both showed great performance and similar accuracy for identifying hemodynamically significant lesions—greater than 90%. These results were supported by the ROC analysis. The medical QFR results were also similar to those previously described, regarding correlation coefficient, Bland-Altman analysis, ROC curve analysis, sensitivity, and specificity.17
Finally, no bias was observed, and QFRs performed by a physician and by non-physicians were in agreement with guidewire-based FFR. Similarly, the Bland-Altman analysis did not suggest any bias between the medical and paramedical QFRs. Based on these results, paramedical QFR seems reliable and as accurate as medical QFR. Thus, paramedical QFR analysis may help improve multidisciplinary care and reduce physician workload, with better distribution of resources.
Study limitations. The present study must be interpreted according to its limitations. In particular, our study was performed at a single center and no clinical follow-up was performed. Moreover, even if their number was statistically non-significant, the discordant cases between medical and paramedical QFR were not detailed.
Conclusion
QFR performed by non-physicians is accurate for assessing the hemodynamic value of intermediate coronary stenoses. No bias was observed between paramedical and medical QFRs, supporting their equal reliability. These results may help reduce physician workload and improve the distribution of health resources.
Affiliations and Disclosures
From the 1Department of Cardiology, CHU Vaudois, Lausanne, Switzerland; 2Department of Cardiology, Arnault Tzanck Institute, Saint Laurent du Var, France; 3Department of Cardiology, Clinique Pasteur, Toulouse, France; 4Department of Cardiology, Clinique Axium, Aix en Provence, France; and 5the Lambe Institute for Translational Medicine and Curam, National University of Ireland, Galway and Saolta University Healthcare Group, Galway, Ireland.
Disclosure: The authors have completed and returned the ICMJE Form for Disclosure of Potential Conflicts of Interest. The authors report no financial relationships or conflicts of interest regarding the content herein.
Manuscript accepted May 10, 2021.
Address for correspondence: Julien Adjedj, MD, PhD, Department of Cardiology, Arnault Tzanck Institute, Saint Laurent du Var, France. Email: julienadjedj@hotmail.com
References
1. Gerber Y, Gibbons RJ, Weston SA, et al. Coronary disease surveillance in the community: angiography and revascularization. J Am Heart Assoc. 2020;9(7):e015231. doi:10.1161/JAHA.119.015231
2. Waldo SW, Gokhale M, O’Donnell CI, et al. Temporal trends in coronary angiography and percutaneous coronary intervention: insights from the VA Clinical Assessment, Reporting, and Tracking Program. JACC Cardiovasc Interv. 2018;11(9):879-888. doi:10.1016/j.jcin.2018.02.035
3. Knuuti J, Wijns W, Saraste A, et al. 2019 ESC guidelines for the diagnosis and management of chronic coronary syndromes. Eur Heart J. 2020;41(3):407-477. doi:10.1093/eurheartj/ehz425
4. Van Belle E, Rioufol G, Pouillot C, et al. Outcome impact of coronary revascularization strategy reclassification with fractional flow reserve at time of diagnostic angiography: insights from a large French multicenter fractional flow reserve registry. Circulation. 2014;129(2):173-185. doi:10.1161/CIRCULATIONAHA.113.006646
5. Cesaro A, Gragnano F, Di Girolamo D, et al. Functional assessment of coronary stenosis: an overview of available techniques. Is quantitative flow ratio a step to the future? Expert Rev Cardiovasc Ther. 2018;16(12):951-962. doi:10.1080/14779072.2018.1540303
6. Pijls NH, van Schaardenburgh P, Manoharan G, et al. Percutaneous coronary intervention of functionally nonsignificant stenosis: 5-year follow-up of the DEFER study. J Am Coll Cardiol. 2007;49(21):2105-2111. doi:10.1016/j.jacc.2007.01.087
7. Lee JM, Jung JH, Hwang D, et al. Coronary flow reserve and microcirculatory resistance in patients with intermediate coronary stenosis. J Am Coll Cardiol. 2016;67(10):1158-1169. doi:10.1016/j.jacc.2015.12.053
8. De Bruyne B, Oldroyd KG, Pijls NHJ. Microvascular (dys)function and clinical outcome in stable coronary disease. J Am Coll Cardiol. 2016;67(10):1170-1172. doi:10.1016/j.jacc.2015.11.066
9. Xaplanteris P, Fournier S, Pijls NHJ, et al. Five-year outcomes with PCI guided by fractional flow reserve. N Engl J Med. 2018;379(3):250-259. doi:10.1056/NEJMoa1803538
10. Tonino PA, De Bruyne B, Pijls NH, et al. Fractional flow reserve versus angiography for guiding percutaneous coronary intervention. N Engl J Med. 2009;360(3):213-224. doi:10.1056/NEJMoa0807611
11. Westra J, Tu S, Winther S, et al. Evaluation of coronary artery stenosis by quantitative flow ratio during invasive coronary angiography: the WIFI II study (Wire-Free Functional Imaging II). Circ Cardiovasc Imaging. 2018;11(3):e007107. doi:10.1161/CIRCIMAGING.117.007107
12. Westra J, Andersen BK, Campo G, et al. Diagnostic performance of in-procedure angiography-derived quantitative flow reserve compared to pressure-derived fractional flow reserve: the FAVOR II Europe-Japan study. J Am Heart Assoc. 2018;7(14):e009603. Epub 2018 Jul 6. doi:10.1161/JAHA.118.009603
13. Hwang D, Choi KH, Lee JM, et al. Diagnostic agreement of quantitative flow ratio with fractional flow reserve and instantaneous wave-free ratio. J Am Heart Assoc. 2019;8(8):e011605. doi:10.1161/JAHA.118.011605
14. Rubimbura V, Guillon B, Fournier S, et al. Quantitative flow ratio virtual stenting and post stenting correlations to post stenting fractional flow reserve measurements from the DOCTORS (Does Optical Coherence Tomography Optimize Results of Stenting) study population. Catheter Cardiovasc Interv. 2020;96(6):1145-1153. doi:10.1002/ccd.28615
15. Pijls NH, De Bruyne B, Peels K, et al. Measurement of fractional flow reserve to assess the functional severity of coronary-artery stenoses. N Engl J Med. 1996;334(26):1703-1708. doi:10.1056/NEJM199606273342604
16. Adjedj J, Toth GG, Johnson NP, et al. Intracoronary adenosine: dose-response relationship with hyperemia. JACC Cardiovasc Interv. 2015;8(11):1422-1430. doi:10.1016/j.jcin.2015.04.028
17. Xu B, Tu S, Qiao S, et al. Diagnostic accuracy of angiography-based quantitative flow ratio measurements for online assessment of coronary stenosis. J Am Coll Cardiol. 2017;70(25):3077-3087. doi:10.1016/j.jacc.2017.10.035
Related Articles
- Angiographic Lesion Discordance in Women Presenting With Ischemic Heart Disease: Comparison of Visual Assessment, Quantitative Coronary Angiography, and Quantitative Flow Ratio
- Combined Coronary Orbital Atherectomy and Intravascular Lithotripsy for the Treatment of Severely Calcified Coronary Stenoses: The First Case Series
- The Impact of Plaque Rupture on Mismatch Between Intravascular Ultrasound Minimal Lumen Area and Fractional Flow Reserve Measured in an Angiographically Borderline Left Main With Complex Left Anterior Descending Involvement
- Two-Year Clinical Outcomes of the REVELATION Study: Sustained Safety and Feasibility of Paclitaxel Coated Balloon Angioplasty Versus Drug-Eluting Stent in Acute Myocardial Infarction
- Paclitaxel Drug-Coated Balloon for the Treatment of De Novo Small-Vessel and Restenotic Coronary Artery Lesions: 12-Month Results of the Prospective, Multicenter, Single-Arm PREVAIL Study
- Paclitaxel Drug-Coated Balloon After Bare-Metal Stent Implantation, an Alternative Treatment to Drug-Eluting Stent in High Bleeding Risk Patients (The Panelux Trial)
- Comparative Effectiveness Study of Drug Eluting and Bare Metal Peripheral Artery Stents in Endovascular Femoropopliteal Artery Revascularization


