Intravenous Volume Expansion to Prevent Contrast-Associated Acute Kidney Injury
Abstract
Objectives. Several volume expansion protocols have been proposed to prevent contrast-associated acute kidney injury (CA-AKI). The aim of our study was to seek the ideal intravenous volume expansion to prevent CA-AKI in patients with chronic kidney disease (CKD) undergoing invasive cardiovascular procedures. Methods. We analyzed 1927 CKD patients enrolled in 6 studies that took place from September 15, 2000 to June 6, 2019. Four volume expansion regiments were included: (1) conventional group (n=625); (2) bicarbonate group (n=255); (3) left ventricular end-diastolic pressure-guided group (n=355); and (4) urine flow rate-guided group (n=500). Results. CA-AKI (serum creatinine increase ≥0.3 mg/dL at 48 hours) occurred in 224 (11%) patients. In patients with CA-AKI, volume expansion was lower (2090 ± 1382 mL vs 2551 ± 1716 mL; P<.001) and acute pulmonary edema occurred more often (3.5% vs 0.29%; P<.001). By ROC curve analysis, an absolute volume expansion greater than or equal to 1430 mL (AUC = 0.70) and a volume expansion to contrast media volume ratio greater than or equal to 17 (AUC = 0.57) were the best thresholds for freedom from CA-AKI. Conclusions. In our comprehensive pooled analysis, an absolute volume expansion greater than or equal to 1430 mL and a volume expansion to contrast media volume ratio greater than or equal to 17 are the best dichotomous thresholds for CA-AKI prevention. These cutoffs should be formally tested in a dedicated trial as a pragmatic means to prevent CA-AKI.
Introduction
Periprocedural intravenous volume expansion is the standard of care for preventing contrast-associated acute kidney injury (CA-AKI) in at-risk patients requiring invasive diagnostic and interventional cardiovascular procedures.1 Although the recommended volume expansion regimen is normal saline infusion at 1 mL/kg/h (0.5 mL/kg/h if left ventricular ejection fraction ≤35% or New York Heart Association [NYHA] class >2) from 12 hours before to 24 hours after contrast media (CM) exposure,2 a variety of protocols have been reported.1 Furthermore, in order to improve both efficacy and safety, a number of tailored regimens have been proposed.3-6 The large variety in volume expansion regimens can be confusing in the clinical practice and may also make comparison between study results difficult.
The aim of our study was to seek the ideal intravenous volume expansion to prevent CA-AKI in at-risk patients undergoing invasive cardiovascular procedures.
Methods
Patient population. The study included 1927 participants from 6 trials conducted from September 15, 2000 to June 6, 2019. We included all participants with chronic kidney disease (CKD) scheduled for invasive diagnostic and/or interventional cardiovascular procedures enrolled into previous randomized, controlled trials conducted by our group addressing the topic of CA-AKI prevention4,7-11 (Table S1). Glomerular filtration rate (GFR) was estimated by applying the Chronic Kidney Disease Epidemiology Collaboration (CKD-EPI) equation.12 CKD was defined as a GFR less than 60 mL/min/1.73 m2. The risk scores for predicting CA-AKI were estimated according to Mehran et al13 and Gurm et al.14 The study was approved by the local ethics committee and all participants provided informed consent. The administration of a CM volume more than 3 times the GFR was suggestive of increased risk of CA-AKI.15 The following CM were used: (1) iodixanol (Visipaque, GE), a nonionic, iso-osmolar CM (290 mOsm/kg of water); (2) iobitridol (Xenetix350, 350 mg iodine/mL, Guerbet) a nonionic, low-osmolality CM (915 mOsm/kg of water); and (3) iopromide (Ultravist-370, 0.769 mg/mL, 370 mg iodine/mL; Schering), a nonionic, low-osmolality CM (496 mOsm/kg of water).
Hydration regimens. The following hydration regimens were used in the various studies:
- Conventional group: Ipotonic (0.45% sodium chloride) or isotonic (0.9% sodium chloride) saline given intravenously at a rate of 1 mL/kg body weight per hour (0.5 mL/kg for patients with left ventricular ejection fraction [LVEF] <40%) for 12 hours before and 12 hours after CM administration.16
- Bicarbonate group: Bicarbonate solution was given according to the protocol reported by Merten et al.17 Patients received 154 mEq/L of sodium bicarbonate in dextrose and H2O. The initial intravenous bolus was 3 mL/kg per hour for at least 1 hour before CM injection. All patients received the same fluid at a rate of 1 ml/kg per hour during CM exposure and for 6 hours after the procedure.
- Left ventricular end-diastolic pressure (LVEDP)-guided group: Intravenous 0.9% sodium chloride for 1 hour prior to CM exposure.3 The fluid rate was adjusted according to the non-invasive LVEDP as follows: 5 mL/kg/h for normal LVEDP, 1.5 mL/kg/h for high LVEDP, and 3 mL/kg/h for intermediate LVEDP. The fluid rate was eventually modified at the beginning of the procedure in case of discordance between non-invasive and invasive LVEDP pressure values, with the invasive value considered the gold standard. Fluid rate was adjusted according to the invasive LVEDP as follows: 5 mL/kg/h for LVEDP less than or equal to 12 mmHg, 3 mL/kg/h for 13 to 18 mmHg, and 1.5 mL/kg/h for greater than 18 mmHg.3 The hydration was continued at the same rate during the procedure and for 4 hours post procedure.
- Urine flow rate (UFR)-guided group: Hydration with normal saline controlled by the RenalGuard system (RenalGuard Solutions).4 An initial bolus (priming) of 250 mL was administered. In case of LVEF less than or equal to 30% and/or high non-invasive LVEDP, the priming was reduced to 150 mL. Following the initial bolus, intravenous furosemide (0.25 mg/kg) was administered in order to achieve a UFR greater than or equal to 300 mL/h. As soon as the UFR reached the target value, the patient was moved into the catheterization laboratory and the procedure started. The controlled hydration by the RenalGuard system continued during the procedure and for 4 hours following the procedure. UFR was monitored and maintained at the target value throughout the procedure and during the 4 hours following. Additional furosemide doses were allowed in case of a decrease of the UFR below the target value.
Aims. There were 4 aims of the study. First, we sought to determine whether an ideal safe and effective periprocedural intravenous volume expansion to prevent CA-AKI irrespective of the hydration regimen exists; second, whether the probability of reaching the ideal prophylactic volume varies by different hydration regimens; and third, whether the baseline risk requires a different periprocedural total volume expansion. To the third aim, we assessed the following variables: (1) volume expansion-to-risk score ratio (both Mehran and Gurm scores); and (2) volume expansion-to-GFR ratio. Lastly, we sought to determine whether volume expansion should be tailored to the total CM volume administered; therefore, the volume expansion-to-CM volume ratio was assessed. Total volume expansion (mL) was calculated by adding the volume administered intravenously pre, during, and after the procedure. CA-AKI was defined as an increase in the serum creatinine (sCr) concentration greater than or equal to 0.3 mg/dL at 48 hours after CM exposure.18 An alternative CA-AKI definition was an increase in the sCr concentration greater than or equal to 25% and/or greater than or equal to 0.5 mg/dL from the baseline value at 48 hours after CM administration. Acute pulmonary edema was defined as the sudden development of dyspnea and/or tachypnea and/or breathlessness associated with tachycardia, anxiety, cough, and sweating after the initiation of the hydration regimen. Typical signs of lung auscultation include fine crepitant rales, rhonchi, and wheezes.19
Statistical analysis. Continuous variables are given as mean ± 1 standard deviation, or median and first and third quartiles Q1-Q3, when appropriate. The Student’s t test and the nonparametric Mann-Whitney tests were used to determine differences between mean values for normally and abnormally distributed variables, respectively. Categorical variables were reported as percentages and analyzed by either Chi-squared or Fisher’s exact test, as appropriate. We calculated the relative risk and absolute risk difference, and the 95% confidence interval (CI), for the primary and secondary endpoints. Bivariate exploratory analysis was based on unpaired Student t test, unpaired Wilcoxon test, or Fisher exact test. A multivariable logistic regression model was used for multivariable analysis, including as covariates all features associated with P<.10 with CA-AKI. Finally, a receiver operating characteristic (ROC) analysis was performed to identify the analytical optimal cutpoint to prevent CA-AKI, using the CUTPT Stata 13 package (StataCorp), and reporting point estimate of effect and 95% CI (based on 1000 bootstrap samples), as well as corresponding sensitivity, specificity, likelihood ratio positive, likelihood ratio negative, and area under the curve (AUC). Statistical significance was set at the 2-tailed 0.05 level. Computations were performed with Stata 13.
Results
Patient population. The clinical and biochemical characteristics of the participants are reported in Tables 1 and 2. The majority (>60%) of the participants underwent percutaneous coronary intervention (PCI). There were 570 (28.5%) participants with a GFR <30 mL/min/1.73 m2, 1036 (52%) participants with eGFR 30 to 44 mL/min/1.73 m2, and 389 (19.5%) participants with eGFR 45-59 mL/min/1.72 m2. Diabetes mellitus occurred in 832 (41.7%) participants and peripheral artery disease in 685 (34%) participants. Distribution of the 4 volume expansion regimens were as follows: (1) conventional group (n=625); (2) bicarbonate group (n=255); (3) LVEDP-guided group (n=355); and (4) UFR-guided group (n=500). CA-AKI occurred in 224 (11.6%) participants. Participants with CA-AKI were older, with a lower GFR, lower LVEF, and higher rate of peripheral artery disease than participants without CA-AKI (Tables 1, 2). Acute pulmonary edema occurred in 13 (0.66%) participants: 8 (3.5%) participants with CA-AKI and 5 (0.29%) participants without CA-AKI (P<.001).
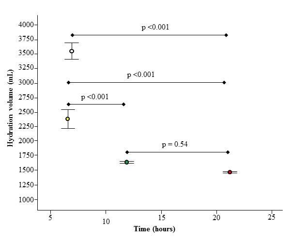
Volume expansion. In the global population, mean volume expansion was 2498 ± 1687 mL, administered over an average time period of 11 ± 6 hours. Volume expansion and duration according to the different regimens utilized are reported in Figure 1.
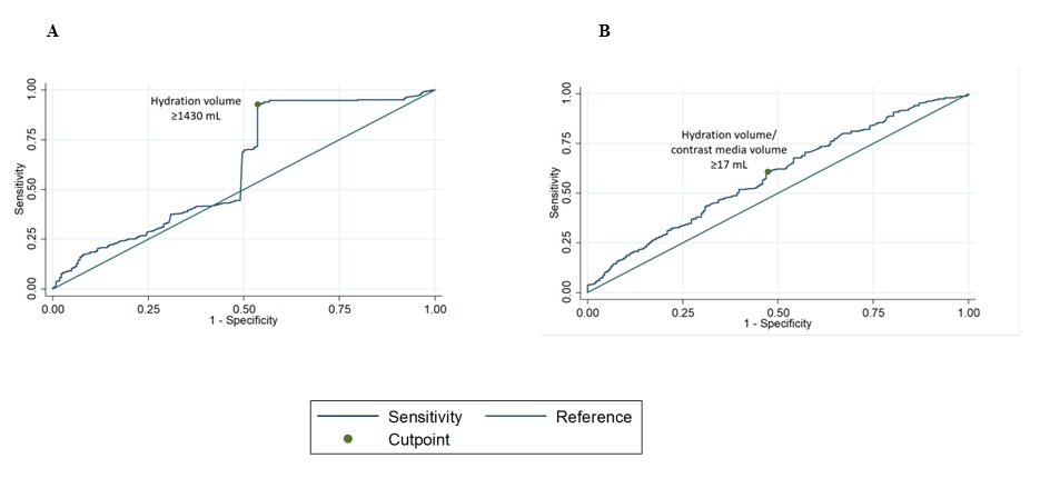
The greatest total intravenous volume expansion was observed in the UFR-guided group (3551 ± 2018 mL), which was administered in 7.4 ± 1.2 hours. The least total intravenous volume expansion was observed in the conventional group (1479 ± 93 mL), which was infused in 21.8 ± 3.8 hours. Total volume expansion was 1649 ± 157 mL in the bicarbonate group, administered in 11.5 ± 2.9 hours, and 2388 ± 1541 mL in the LVEDP-guided group, which was administered in 6.9 ± 0.9 hours. Volume expansion was significantly less in the 224 participants with CA-AKI (2090 ± 1382 mL vs 2551 ± 1716 mL; P<.001) (Table 2). A total volume expansion greater than or equal to 1430 mL was the best threshold to predict freedom from CA-AKI (Figure 2A; sensitivity 93% [91%-94%]; specificity 46% [39%-53%]; positive predictive value 93% [92%-94%]; negative predictive value 46% [39%-52%]; likelihood ratio positive/negative 1.72 [1.52-1.94] / 0.16 [0.13-0.20], AUC at cutoff point 0.70).
This threshold was reached less often in the conventional group than in the other groups (Figure 3; Table S2). This volume expansion cutoff of greater than or equal to 1430 mL also performed well when using other CA-AKI definitions (Table S3). Volume expansion-to-risk score ratios and volume expansion-to-CM volume ratio were significantly lower in the CA-AKI group (Table 2). Volume expansion-to-GFR ratio was not statistically different in the CA-AKI group and the no CA-AKI group (71.5 ± 50.7 mL vs 75.6 ± 56.7 mL; P=.295). Volume expansion-to-CM volume greater than or equal to 17 was the best cutoff point for CA-AKI prevention (Figure 2B; sensitivity 61% [59%-63%]; specificity 52% [45%-59%]; positive predictive value 91% [89%-92%]; negative predictive value 15% [12%-18%]; likelihood ratio positive/negative 1.27 [1.10-1.46] / 0.75 [0.66-0.87], AUC at cutoff point 0.57).
The probability of reaching this cutoff point according to volume expansion strategy is reported in Table S3. The performance of this volume expansion cutoff of greater than or equal to 17 when using other CA-AKI definitions is reported in Table S4. We also ran sensitivity analyses based on the type of CM and body mass index. Results of such subgroup analyses were largely consistent with the results of the main analyses, at least in terms of superimposition of 95% CIs, despite finding higher values of volume expansion for iobitridol, in absolute terms and relative to contrast media volume (Tables S5, S6).
Discussion
Intravenous volume expansion is the standard of care for preventing CA-AKI in patients undergoing invasive cardiovascular procedures.1 Whether to use a fixed fluid regimen or a protocol targeting specific parameters is a matter of debate. At present, fixed fluid regimens predominate in clinical practice. Nevertheless, several volume expansion protocols have been reported.1,2,15,20 Tailored regimens adjusted to certain hemodynamic and/or renal parameters have also been proposed.3-6
Absolute amount of volume expansion. In our study, we found that a total volume expansion greater than or equal to 1430 mL administered pre, during, and post CM exposure, over an average time period of 11 ± 6 hours, was the most effective and safe method to prevent CA-AKI. It was the best threshold for CA-AKI prevention without causing side effects (pulmonary edema). This finding, however, should be interpreted with caution, because the ROC analysis yielded an AUC of 0.70, with a CI that was only slightly above the null of 0.50 (0.56-0.75). This threshold was reached less often in the conventional group than in the other groups. In particular, the greatest volume expansion was obtained by the UFR-guided hydration group. This finding reinforces the importance of a tailored hydration regimen.
The mean volume expansion in the most important studies focusing on CA-AKI prevention ranges from 806 mL ± 228 mL in the CVP (Central Venous Pressure Guided Hydration Prevention for Contrast-Induced Nephropathy) trial5 to 2940 mL ± 3190 mL in the ICON (Ionic vs non-ionic Contrast to Obviate worsening Nephropathy after angioplasty in chronic renal failure patients) trial.21 In the PRESERVE (Prevention of Serious Adverse Events Following Angiography) trial, the median volume of intravenous fluid was 1028 (IQR 817-1283) mL in the normal saline group and 1025 (IQR 823-1285) mL in the sodium bicarbonate group.22 In the BOSS (Bicarbonate Or Saline Study) trial, the total volume administered was 1157 ± 67 mL in the normal saline group vs 1117 ± 74 mL in the bicarbonate group.23 Volume expansion is always larger in the tailored hydration regimens, which are associated with a reduced CA-AKI rate. In the POSEIDON (Prevention of Contrast Renal Injury with Different Hydration Strategies) trial, the total volume of normal saline administered was 1727 ± 583 mL in the LVEDP-guided group vs 812 ± 142 mL in the control group.3 In the REMEDIAL II and III (Renal Insufficiency Following Contrast Media Administrational) trials, volume expansion was higher in the UFR-guided group than in the control group (2469 ± 1223 mL vs 1441 ± 458 mL; P<.001) and the LVEDP-guided group (2598 ± 1349 mL vs 1709 ± 1116 mL; P<.001), respectively.4,11 Similarly, in the HYDRA (Personalized Versus Standard Hydration for Prevention of CI-AKI: A Randomized Trial With Bioimpedance Analysis) study, volume expansion was larger in the bioimpedance-guided hydration group than in the standard group (3216 [2522-3600] vs 1476 [961-1680] mL).6 Finally, in the CVP study, volume expansion was larger in the central venous pressure-guided hydration group (1461 ± 453 mL vs 806 ± 228 mL).5 Therefore, one possible conclusion is that as the volume expansion increases, the CA-AKI rate is reduced. However, in both fixed and tailored regimens, there is a risk of an excessive volume replacement.24-26 The result of the AMACING (A MAastricht Contrast-Induced Nephropathy Guideline) trial supports this concern.20 In this single-center randomized trial, a fixed fluid intravenous saline infusion (3-4 mL/kg/h given 4 hours prior to and 4 hours after CM administration) was associated with a higher rate of adverse events (including heart failure, hyponatremia, and arrhythmia) than no hydration (5.5% vs 0%), without reducing the rate of CA-AKI. In detail, the mean volume expansion was 1637 ± 950 mL and the rate of acute pulmonary edema was 4%, which is unexpectedly high compared to other studies on the same topic.4,11
Risk-related volume expansion. Volume expansion-to-risk score ratios and volume expansion-to-CM volume ratio were significantly lower in the CA-AKI group (Table 2). Volume expansion-to-GFR ratio was not statistically different in the CA-AKI group and the no CA-AKI group. Volume expansion-to-CM volume greater than or equal to 17 was the best cutoff point for CA-AKI prevention (Figure 2B). Even this finding should be interpreted with caution, however, because the ROC analysis yielded an AUC of 0.57, with a CI that was only slightly above the null of 0.56 (0.53-0.60). This threshold was reached most often in the UFR-guided hydration group and less often in the conventional group. This finding supports the hypothesis that “dosing” the volume expansion according to the CM volume should optimize volume expansion and therefore increase the efficacy in preventing CA-AKI. Although one can argue that final CM volume cannot be predicted, this cutoff may guide interventionalists in modulating hydration volume during and post procedure according to the final CM volume.
Study limitations. The retrospective design of the present study represents a limitation. The lack of a validation group represents a further limitation. A randomized, controlled trial is therefore needed to validate the findings of the present study. Finally, the distribution of the volume expansion through the pre, intra, and postprocedural phases was not available for all hydration regimen strategies. Therefore, our study cannot establish how the proposed cutoffs should be distributed during the aforementioned phases.
Conclusions
In our comprehensive pooled analysis, an absolute volume expansion greater than or equal to 1430 mL as well as a volume expansion-to CM volume ratio greater than or equal to 17 are the best dichotomous thresholds for CA-AKI prevention. These cutoffs should be formally tested in a dedicated trial as a pragmatic means to prevent CA-AKI.
Affiliations and Disclosures
From the 1Interventional Cardiology Unit, Mediterranea Cardiocentro, Naples, 2Interventional Cardiology Unit, University of Rome Tor Vergata, Rome, Italy; 3Department of Medical-Surgical Sciences and Biotechnologies, Sapienza University of Rome, Latina, Italy
Disclosures: Giuseppe Biondi-Zoccai has consulted for Balmed, Cardionovum, Crannmedical, Eukon, Innovheart, Guidotti, Meditrial, Microport, Opsens Medical, Replycare, Teleflex, and Terumo. The remaining authors report no financial relationships or conflicts of interest regarding the content herein.
Address for correspondence: Carlo Briguori MD, PhD Interventional Cardiology, Mediterranea Cardiocentro, Via Orazio, 2, I-80121, Naples, Italy. Email: carlobriguori@clinicamediterranea.it
References
1. Mehran R, Dangas GD, Weisbord SD. Contrast-associated acute kidney injury. N Engl J Med. 2019;380(22):2146-2155. doi: 10.1056/NEJMra1805256
2. Neumann FJ, Sousa-Uva M, Ahlsson A, et al. 2018 ESC/EACTS Guidelines on myocardial revascularization. Eur Heart J. 2019;40(2):87-165. doi: 10.1093/eurheartj/ehy394
3. Brar SS, Aharonian V, Mansukhani P, et al. Haemodynamic-guided fluid administration for the prevention of contrast-induced acute kidney injury: the POSEIDON randomised controlled trial. Lancet. 2014;383(9931):1814-1823. doi: 10.1016/S0140-6736(14)60689-9
4. Briguori C, Visconti G, Focaccio A, et al. Renal Insufficiency After Contrast Media Administration Trial II (REMEDIAL II): RenalGuard System in high-risk patients for contrast-induced acute kidney injury. Circulation. 2011;124(11):1260-1269. doi: 10.1161/CIRCULATIONAHA.111.030759
5. Qian G, Fu Z, Guo J, Cao F, Chen Y. Prevention of Contrast-Induced Nephropathy by Central Venous Pressure-Guided Fluid Administration in Chronic Kidney Disease and Congestive Heart Failure Patients. JACC Cardiovasc Interv. 2016;9(1):89-96. doi: 10.1016/j.jcin.2015.09.026
6. Maioli M, Toso A, Leoncini M, et al. Bioimpedance-Guided Hydration for the Prevention of Contrast-Induced Kidney Injury: The HYDRA Study. J Am Coll Cardiol. 2018;71(25):2880-2889. doi: 10.1016/j.jacc.2018.04.022
7. Briguori C, Manganelli F, Scarpato P, et al. Acetylcysteine and contrast agent-associated nephrotoxicity. J Am Coll Cardiol. 2002;40(2):298-303. doi: 10.1016/s0735-1097(02)01958-7
8. Briguori C, Colombo A, Violante A, et al. Standard vs double dose of N-acetylcysteine to prevent contrast agent associated nephrotoxicity. Eur Heart J. 2004;25(3):206-211. doi: 10.1016/j.ehj.2003.11.016.
9. Briguori C, Colombo A, Airoldi F, et al. N-Acetylcysteine versus fenoldopam mesylate to prevent contrast agent-associated nephrotoxicity. J Am Coll Cardiol. 2004;44(4):762-765. doi: 10.1016/j.jacc.2004.04.052
10. Briguori C, Airoldi F, D'Andrea D, et al. Renal Insufficiency Following Contrast Media Administration Trial (REMEDIAL): a randomized comparison of 3 preventive strategies. Circulation. 2007;115(10):1211-1217. doi: 10.1161/CIRCULATIONAHA.106.687152
11. Briguori C, D'Amore C, De Micco F, et al. Left Ventricular End-Diastolic Pressure Versus Urine Flow Rate-Guided Hydration in Preventing Contrast-Associated Acute Kidney Injury. JACC Cardiovasc Interv. 2020;13(17):2065-2074. doi: 10.1016/j.jcin.2020.04.051
12. Delgado C, Baweja M, Crews DC, et al. A Unifying Approach for GFR Estimation: Recommendations of the NKF-ASN Task Force on Reassessing the Inclusion of Race in Diagnosing Kidney Disease. J Am Soc Nephrol. 2021;79(2):268-288.e1. doi: 10.1053/j.ajkd.2021.08.003
13. Mehran R, Owen R, Chiarito M, et al. A contemporary simple risk score for prediction of contrast-associated acute kidney injury after percutaneous coronary intervention: derivation and validation from an observational registry. Lancet. 2021;398(10315):1974-1983. doi: 10.1016/S0140-6736(21)02326-6
14. Gurm HS, Seth M, Kooiman J, Share D. A novel tool for reliable and accurate prediction of renal complications in patients undergoing percutaneous coronary intervention. J Am Coll Cardiol. 2013;61(22):2242-2248. doi: 10.1016/j.jacc.2013.03.026
15. Gurm HS, Dixon SR, Smith DE, et al. Renal function-based contrast dosing to define safe limits of radiographic contrast media in patients undergoing percutaneous coronary interventions. J Am Coll Cardiol 2011;58(9):907-914. doi: 10.1016/j.jacc.2011.05.023
16. Solomon R, Werner C, Mann D, D'Elia J, Silva P. Effects of saline, mannitol, and furosemide to prevent acute decreases in renal function induced by radiocontrast agents. N Engl J Med. 1994;331(21):1416-1420. doi: 10.1056/NEJM199411243312104
17. Merten GJ, Burgess WP, Gray LV, et al. Prevention of contrast-induced nephropathy with sodium bicarbonate: a randomized controlled trial. JAMA. 2004;291(19):2328-34. doi: 10.1001/jama.291.19.2328
18. Levey AS, Eckardt KU, Dorman NM, et al. Nomenclature for kidney function and disease: report of a Kidney Disease: Improving Global Outcomes (KDIGO) Consensus Conference. Kidney Int. 2020;97(6):1117-1129. doi: 10.1016/j.kint.2020.02.010
19. Ware LB, Matthay MA. Clinical practice. Acute pulmonary edema. N Engl J Med. 2005;353(26):2788-96. doi: 10.1056/NEJMcp052699
20. Nijssen EC, Rennenberg RJ, Nelemans PJ, et al. Prophylactic hydration to protect renal function from intravascular iodinated contrast material in patients at high risk of contrast-induced nephropathy (AMACING): a prospective, randomised, phase 3, controlled, open-label, non-inferiority trial. Lancet. 2017;389(10076):1312-1322. doi: 10.1016/S0140-6736(17)30057-0
21. Mehran R, Nikolsky E, Kirtane AJ, et al. Ionic low-osmolar versus nonionic iso-osmolar contrast media to obviate worsening nephropathy after angioplasty in chronic renal failure patients: the ICON (Ionic versus non-ionic Contrast to Obviate worsening Nephropathy after angioplasty in chronic renal failure patients) study. JACC Cardiovasc Interv. 2009;2:415-21. doi: 10.1016/j.jcin.2009.03.007
22. Weisbord SD, Gallagher M, Jneid H, et al. Outcomes after Angiography with Sodium Bicarbonate and Acetylcysteine. N Engl J Med. 2018;378(7):603-614. doi: 10.1056/NEJMoa1710933
23. Solomon R, Gordon P, Manoukian SV, et al. Randomized Trial of Bicarbonate or Saline Study for the Prevention of Contrast-Induced Nephropathy in Patients with CKD. Clin J Am Soc Nephrol. 2015;10(9):1519-24. doi: 10.2215/CJN.05370514
24. Holte K, Sharrock NE, Kehlet H. Pathophysiology and clinical implications of perioperative fluid excess. Br J Anaesth. 2002;89(4):622-32. doi: 10.1093/bja/aef220
25. Jacob M, Chappell D, Rehm M. Clinical update: perioperative fluid management. Lancet. 2007; 369(9578):1984-1986. doi: 10.1016/S0140-6736(07)60926-X
26. Hilton AK, Pellegrino VA, Scheinkestel CD. Avoiding common problems associated with intravenous fluid therapy. Med J Aust. 2008;189(9):509-13. doi: 10.5694/j.1326-5377.2008.tb02147.x


