Outcomes After Early Postoperative Myocardial Infarction Due to Graft Failure in Patients Undergoing Coronary Artery Bypass Grafting
Abstract
Background. Early graft failure (EGF) after coronary artery bypass grafting (CABG) occurs in up to 12% of grafts, but is often clinically unapparent. EGF may result in perioperative myocardial infarction with consequently increased mortality. The aim of the present study was to analyze the incidence of clinically apparent EGF in patients undergoing CABG and the influence on mortality. Methods. We analyzed outcomes of consecutive patients undergoing CABG from January 2015 to December 2018 with respect to postoperative emergency coronary angiography (CAG) due to suspected EGF and 30-day mortality. Patients with CAG-documented EGF were matched to patients without EGF to examine predictors of mortality. Results. The analysis included 5638 patients undergoing CABG. Eighty-six patients (1.5%) underwent emergency CAG due to suspected EGF. Clinically apparent EGF was observed in 61 of these patients (70.9%), whereas 14 (16.3%) had a culprit lesion in a native coronary artery. The majority of patients (n = 45; 52.3%) were treated with percutaneous coronary intervention and 31 (36%) underwent re-do CABG. The remaining patients were treated conservatively. The 30-day mortality rate of suspected EGF patients undergoing CAG was 22.4% (n = 19), which was higher than the mortality rate of 2.8% overall (P<.001); this remained higher after matching the EGF patients with the control group (11 [20.4%] vs 2 [4.0%]; P=.02). Conclusion. Emergency CAG after CABG is rare and is primarily carried out in patients with EGF. The 30-day mortality rate of these patients is high, and EGF is an independent predictor of mortality. Perioperative CAG with subsequent treatment is mandatory in these patients.
J INVASIVE CARDIOL 2023;35(4):E161-E168. Epub 2023 February 24.
Key words: coronary artery bypass grafting, early graft failure, perioperative mortality, perioperative myocardial infarction
Postoperative early graft failure (EGF) following coronary artery bypass grafting (CABG) may result in acute postoperative myocardial infarction (PMI). The incidence of EGF is thought to be as high as 12%, but only up to 3% are clinically apparent.1-3 PMI is associated with increased in-hospital mortality in patients undergoing isolated CABG.1,4,5 Published data demonstrate that expeditious management of EGF results in mid-term survival similar to that of non-ischemic patients in hospital survivors.5 In this context, re-revascularization with emergency percutaneous coronary intervention (PCI) may limit the extent of myocardial cellular damage compared with a surgical treatment strategy in patients with acute PMI due to EGF.3
The major challenge is to identify patients with EGF and patients at risk of EGF. Given the low specificity of changes on the electrocardiogram (ECG) and echocardiographic wall-motion abnormalities during the postoperative course, the overall clinical picture, including hemodynamical stability and changes in biomarker levels, influences whether EGF is suspected and whether the decision for emergency coronary angiography (CAG) should be made.
There are different definitions of PMI based on changes in CABG-related biomarker.6,7 Overall, cardiac troponin (cTn) is a more sensitive and specific biomarker for myocardial necrosis than creatine kinase MB fragment (CK-MB).8,9 However, cTn-based PMI definitions are arbitrary, and the relationship between biomarker elevations after revascularization and mortality is still unclear. Studies suggest that only large increases in myocardial biomarker levels after CABG are clinically important,10-12 whereas other data demonstrate that even modest CK-MB elevations after CABG are associated with increased mortality.13 The 30-day mortality is increased in patients with a post-CABG level of CK-MB >5 times the upper limit of normal (ULN) and there is an exponential rise in mortality with a >40-fold increase in the CK-MB ULN.14
Independent of the biomarker-based definition of PMI, several procedural aspects, such as myocardial mass, subvalvular myectomy in patients with concomitant aortic valve replacement, or the duration of cross-clamping and use of the heart-lung machine, might contribute to biomarker changes. These confounders make it even more difficult to interpret postoperative biomarker changes. Therefore, the aim of the present study was to examine potential predictors of EGF after CABG and the incidence and outcomes of patients with EGF compared with those of patients without EGF.
Methods
General Information. All major cardiac procedures performed in Germany are legally required to be registered at the Institute for Quality Assurance and Transparency in Healthcare (IQTIG), an independent governmental organization, as part of a mandatory quality-control program. The data are routinely transferred to the IQTIG using standardized electronic data entry. The data quality is controlled at different levels, including on-site visits and structured interviews at the institutions. The underlying control mechanisms comprise testing for plausibility, completeness, concordance, and accuracy using a well-validated system. The data-validation procedures are documented in the yearly publication of the Federal Joint Committee (Gemeinsamer Bundesausschuss) in charge of quality control of healthcare in cooperation with the health insurance companies in Germany. The dataset includes parameters such as baseline clinical characteristics, comorbidities, procedural and postprocedural complications, and 30-day outcome.
Study population. From January 2015 until December 2018, a total of 5638 consecutive patients undergoing CABG at the Kerckhoff Heart and Thorax Center, Bad Nauheim, and at the University Hospital of the Wolfgang-von-Goethe University, Frankfurt am Main, Germany, were included into the study. Patients undergoing urgent CAG with suspected perioperative EGF based on biomarker changes, ECG changes, suspected echocardiographic wall-motion abnormalities, and/or hemodynamic instability were compared with patients without postoperative CAG. To analyze the impact of EGF on mortality, patients with documented EGF during CAG were matched to a control derived from the all-comers dataset. The ethics boards of the Justus Liebig University of Giessen (affiliated with the Kerckhoff Heart Center) and the Wolfgang-von-Goethe-University of Frankfurt am Main, Germany approved the study (AZ 199/2016).
Laboratory assessment. Venous blood samples for routine laboratory measurements were taken prior to and directly after CABG and after 4 hours and 24 hours. Analyses for CK-MB were performed using a liquid immunoinhibition method (Cobas; Roche Diagnostics). The lower detection limit of this assay is 3 U/L and represents the lowest measurable CK-MB concentration that can be distinguished from zero. The ULN is 24 U/L.
Statistical analyses. All data for continuous variables are expressed as mean ± standard deviation or as median and interquartile range (IQR) as appropriate. Categorical variables are reported as numbers and percentages. After testing for normal distribution, values were compared by unpaired Student’s t test or by Mann-Whitney test as appropriate. Fisher’s exact test or the Chi-square test was used for categorical variables with nominal scales. Candidate variables for matching on the probability of EGF were selected by 2 experienced cardiologists (CL and AR) and grouped according to their clinical implications. As datasets were drawn from a German quality-control registry (IQTIG), the selection of variables was restricted to those that are assessed by the registry. Propensity score nearest-neighbor matching without replacement was performed using Stata’s psmatch2 module by Leuven and Sianesi (Stata14; Stata Corp).15 The detailed propensity score matching process is given in the Supplemental Materials; Tables S1-S3). For clinical endpoint analyses, the Kaplan-Meier method and log-rank test were applied. Univariate Cox regression analyses were performed with mortality as the outcome variable. The following univariate predictors were tested: age; sex; cardiovascular risk factors; coronary artery disease; prior MI; prior PCI; prior cardiac surgery; peripheral vascular disease; cerebrovascular disease; Society of Thoracic Surgeons and American Society of Anesthesiologists scores; New York Heart Association and Canadian Cardiovascular Society classifications; concomitant valve surgery; left ventricular ejection fraction; CK and CK-MB at baseline; postoperative CK and CK-MB; number of grafts; graft material; duration of surgery; clamp time; bypass time; perioperative stroke; postprocedural acute kidney injury; postoperative low cardiac output; and postoperative cardiopulmonary resuscitation (CPR). Univariate predictors with P-values ≤.05 were entered into multivariate Cox regression analysis. Multivariate Cox regression analysis was used to calculate hazard ratios. All statistical tests were performed 2-tailed, and a significance level of P<.05 was considered to indicate statistical significance. For all statistical analyses, except the propensity score matching, the statistical software SPSS, version 22.0 (Statistical Package for the Social Sciences; IBM) for Windows was used.
Results
Clinical and procedural characteristics of all patients included in the study are shown in Table 1 and Table 2. The overall incidence of patients undergoing emergency CAG after CABG due to suspected EGF was 1.5% (86/5638). Patients with suspected EGF were older (P<.01) and more often had diabetes (P<.001), peripheral vascular disease (P<.01), and cerebral vascular disease (P<.001). Furthermore, these patients tended to more often have prior cardiac surgery (P=.05) and they more often underwent urgent CABG (P<.001). The duration of surgery, bypass time, and aortic clamp time were longer in patients with suspected EGF (all P<.001). These patients received more grafts (mean 3.1 ± 1.2 vs 2.5 ± 0.9; P<.001), more often had venous grafts (P<.001), and more often had concomitant valve surgery (P<.001). Postoperatively, they more often showed a low cardiac output (P<.001) and a need for CPR (P<.001) and renal replacement therapy (P<.001). The mortality rate was significantly higher in patients with suspected EGF compared with other CABG patients (19 [22.1%] vs 129 [2.3%]; P<.001). However, there was no difference in the 30-day and 1-year mortality rates between the 3 treatment groups (PCI, re-do CABG, or conservative treatment) (Table 3).
Table 2 shows angiographic findings and decision-making for CAG in the patients with suspected EGF. ECG changes were a reason for emergency CAG in only a few patients. In contrast, more than half of the patients underwent CAG due to changes in biomarker levels. Over 70% of the patients who underwent CAG showed a graft-related culprit lesion, whereas 16.3% had a culprit lesion in a native coronary artery. More than one-half of the patients were treated by PCI whereas one-third underwent re-do CABG. The remaining patients were treated conservatively.
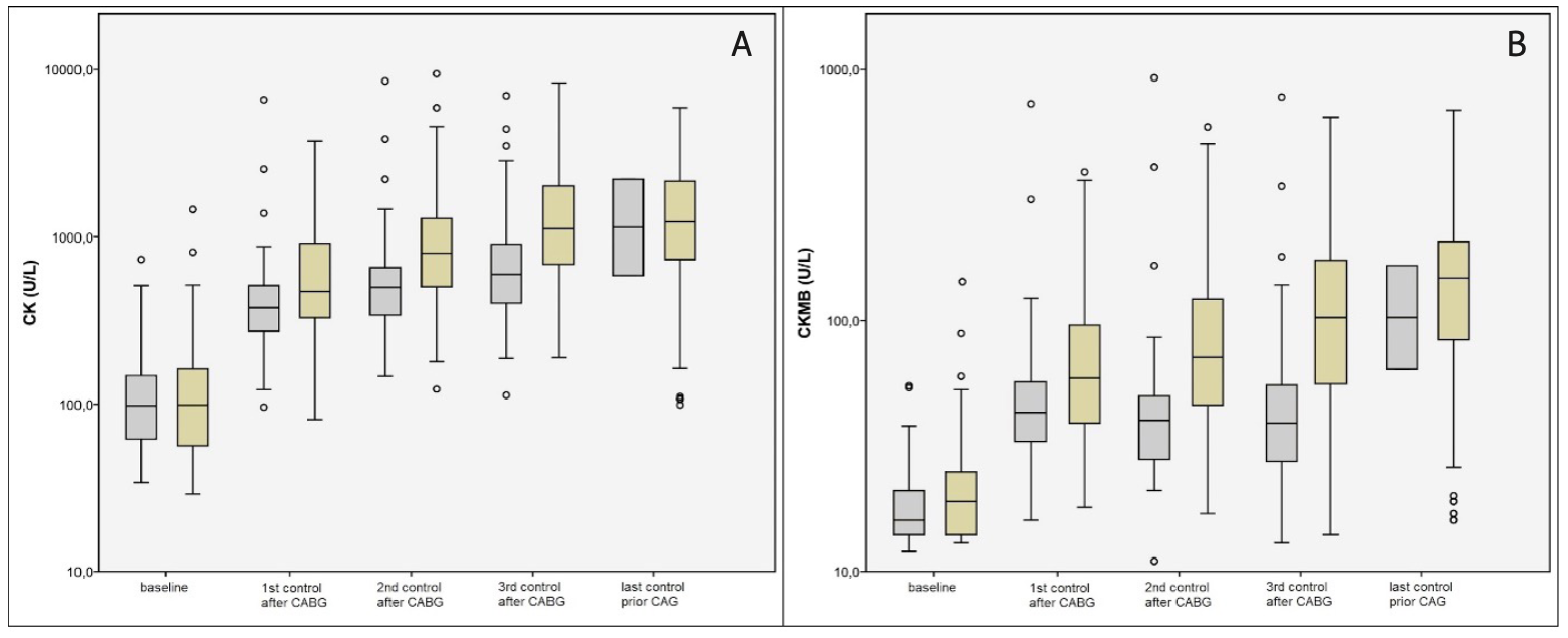
The release kinetics of CK and CK-MB at the prespecified time points is shown in Figure 1. In patients with EGF, plasma levels of CK (median 474.0 U/L [IQR, 321.0-927.0] vs 374.0 U/L [IQR, 262.8-513.8]; P=.01) and CK-MB (median 59.0 U/L [IQR, 38.5-96.0] vs 43.0 U/L [IQR, 32.8-58.3]; P<.01) were already significantly elevated at the first time point after CABG. The levels of CK-MB were higher at all prespecified time points after CABG in suspected EGF patients compared with controls (Table 4).
According to the recommendation of the Society for Cardiovascular Angiography and Interventions (SCAI), a CK-MB increase of ≥10 fold would identify only a minority of patients with EGF as having postoperative MI (only 5 out of 61 patients [8.1%] at the third control [48 hours] after CABG). Applying a post-CABG CK-MB increase of ≥5 fold would identify 26 patients (43%) with EGF-related postoperative MI at the third time point. The CK/CK-MB ratio ≥10% would identify 64%, 36%, and 43% of patients for having EGF-related postoperative MI with regard to the 3 different time points.
After matching the 2 cohorts, there were no significant differences in the baseline and procedural characteristics (Supplemental Table S4 and Supplemental Table S5) except for sex (matched EGF male 70.4% vs matched control male 88.0%; P=.03) and urgent CABG (matched EGF 29.6% vs matched control 50.0%; P<.001). Venous grafts were used more often in patients with EGF (P<.01), they more often had postoperative low cardiac output (P=.03) and acute kidney injury with renal replacement therapy (P=.04), and they tended to have longer hospitalization. The 30-day mortality rate of the EGF patients was significantly higher than that of the matched controls (P=.02) (Figure 2). In the multivariate analysis, only clinically apparent EGF, postoperative low cardiac output, CK level at baseline, and postoperative CK and CK-MB levels remained independent variables (Table 5).
Discussion
Patients with EGF and subsequent postoperative MI after CABG have a worse outcome than patients without this complication.1,4,5,14,16 In the present study, we examined the incidence and outcome of clinically apparent EGF in consecutive patients undergoing CABG. The most important findings are that: (1) clinically apparent EGF is rare; (2) patients with EGF have higher postoperative CK-MB levels than controls; (3) cerebrovascular disease, number of grafts, and duration of surgery are independent predictors of clinically apparent EGF; and (4) clinically apparent EGF is an independent predictor of mortality within 30 days after CABG.
The identification of EGF after CABG is challenging. The presence of clinical signs of EGF-related postoperative MI is not easy to detect in patients undergoing CABG, all of whom experience chest pain due to the trauma of surgery. Postoperative ECGs might be a helpful diagnostic tool, but often show rather unspecific changes, eg, new bundle-branch blocks or repolarization abnormalities. In this study, only a minority of patients underwent emergency CAGs due to ECG changes, which were primarily a result of malign rhythm disorders with the need for defibrillation. These findings underline the results of Jakobsen et al, who demonstrate that ECG changes were observed in only 1 out of 5 cases with EGF.17
Echocardiography is another important means of identifying EGF. The visual detection of new loss of viable myocardium or new regional wall-motion abnormality is consistent with an ischemic etiology due to EGF. In this context, the practicability and utility of transthoracic echocardiography depends on various conditions, including patient-related factors such as obesity and chronic lung diseases as well as observer variability. In the present study, echocardiography played a role in decision making in only 15% of patients undergoing emergency CAG. Transesophageal echocardiography may serve as an alternative to overcome the above-mentioned shortcomings of transthoracic echocardiography during the acute postoperative phase; however, De Mey et al did not find any association between new regional wall-motion abnormalities detected by transesophageal echocardiography and EGF.19
In the absence of clear symptoms, electrocardiographic changes, and unclear echocardiographic findings, biomarkers can play a central role in distinguishing between patients with and without postoperative MI. In our study, more than half of the patients were indicated for CAG as a result of changes in biomarker status. In routine clinical practice, it is difficult to assess the precise time point of the onset of myocardial ischemia in patients with EGF. Therefore, pinpointing the time of the release of biomarkers in the early postoperative phase is mandatory. Our study showed that CK-MB release occurred directly after the operation at the first postoperative time point (directly after CABG), with a significant difference between patients with and without clinically apparent EGF. Nevertheless, it is difficult to clearly discriminate between postoperative MI (due to EGF or an acute coronary event involving the native coronary arteries) and myocardial injury secondary to the operation based solely on biomarker elevation. Non-graft-related ischemia can be related to inappropriate myocardial protection, excessive surgical manipulations, and air or plaque embolization,20 whereas graft-related postoperative MI is associated with early graft thrombosis, anastomotic stenosis, bypass kinks, overstretching or tension, significant spasm, or incomplete revascularization.21,22 Although both pathologies influence the outcome, it is important to differentiate between these entities given that graft-related PMI can be treated via re-revascularization. Immediate re-revascularization is even more important because it stops ongoing myocardial cell damage and might prevent the loss of viable myocardium. The revascularization strategy depends on different factors, most importantly coronary anatomy, culprit lesion location, and hemodynamic status.
Post-CABG myocardial ischemia can be suspected based on poor hemodynamic status, including low cardiac output with the need for inotrope support and/or complex rhythm disorders like ventricular tachycardia. We observed low cardiac output as the major driver for emergency CAG in more than 20% of the patients. Emergency invasive diagnostics are necessary in such cases to clarify whether EGF is the underlying cause or not. More than 60% of patients with postoperative MI after CABG have EGF, whereas up to one-third have a negative angiographic finding.17 These numbers are consistent with our observation that 70.9% of the patients undergoing emergency CAG after CABG were found to have EGF.
Another major finding of the present study is the higher mortality rate of EGF patients. Even after matching for patient- and procedure-related factors, the outcomes of EGF patients were still worse compared with those of the matched controls. We were able to demonstrate that the duration of surgery, the presence of cerebrovascular disease, the number of grafts, and the Canadian Cardiovascular Society classification are independent predictors of EGF, which should be considered when the decision-making process for emergency CAG is prolonged.
These results have important clinical implications. The ability to interpret the combination of biomarker increase in combination with patient symptoms, ECG, and imaging results is important for early diagnosis, individual risk stratification, and individualized therapy. The acceleration of the process of emergency CAG in patients with suspected EGF is of tremendous importance to provide early revascularization, preserve left ventricular function, and improve outcome in these high-risk patients. The impact of CAG timing after CABG should be addressed in further studies to clarify the prognostic implications.
Study limitations. Some limitations to this study must be considered. Although the data were collected prospectively, this is a retrospective analysis. Investigation on periprocedural MI is limited by the CK-MB measurement and small event count, thus limiting the sample size. Unfortunately, 1-year follow-up data were only available for 55% of the patients with suspected early graft failure. Our analysis, however, reflects “real-world” patients enrolled in an all-comers fashion rather than a highly selected trial population, which—together with the large number of patients—strengthens the external validity.
Conclusion
Emergency CAG after CABG is rare and is primarily carried out in patients with EGF. The 30-day mortality of patients with EGF is high. Rapid perioperative CAG with subsequent treatment decision is mandatory in these patients.
Acknowledgments. We are grateful to the William G. Kerckhoff-Stiftung, Bad Nauheim, Germany, for research funding. We thank Elizabeth Martinson, PhD, from the KHFI Editorial Office for her editorial assistance.
Affiliations and Disclosures
*Joint senior authors.
From the 1Department of Cardiac Surgery, Kerckhoff Heart Center, Bad Nauheim, Germany, Campus-Kerckhoff, Justus Liebig University Giessen, Germany; 2Department of Cardiology, Kerckhoff Heart Center, Bad Nauheim, Germany, Campus-Kerckhoff, Justus Liebig University Giessen, Germany; 3DZHK (German Centre for Cardiovascular Research), Partner Site Rhine-Main, Frankfurt am Main, Germany; 4Department of Cardiology and Angiology, Medical Clinic I, University Hospital of the Justus Liebig University, Giessen, Germany; 5Department of Cardiac Surgery, University Hospital of the Goethe University, Frankfurt/Main, Germany; and 6Department of Cardiology, University Hospital of the Goethe University, Frankfurt/Main, Germany.
Funded in part by the William G. Kerckhoff-Stiftung, Bad Nauheim, Germany.
Disclosure: The authors have completed and returned the ICMJE Form for Disclosure of Potential Conflicts of Interest. The authors report no conflicts of interest regarding the content herein.
Manuscript accepted November 8, 2022.
Address for correspondence: Mani Arsalan, MD, University Hospital Frankfurt, Department of Cardiac Surgery, Theodor-Stern-Kai 7, 60590 Frankfurt, Germany. Email: mani.arsalan@kgu.de
References
1. Gaudino M, Nesta M, Burzotta F, Trani C, Coluccia V, Crea F, Massetti M. Results of emergency postoperative re-angiography after cardiac surgery procedures. Ann Thorac Surg. 2015;99(5):1576-1582. Epub 2015 Mar 17. doi:10.1016/j.athoracsur.2014.12.063
2. Zhao DX, Leacche M, Balaguer JM, et al. Routine intraoperative completion angiography after coronary artery bypass grafting and 1-stop hybrid revascularization results from a fully integrated hybrid catheterization laboratory/operating room. J Am Coll Cardiol. 2009;53(3):232-241. doi:10.1016/j.jacc.2008.10.011
3. Thielmann M, Massoudy P, Jaeger BR, et al. Emergency re-revascularization with percutaneous coronary intervention, reoperation, or conservative treatment in patients with acute perioperative graft failure following coronary artery bypass surgery. Eur J Cardiothorac Surg. 2006;30(1):117-125. Epub 2006 May 24. doi:10.1016/j.ejcts.2006.03.062
4. Thielmann M, Sharma V, Al-Attar N, et al. ESC Joint working groups on cardiovascular surgery and the cellular biology of the heart position paper: perioperative myocardial injury and infarction in patients undergoing coronary artery bypass graft surgery. Eur Heart J. 2017;38(31):2392-2407. doi:10.1093/eurheartj/ehx383
5. Davierwala PM, Verevkin A, Leontyev S, Misfeld M, Borger MA, Mohr FW. Impact of expeditious management of perioperative myocardial ischemia in patients undergoing isolated coronary artery bypass surgery. Circulation. 2013;128(11 Suppl 1):S226-S234. doi:10.1161/CIRCULATIONAHA.112.000347
6. Thygesen K, Alpert JS, Jaffe AS, Chaitmann BR, Bax JJ, Morrow DA, White HD. The executive group on behalf of the Joint European Society of Cardiology (ESC)/American College of Cardiology (ACC)/American Heart Association (AHA)/World Heart Federation (WHF) Task Force for the Universal Definition of Myocardial Infarction. J Am Coll Cardiol. 2018;72(18):2231-2264. Epub 2018 Aug 25. doi:10.1016/j.jacc.2018.08.1038
7. Moussa ID, Klein LW, Shah B, et al. Consideration of a new definition of clinically relevant myocardial infarction after coronary revascularization: an expert consensus document from the Society for Cardiovascular Angiography and Interventions (SCAI). J Am Coll Cardiol. 2013;62(17):1563-1570. doi:10.1016/j.jacc.2013.08.720
8. Liebetrau C, Möllmann H, Nef H, et al. Release kinetics of cardiac biomarkers in patients undergoing transcoronary ablation of septal hypertrophy. Clin Chem. 2012;58(6):1049-1054. Epub 2012 Apr 13. doi:10.1373/clinchem.2011.178129
9. Idris H, Lo S, Shugman IM, et al. Varying definitions of periprocedural myocardial infarction alter event rates and prognostic implications. J Am Heart Assoc. 2014;3(6):e001086. doi:10.1161/JAHA.114.001086
10. Paparella D, Cappabianca G, Visicchio G, et al. Cardiac troponin I release after coronary artery bypass grafting operation: effects on operative and midterm survival. Ann Thorac Surg. 2005;80(5):1758-1764. doi:10.1016/j.athoracsur.2005.04.040
11. Ramsay J, Shernan S, Fitch J, et al. Increased creatine kinase MB level predicts postoperative mortality after cardiac surgery independent of new Q waves. J Thorac Cardiovasc Surg. 2005;129(2):300-306. doi:10.1016/j.jtcvs.2004.06.005
12. Klatte K, Chaitman BR, Theroux P, et al. Increased mortality after coronary artery bypass graft surgery is associated with increased levels of postoperative creatine kinase-myocardial band isoenzyme release: results from the GUARDIAN trial. J Am Coll Cardiol. 2001;38(4):1070-1077. doi:10.1016/s0735-1097(01)01481-4
13. Costa MA, Carere RG, Lichtenstein SV, et al. Incidence, predictors, and significance of abnormal cardiac enzyme rise in patients treated with bypass surgery in the arterial revascularization therapies study (ARTS). Circulation. 2001;104(22):2689-2693. doi:10.1161/hc4701.099789
14. Domanski MJ, Mahaffey K, Hasselblad V, et al. Association of myocardial enzyme elevation and survival following coronary artery bypass graft surgery. JAMA. 2011;305(6):585-591. doi: 0.1001/jama.2011.99
15. Leuven E, Sianesi B. (2003). PSMATCH2: Stata module to perform full Mahalanobis and propensity score matching, common support graphing, and covariate imbalance testing. Accessed February 6, 2023. http://ideas.repec.org/c/boc/bocode/s432001.html
16. Sef D, Szavits-Nossan J, Predijevac M, et al. Management of perioperative myocardial ischemia after isolated coronary artery bypass graft surgery. Open Heart. 2019;6(1):e001027. eCollection 2019. doi:10.1136/openhrt-2019-001027
17. Jakobsen HL, Kjaergard HK. Severe impairment of graft flow without electrocardiographic changes during coronary artery bypass grafting. Scand Cardiovasc J. 1999;33(3):157-159. doi:10.1080/14017439950141786
18. Biancari F, Anttila V, Dell´Aquila AM, Airaksinen JKE, Brascia D. Control angiography for perioperative myocardial ischemia after coronary artery surgery: meta-analysis. J Cardiothorac Surg. 2018;13(1):24. doi:10.1186/s13019-018-0710-0
19. De Mey N, Couture P, Laflamme M, et al. Intraoperative changes in regional wall motion: can postoperative coronary artery bypass graft failure be predicted? J Cardiothorac Vasc Anesth. 2012;26(3):371-375. Epub 2012 Mar 28. doi:10.1053/j.jvca.2012.02.005
20. Raabe DS Jr, Morise A, Sbarbaro JA, Gundel WD. Diagnostic criteria for acute myocardial infarction in patients undergoing coronary arterybypass surgery. Circulation. 1980;62(4):869-878. doi:10.1161/01.cir.62.4.869
21. Rasmussen C, Thiis JJ, Clemmensen P, et al. Significance and management of early graft failure aftercoronary artery bypass grafting: feasibility and results of acute angiographyand re-re-vascularization. Eur J Cardiothorac Surg. 1997;12(6):847-852. doi:10.1016/s1010-7940(97)00268-6
22 Holmvang L, Jurlander B, Rasmussen C, Thiis JJ, Grande P, Clemmensen P. Use of biochemical markers of infarction for diagnosing perioperativemyocardial infarction and early graft occlusion after coronary arterybypass surgery. Chest. 2002;121(1):103-111. doi: 10.1378/chest.121.1.103
---
Supplemental Materials
Detailed propensity score matching process. Propensity score nearest-neighbor matching without replacement was performed using Stata’s psmatch2 module by Leuven and Sianesi (Stata 14; Stata Corp).15 Candidate variables for matching based on the probability of early graft failure (EGF) were selected by 2 experienced cardiologists (CL and AR) and grouped according to their clinical implications. As datasets were drawn from a German quality control registry (IQTIG), selection of variables was restricted to those listed within the registry.
The following variables were selected:
• Patient related: age and sex.
• Symptoms and signs: New York Heart Association and Canadian Cardiovascular Society (CCS) classifications.
• Atherosclerotic risk factors: diabetes (others are not part of IQTIG).
• Atherosclerotic burden: coronary artery disease, number of vessels, prior myocardial infarction, prior surgery, peripheral atherosclerotic disease, cerebrovascular disease.
• Functional: left ventricular ejection fraction.
• Surgery related: duration of surgery, clamp time, bypass time.
• Graft related: number of grafts, graft material (venous, left internal mammary artery, right internal mammary artery, arteria radialis sinistra).
In a first step, the predictive power of the candidate variables on EGF were investigated by using univariate logistic regression analysis for each candidate variable. Likelihood ratios (LRs) and Wald statistics were recorded for each variable (Supplemental Table S1). To avoid inflation of collinearity in each group, only the variable with highest LR in each group was considered for propensity score matching.
In a second step, the remaining candidate variables were included in a multivariate logistic regression model by forward selection. Patient-related variables and left ventricular ejection fractions were all non-significant. CCS classification was the only clinical indicator with a significant effect on EGF. Duration of surgery, presence of cardiovascular disease, and number of grafts were the candidate variables with the highest LRs in the other groups and were therefore included in the multivariate logistic regression, which proved all included candidate variables to be independently predictive of EGF. The fit model had a LR of 63.79 (P<.001) (Supplemental Table S2).
Propensity score matching for EGF was therefore performed based on the variables duration of surgery, cardiovascular disease, number of grafts, and CCS classification. To validate the effectiveness of the matching procedure, standardized differences were computed with Stata’s pstest module before and after matching, which showed significant reduction of bias for all aforementioned matching variables (Supplemental Table S3).


