Long-Term Survival After Alcohol Septal Ablation for Hypertrophic Obstructive Cardiomyopathy: A 16-Year Experience
Abstract
Abstract
Background. Alcohol septal ablation (ASA) is an accepted treatment for medically refractory hypertrophic obstructive cardiomyopathy (HOCM). The procedural and medium-term outcomes have been reassuring. The iatrogenic targeted septal infarction has raised theoretical concerns about risk of arrhythmia and long-term survival. In this study, we describe the long-term survival in a large cohort of patients from a single referral center and the iterative improvement in procedural technique since its inception. Methods. This cohort includes 580 consecutive patients who underwent 664 ASA procedures between the years 1999 and 2015. Procedural details and outcomes are described. Long-term survival is compared with expected survival of demographically similar controls. Results. Fifty-four percent were women and 85% were Caucasian. At the time of ablation, mean age was 57 ± 15 years, septal thickness was 2.1 ± 0.5 cm, and left ventricular outflow tract (LVOT) gradient was 72 ± 40 mm Hg at rest and 102 ± 58 mm Hg with Valsalva provocation. Mean follow-up was 8.0 ± 4.3 years. LVOT gradient reduction >50% was achieved in 94% of patients with reduction in New York Heart Association functional class scores and increase in exercise treadmill duration. Procedural mortality was 0.9%. Over the 16-year period, survival estimates at 1, 5, 10, and 15 years were 98%, 92%, 84%, and 81%, respectively, which are comparable to demographically similar controls. The standardized mortality ratio was 0.84 (95% confidence interval, 0.66-1.06); P=.09. Conclusions. ASA appears to be a safe and effective treatment for symptomatic HOCM refractory to medical therapy with long-term survival comparable to a demographically similar United States population.
J INVASIVE CARDIOL 2021;33(10):E769-E776. Epub 2021 September 23.
Key words: alcohol septal ablation, hypertrophic obstructive cardiomyopathy, outcomes, septal reduction
Introduction
Hypertrophic cardiomyopathy (HCM) is the most common inherited cardiac disorder, with an estimated prevalence of 1 in 500.1 The obstructive variant, hypertrophic obstructive cardiomyopathy (HOCM), has a more malignant natural history and is characterized by left ventricular outflow tract (LVOT) obstruction due to the asymmetric septal hypertrophy and systolic anterior motion (SAM) of the mitral valve.2 Approximately two-thirds of patients demonstrate LVOT obstruction either at rest or with physiologic provocation.3,4 LVOT obstruction is an important predictor of symptoms and prognosis. Relief of LVOT obstruction with medical therapy, surgical myectomy, or alcohol septal ablation (ASA) improves symptoms and has demonstrated long-term survival outcomes similar to patients with non-obstructive HCM.5,6
In symptomatic patients with HOCM, medical management with maximally tolerated doses of beta-blockers and/or non-dihydropyridine calcium-channel blockers or disopyramide, is the recommended first-line therapy. Septal reduction therapy either by surgical septal myectomy or ASA should be considered in patients with medically refractory symptoms or in patients intolerant to medical therapy.3 Expert society practice guidelines recommend septal reduction therapies to be performed at experienced centers by experienced operators, defined as individuals with a cumulative case volume of at least 20 procedures or an individual operator working in a comprehensive clinical program with a cumulative total of at least 50 procedures.3,7
Surgical septal myectomy for HOCM was introduced by Morrow in the 1960s.8 The outcomes of myectomy when performed at select experienced centers are excellent.9-12 However, when myectomy is performed at lower-volume centers, it is associated with significant operative morbidity and mortality.13
ASA was initially described by Sigwart in a small number of patients in Europe in 1995 as a percutaneous minimally invasive approach to septal reduction.14,15 In 1998, Spencer et al reported a larger series of patients at Baylor College of Medicine16 and then at the Medical University of South Carolina in 2002.17 The steep learning curve of the new procedure resulted in high rates of procedural complications and complete heart block requiring permanent pacemaker implantation.15,18 Subsequently, advances in comprehensive patient selection, preoperative and postoperative care, and technical procedural advances have led to significant reductions in procedural complications and pacemaker requirement.10,19,20
Our group has previously published procedural, short-term, and medium-term clinical outcomes with improvements in New York Heart Association (NYHA) functional class, Canadian Cardiovascular Society angina score, exercise time and duration, and LVOT gradients.17,18 The aim of this study is to describe the longest-ever recorded survival outcomes after ASA and our 20-year iterative improvement in procedural technique in the era of contemporary ASA at a high-volume center.
Methods
Patient selection. Patients in this cohort were consecutively enrolled from December 1999 to May 2015 and final follow-up was obtained in June 2016. Patients referred to our institution for septal reduction therapy underwent comprehensive multidisciplinary evaluation including clinical assessment followed by electrocardiography, exercise treadmill testing, 2-dimensional and Doppler echocardiography, cardiac catheterization, and genetic testing and cardiac magnetic resonance imaging when indicated. There was a significant bias favoring ASA due to the nature of referrals; nevertheless, both ASA and surgical myectomy were discussed with patients in detail and a shared decision was made based on operative risks and patient preference. Patients with additional indications for surgery (valvular heart disease, subaortic membrane, anomalous insertion of papillary muscles, and coronary artery disease requiring bypass grafting) were referred for myectomy. Only patients who underwent ASA are included in this study.
Symptomatic patients with LVOT gradients ≥30 mm Hg at rest or ≥50 mm Hg with Valsalva provocation, anterior septal thickness ≥1.5 cm, and conducive septal perforator artery anatomy were offered ASA. Symptoms included dyspnea (NYHA class II-IV), angina, or unexplained syncope despite maximally tolerated medical therapy. After 2011, patient selection reflected the updated expert society practice guidelines.3 The study protocol was approved by the institutional review board. For the patient who was 13 years old, procedural and study consent were obtained from the parents.
Procedural details. The procedural details of ASA have been well described previously.16 Briefly, coronary angiography is performed to determine septal perforator artery anatomy. A pigtail catheter is then placed into the left ventricle for continuous LVOT gradient measurement. A temporary pacemaker is placed into the right ventricle prior to ablation in patients without pre-existing pacing-capable devices. After systemic heparin therapy, the septal perforator branch supplying the basal septum is cannulated with a balloon catheter. After the target area of septal myocardium is confirmed by contrast-enhanced echocardiography, pure ethanol is injected through the distal lumen of the inflated balloon catheter to induce a localized targeted infarction of the basal septum. Procedural success is defined as an acute reduction in LVOT gradient by at least 50% from baseline. Additional septal arteries may be identified and injected with ethanol to achieve adequate LVOT gradient reduction. Over the course of the 20-year study period, several advances were incorporated into the procedure and are discussed later.
Follow-up and data acquisition. Patients were monitored in the cardiac care unit for 24-48 hours after ASA, during which time serial electrocardiograms, serum troponin I, and creatine phosphokinase levels were recorded. Since 2015, stable post-ASA patients have been admitted to the step-down unit rather than the cardiac intensive care unit. Patients were also monitored for conduction abnormalities with back-up temporary pacing. For persistent complete heart block or high-risk conduction abnormalities, permanent pacemaker implantation was pursued. During follow-up, patients were evaluated for symptoms of heart failure, angina, and syncope, along with dynamic cardiac auscultation to detect residual LVOT obstruction. LVOT gradients were measured by echocardiography in all patients and functional status was assessed by exercise treadmill testing in patients able to exercise.
Baseline patient characteristics, history, symptoms, medications, procedural outcomes, and complications were collected in a deidentified manner using a separate reference document with medical record numbers. Baseline and follow-up echocardiographic data were also collected.
For long-term mortality data, 45% were collected through electronic medical records. The remaining data were collected by direct contact with patients/relatives (30%), referring physician/cardiologist (10%), and cross-referencing of public death records (13%). These records included online databases (https://www.ancestry.com/cs/death; https://www.dobsearch.com/death-records/), obituary notices, and Social Security databases. Overall, mortality data were obtained for 98% of patients enrolled in this study.
Statistical analysis. Analyses were performed using JMP Pro 12 (SAS Institute) and SPSS Statistics, version 25.0 (IBM Corporation). Subgroup analyses were performed on particular variables of interest based on available data. Long-term survival was analyzed using a log-rank test and compared with demographically similar controls (age, gender, and race-matched United States population without HOCM) using a Kaplan-Meier survival plot. Survival is presented in the form of standardized mortality ratio (SMR) with 95% confidence interval. Continuous variables are presented as mean ± standard deviation, and categorical variables are presented as integers with respective percentages.
Results
Baseline characteristics and follow-up. In total, 580 consecutive patients were included in this study during the years 1999 to 2015, for a total of 664 ASAs. Fifty-four percent of patients were women and the majority (85%) self identified as Caucasian or White. The remaining baseline characteristics are shown in Table 1. At the time of ablation, the mean age of the entire cohort was 57 ± 15 years (range, 13-89 years). One 13-year-old patient with refractory symptoms and aborted sudden cardiac death was treated with ASA prior to the 2011 expert society guidelines. The patient’s parents declined surgical myectomy despite our strong recommendations. Postprocedural mean follow-up was 8.0 ± 4.3 years (range, 3 months to 16.2 years; median, 8.4 years). Long-term survival data were obtained for 98% of patients.
Procedural characteristics. The majority of ablations (90%) were performed via either unilateral or bilateral femoral artery access; in these cases, temporary pacemaker lead insertion was via femoral vein. Bilateral radial artery access became the favored route from 2013 onward, with up to 95% of cases performed via radial artery access. In these cases, the right internal jugular vein was used for temporary pacemaker lead insertion.
Immediate procedural outcomes. An average of 1.2 ± 0.4 septal arteries were injected with 2.2 ± 0.8 mL of 100% ethanol. Successful ASA was achieved in 94% of procedures. Intraprocedural LVOT gradients were reduced from a resting gradient of 71 ± 40 mm Hg to 5 ± 11 mm Hg and post-PVC (premature ventricular contraction) gradient from 101 ± 58 mm Hg to 14 ± 23 mm Hg. Fluoroscopy time was 13.5 ± 10.0 minutes. The average contrast volume was 111 ± 56 mL. Post-ASA serum creatine phosphokinase levels peaked at 1115 ± 626 IU/L and serum troponin I levels peaked at 54 ± 43 ng/mL. Patients were routinely monitored in the cardiac intensive care or stepdown unit for an average of 24 ± 12 hours with a total hospital length of stay of 2.0 ± 0.7 days (range, 1-4 days; mode, 2 days). The longest hospital course (69 days) occurred in a female patient who required mitral valve replacement following ASA due to persistent symptoms related to severe mitral valve regurgitation.
The rate of intraprocedural heart block was 10%, although some of these were transient and resolved prior to the end of the procedure. Persistent or recurrent high-grade atrioventricular conduction block or complete heart block (CHB) requiring permanent pacemaker implantation occurred in 47 of the 612 total procedures (8%) performed without pre-existing pacemakers. The incidence of new CHB in patients with pre-existing devices was not definitively ascertained. Changes in the method and amount of ethanol injection and greater operator experience have reduced incidence of CHB. As a result, the incidence of CHB progressively declined from 9.7% (1999-2005) to 8.5% (2006-2010) and then to 6.5% (2011-2015). Other procedural complications are shown in Table 2. There were a total of 6 procedural deaths (0.9%), as shown in Table 3. There have been no procedural deaths since 2008.
Clinical outcomes. The majority of patients (94%) experienced clinical improvement in heart failure symptoms following ASA. At 3-month follow-up, the NYHA functional class score was reduced from a mean of 2.9 ± 0.5 before the procedure to 1.5 ± 0.6. Objectively, there was an increase in the Bruce protocol exercise treadmill duration from 296 ± 169 seconds to 376 ± 168 seconds. Seventy-six patients required repeat procedures for persistent or recurrent symptoms due to LVOT obstruction, targeting additional septal perforator branches supplying the basal septum. At the time of repeat ASA, the mean age was 58 ± 16 years, 60% were women, and 91% were Caucasian. Among patients requiring repeat ablation, most were performed within the first year after initial ASA (42 within the first year, 29 between years 1 and 5, 3 between years 5-10, and only 2 after 10 years from the first ablation).
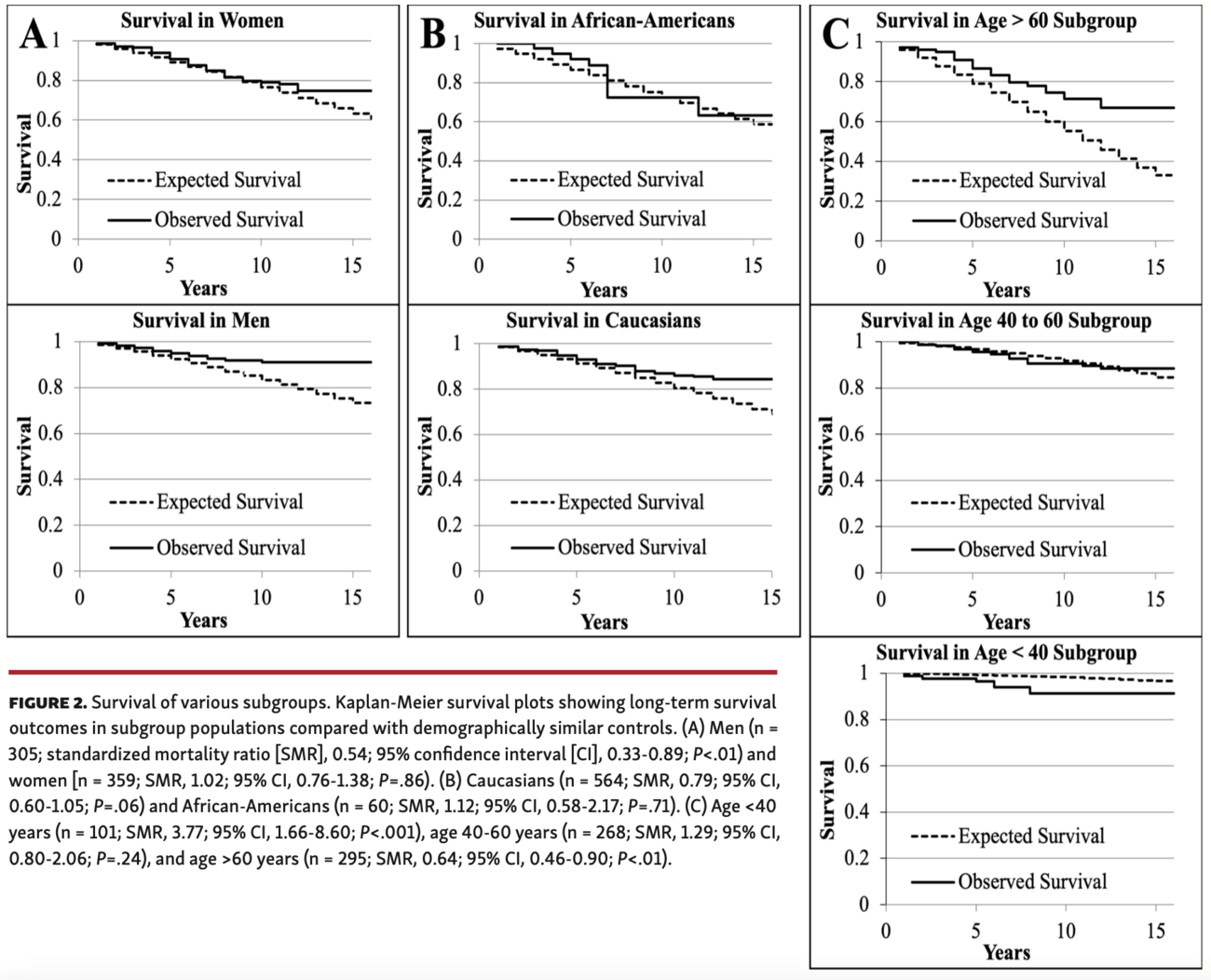
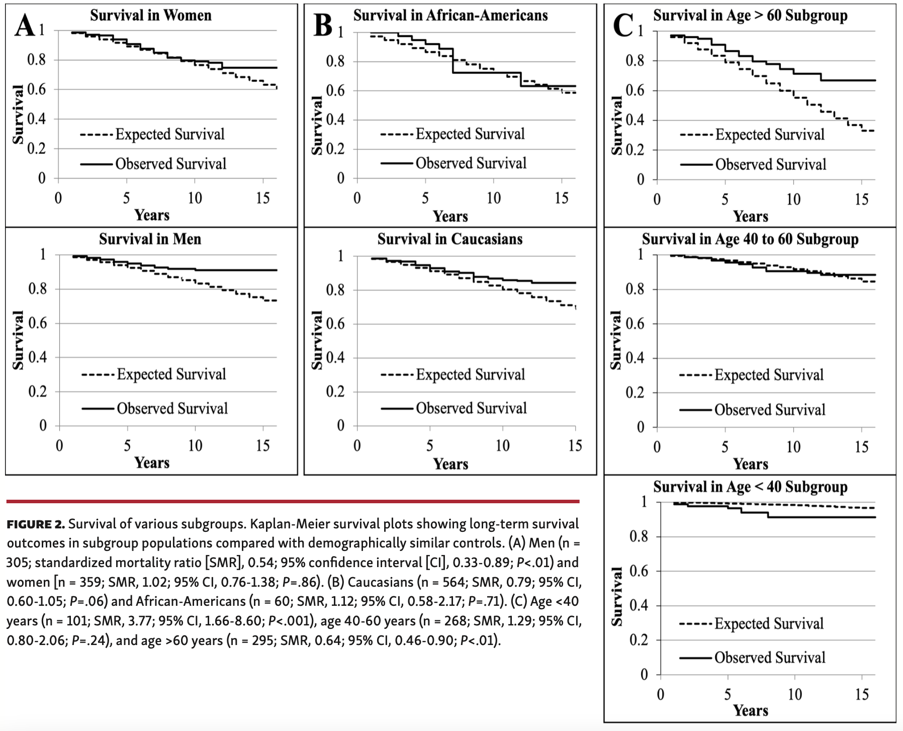
Long-term outcomes. The survival estimates after ASA at 1, 5, 10, and 15 years are 98%, 92%, 84%, and 81%, respectively. Long-term survival rates are comparable to a demographically similar control group, as shown in Figure 1 (SMR, 0.84; 95% CI, 0.66-1.06; P=.09). Survival rates of age, race, and gender subgroups are shown in Figure 2. The mean age of patients at time of death during follow-up was 67 ± 14 years. Death occurred at an average 5 ± 3 years after the latest ASA.
Discussion
ASA has come a long way since its initial description in 1995.15 The initial report of cases from Baylor College of Medicine18 was followed by a collaborative report with our institution, the Medical University of South Carolina.17 The early Baylor experience had high complication rates due to the novel nature of the procedure and early learning curve. This present study includes only patients at our institution from 1999 to 2015 and hence represents the evolution of the procedure beyond the initial learning curve. This study reports the procedural and clinical outcomes in the largest number of consecutive ASAs over the longest follow-up period represented in the literature to date.
In this study, ASA had a low complication rate (5%) and low procedural mortality rate (0.9%). The safety and efficacy of ASA highlights the learning curve and the impact of operator experience on procedural outcomes. The study also demonstrates that ASA has excellent long-term outcomes, with no difference in overall survival when compared with demographically similar controls, as shown in Figure 1. This is similar to findings from other institutions.21,22 Subgroup Kaplan-Meier curves also suggest that ASA does not adversely affect survival. Patients younger than age 40 years may have a more malignant form of the disease, which explains the Kaplan-Meier curve showing lower survival as compared with a demographically similar population without HOCM. This study does not compare ASA vs medical therapy alone; therefore, we are unable to conclude whether this difference reflects a less robust reduction in mortality after ASA in this age group or confirms that this is a higher-risk group than the general population.
Finally, survival outcomes in septal myectomy from experienced centers with cohorts ranging from the years 1960 to 2016 reveal a mean 1-year, 5-year, and 10-year survival of approximately 97%, 92%, and 82%, respectively.11,12,23-31 A meta-analysis by Liebregts and colleagues in 2017 comparing ASA vs surgical myectomy suggests that although ASA patients are older on average, there is no difference in annual percentage of all-cause mortality or sudden cardiac death.20 While our study does not directly compare survival outcomes with a myectomy cohort, survival outcomes appear to be similar.
The theoretical increased risk of late ventricular arrhythmia and sudden cardiac death due to ASA-induced infarction has not been observed in this study. This reflects other long-term outcome studies in which the arrhythmia risk differences between ASA and myectomy were minute.20,31-33 In the contemporary era of medical therapy, use of implantable cardioverter-defibrillators (ICDs) in high-risk patients, and septal reduction therapy in select patients, it is now evident that in most cases HOCM can have a benign prognosis for hard clinical outcomes similar to that of non-obstructive HCM.34 Our study shows that a reduction in LVOT gradients by ASA improves symptoms with survival comparable to a demographically similar control population.
In addition to our institutional experience, we have been able to utilize the collective experience of other centers to favorably modify the ASA technique over the past 20 years. These procedural modifications, with suggested implications, are listed in Table 4.
Study limitations. This study should be interpreted in light of certain methodological limitations. These include the retrospective nature of the data over the course of 20 years, longitudinal changes in operator experience and procedural techniques over time, and changes in expert society practice guideline recommendations that impacted patient selection for septal reduction therapy and primary prevention ICD implantation. Additionally, the population was predominantly Caucasian, which is not different from other similar studies. This retrospective analysis may be fraught with unrecognized biases and confounding factors. We were unable to assess cause of death, rate of ICD shocks, or other events that may have occurred outside of our institution.
Conclusion
ASA appears to be a safe procedure for septal reduction, with long-term survival comparable to demographically similar controls. This is also comparable to survival of patients after surgical myectomy as reported in the literature. As success and safety rates of ASA continue to improve, it should be considered an equivalent therapy to surgical myectomy in high-volume centers of excellence.
Acknowledgments. We thank Barbara E. Griffin for her assistance in data collection and patient tracking.
Affiliations and Disclosures
Joint first authors.
From the 1Division of Cardiology, Department of Medicine, 2Department of Pediatrics; 3College of Medicine; and 4Department of Public Health Services, Medical University of South Carolina
Charleston, South Carolina.
Disclosure: The authors have completed and returned the ICMJE Form for Disclosure of Potential Conflicts of Interest. The authors report no conflicts of interest regarding the content herein.
Manuscript accepted December 14, 2020.
Address for correspondence: Valerian L. Fernandes, MD, MRCP, FACC, Professor of Medicine, Division of Cardiology, Department of Medicine, Medical University of South Carolina, 114 Doughty Street, MSC 592, Charleston, SC 29464. Email: fernandv@musc.edu
References
1. Semsarian C, Ingles J, Maron MS, Maron BJ. New perspectives on the prevalence of hypertrophic cardiomyopathy. J Am Coll Cardiol. 2015;65:1249-1254.
2. Parato VM, Antoncecchi V, Sozzi F, et al. Echocardiographic diagnosis of the different phenotypes of hypertrophic cardiomyopathy. Cardiovasc Ultrasound. 2016;14:30.
3. Gersh BJ, Maron BJ, Bonow RO, et al. 2011 ACCF/AHA guideline for the diagnosis and treatment of hypertrophic cardiomyopathy: a report of the American College of Cardiology Foundation/American Heart Association Task Force on Practice Guidelines. Developed in collaboration with the American Association for Thoracic Surgery, American Society of Echocardiography, American Society of Nuclear Cardiology, Heart Failure Society of America, Heart Rhythm Society, Society for Cardiovascular Angiography and Interventions, and Society of Thoracic Surgeons. J Am Coll Cardiol. 2011;58:e212-e260.
4. Maron MS, Olivotto I, Zenovich AG, et al. Hypertrophic cardiomyopathy is predominantly a disease of left ventricular outflow tract obstruction. Circulation. 2006;114:2232-2239.
5. Maron MS, Olivotto I, Betocchi S, et al. Effect of left ventricular outflow tract obstruction on clinical outcome in hypertrophic cardiomyopathy. N Engl J Med. 2003;348:295-303.
6. Vriesendorp PA, Liebregts M, Steggerda RC, et al. Long-term outcomes after medical and invasive treatment in patients with hypertrophic cardiomyopathy. JACC Heart Fail. 2014;2:630-636.
7. van der Lee C, Scholzel B, ten Berg JM, et al. Usefulness of clinical, echocardiographic, and procedural characteristics to predict outcome after percutaneous transluminal septal myocardial ablation. Am J Cardiol. 2008;101:1315-1320.
8. Morrow AG, Reitz BA, Epstein SE, et al. Operative treatment in hypertrophic subaortic stenosis. Techniques, and the results of pre and postoperative assessments in 83 patients. Circulation. 1975;52:88-102.
9. Woo A, Williams WG, Choi R, et al. Clinical and echocardiographic determinants of long-term survival after surgical myectomy in obstructive hypertrophic cardiomyopathy. Circulation. 2005;111:2033-2041.
10. Ralph-Edwards A, Woo A, McCrindle BW, et al. Hypertrophic obstructive cardiomyopathy: comparison of outcomes after myectomy or alcohol ablation adjusted by propensity score. J Thorac Cardiovasc Surg. 2005;129:351-358.
11. Ommen SR, Maron BJ, Olivotto I, et al. Long-term effects of surgical septal myectomy on survival in patients with obstructive hypertrophic cardiomyopathy. J Am Coll Cardiol. 2005;46:470-476.
12. Smedira NG, Lytle BW, Lever HM, et al. Current effectiveness and risks of isolated septal myectomy for hypertrophic obstructive cardiomyopathy. Ann Thorac Surg. 2008;85:127-133.
13. Kim LK, Swaminathan RV, Looser P, et al. Hospital volume outcomes after septal myectomy and alcohol septal ablation for treatment of obstructive hypertrophic cardiomyopathy: US nationwide inpatient database, 2003-2011. JAMA Cardiol. 2016;1:324-332.
14. Spirito P, Rossi J, Maron BJ. Alcohol septal ablation: in which patients and why? Ann Cardiothorac Surg. 2017;6:369-375.
15. Sigwart U. Non-surgical myocardial reduction for hypertrophic obstructive cardiomyopathy. Lancet. 1995;346:211-214.
16. Lakkis NM, Nagueh SF, Kleiman NS, et al. Echocardiography-guided ethanol septal reduction for hypertrophic obstructive cardiomyopathy. Circulation. 1998;98:1750-1755.
17. Fernandes VL, Nielsen C, Nagueh SF, et al. Follow-up of alcohol septal ablation for symptomatic hypertrophic obstructive cardiomyopathy: the Baylor and Medical University of South Carolina Experience 1996 to 2007. JACC Cardiovasc Interv. 2008;1:561-570.
18. Fernandes VL, Nagueh SF, Franklin J, et al. A prospective follow-up of alcohol septal ablation for symptomatic hypertrophic obstructive cardiomyopathy — the Baylor Experience (1996-2002). Clin Cardiol. 2005;28:124-130.
19. Firoozi S, Elliott PM, Sharma S, et al. Septal myotomy-myectomy and transcoronary septal alcohol ablation in hypertrophic obstructive cardiomyopathy: a comparison of clinical, haemodynamic and exercise outcomes. Eur Heart J. 2002;23:1617-1624.
20. Liebregts M, Vriesendorp PA, Ten Berg JM. Alcohol septal ablation for obstructive hypertrophic cardiomyopathy. J Am Coll Cardiol. 2017;70:481-488.
21. An S, Yang Y, Hang F, Wang Z, Fan C. Procedural complication and long term outcomes after alcohol septal ablation in patients with obstructive hypertrophic cardiomyopathy: data from China. Sci Rep. 2017;7:9506.
22. Batzner A, Pfeiffer B, Neugebauer A, Aicha D, Blank C, Seggewiss H. Survival after alcohol septal ablation in patients with hypertrophic obstructive cardiomyopathy. J Am Coll Cardiol. 2018;72:3087-3094.
23. Nguyen A, Schaff HV, Hang D, et al. Surgical myectomy versus alcohol septal ablation for obstructive hypertrophic cardiomyopathy: a propensity score-matched cohort. J Thorac Cardiovasc Surg. 2019;157:306-315.
24. Khalil J, Kuehl M, Davierwala P, Mohr FW, Misfeld M. Hypertrophic obstructive cardiomyopathy — the Leipzig experience. Ann Cardiothorac Surg. 2017;6:337-342.
25. Beahrs MM, Tajik AJ, Seward JB, Giuliani ER, McGoon DC. Hypertrophic obstructive cardiomyopathy: ten- to 21-year follow-up after partial septal myectomy. Am J Cardiol. 1983;51:1160-1166.
26. Heric B, Lytle BW, Miller DP, Rosenkranz ER, Lever HM, Cosgrove DM. Surgical management of hypertrophic obstructive cardiomyopathy: early and late results. J Cardiovasc Surg. 1995;110:195-206.
27. Parry DJ, Raskin RE, Poynter JA, et al. Short and medium term outcomes of surgery for patients with hypertrophic obstructive cardiomyopathy. Ann Thorac Surg. 2015;99:1213-1219.
28. Robbins RC, Stinson EB. Long-term results of left ventricular myotomy and myectomy for obstructive hypertrophic cardiomyopathy. J Thorac Cardiovasc Surg. 1996;111:586-594.
29. Cohn LH, Trehan H, Collins JJ Jr. Long-term follow-up of patients undergoing myotomy/myectomy for obstructive hypertrophic cardiomyopathy. Am J Cardiol. 1992;70:657-660.
30. Schulte HD, Borisoc K, Gams E, Gramsch-Zabel H, Losse B, Schwartzkopff B. Management of symptomatic hypertrophic obstructive cardiomyopathy — long-term results after surgical therapy. Thorac Cardiovasc Surg. 1999;47:213-218.
31. Schoendube FA, Klues HG, Reith S, Flachskampf FA, Hanrath P, Messmer BJ. Long-term clinical and echocardiographic follow-up after surgical correction of hypertrophic obstructive cardiomyopathy with extended myectomy and reconstruction of the subvalvular mitral apparatus. Circulation. 1995;92:122-127.
32. Cuoco FA, Spencer WH 3rd, Fernandes VL, et al. Implantable cardioverter-defibrillator therapy for primary prevention of sudden death after alcohol septal ablation of hypertrophic cardiomyopathy. J Am Coll Cardiol. 2008;52:1718-1723.
33. Leonardi RA, Kransdorf EP, Simel DL, Wang A. Meta-analyses of septal reduction therapies for obstructive hypertrophic cardiomyopathy. Circ Cardiovasc Interv. 2010;3:97-104.
34. Maron BJ, Rowin EJ, Casey SA, Maron MS. How hypertrophic cardiomyopathy became a contemporary treatable genetic disease with low mortality. JAMA Cardiol. 2016;1:98-105.


