Incidence, Treatment, and Outcomes of Coronary Artery Perforation During Percutaneous Coronary Intervention
Abstract
Objectives. To examine the incidence, treatment and outcomes of perforation during percutaneous coronary intervention (PCI). Background. Coronary perforation is a potentially life-threatening PCI complication. Methods. We examined the clinical, angiographic, and procedural characteristics, management, and outcomes of coronary perforation at a tertiary care institution. Results. Between 2014 and 2019, perforation occurred in 70 of 10,278 PCIs (0.7%). Patient age was 71 ± 12 years, 66% were men, and 30% had prior coronary artery bypass graft surgery. Among perforation cases, the prevalence of chronic total occlusions was 33%, moderate/severe calcification was 66% and moderate/severe tortuosity was 41%. The frequency of Ellis class 1, 2, and 3 perforations was 14%, 50%, and 36%, respectively. Most (n = 51; 73%) were large vessel perforations, 16 (23%) were distal vessel perforations and 3 (4%) were collateral vessel perforations (1 septal and 2 epicardial). Hypotension occurred in 26%, pericardial effusion in 36% and tamponade in 13%; 47% of perforations did not have clinical consequences. Perforations were most often treated with prolonged balloon inflation (63%), reversal of anticoagulation (39%), and covered stent implantation (33%). Technical and procedural success were 73% and 60%, respectively, and major periprocedural adverse cardiac events occurred in 21% of the patients. Three patients (4%) required emergent CABG surgery and four (6%) died. Conclusions. Coronary perforation is an infrequent complication of PCI. Most perforations are large vessel perforations and often require further intervention. The incidence of death or emergent cardiac surgery is low.
Keywords: coronary perforation, percutaneous coronary intervention
Coronary perforation is a rare, but potentially life-threatening, complication of percutaneous coronary intervention (PCI).1,2 Factors predisposing to coronary perforation include high lesion complexity, such as chronic total occlusion, severe calcification and tortuosity, aggressive use of oversized balloons and stents, and use of atheroablative devices and polymer-jacketed guidewires.3 Coronary perforations can be classified according to location (large vessel, distal vessel, and collateral perforation) and by severity (using the Ellis classification).4 In the present study, we describe the incidence, treatment, and outcomes associated with coronary perforation at a tertiary-care center.
Methods
We analyzed the baseline clinical and angiographic characteristics and procedural outcomes of 70 PCIs complicated by coronary perforation among 10,278 PCIs performed between 2014 and 2019 at a tertiary-care center. Data collection was performed retrospectively and was recorded in a dedicated online database (Prospective Global Registry for the Study of Complications [PROGRESS-Complications]; NCT05100940). Study data were collected and managed using REDCap (Research Electronic Data Capture) electronic data-capture tools hosted at Minneapolis Heart Institute Foundation. The study was approved by the institutional review board.
Coronary CTOs were defined as coronary lesions with Thrombolysis in Myocardial Infarction (TIMI) grade 0 flow of at least 3-month duration. Estimation of the duration of occlusion was clinical, based on the first onset of angina, prior history of myocardial infarction (MI) in the target-vessel territory, or comparison with a prior angiogram.5 Calcification was assessed by angiography as mild (spots), moderate (involving ≤50% of the reference lesion diameter), or severe (involving >50% of the reference lesion diameter). Moderate proximal vessel tortuosity was defined as the presence of at least 2 bends >70° or 1 bend >90° and severe tortuosity as 2 bends >90° or 1 bend >120° in the target vessel.
Technical success was defined as successful revascularization with achievement of <30% residual diameter stenosis within the treated segment and restoration of TIMI grade 3 antegrade flow. Procedural success was defined as the achievement of technical success without any in-hospital major adverse cardiac event (MACE). In-hospital MACE included any of the following adverse events prior to hospital discharge: death; MI; recurrent symptoms requiring urgent repeat target-vessel revascularization with PCI or coronary artery bypass graft surgery (CABG); tamponade requiring either pericardiocentesis or surgery; and stroke. MI was defined using the Third Universal Definition of Myocardial Infarction (type 4a MI).6
Statistical analysis. Categorical variables were expressed as percentages and were compared using the Pearson’s Chi-square test or Fisher’s exact test, as appropriate. Continuous variables were presented as mean ± standard deviation or median with interquartile range [IQR] unless otherwise specified and were compared using the student’s t test or Wilcoxon rank-sum test, as appropriate. All statistical analyses were performed using R, version 4.0.4 (R Foundation for Statistical Computing). A P-value <.05 was considered statistically significant.
Results
Between 2014-2019, perforation occurred in 70 of 10,278 PCIs (0.7%) performed at our institution, with no significant change over time (Figure 1). The baseline demographic characteristics and angiographic characteristics of the perforation patients are summarized in Table 1 and Table 2, respectively. Mean age was 71 ± 12 years, 66% were men, and 30% had prior CABG. The perforation site was in a large vessel in 73%, a distal vessel in 23%, a septal collateral in 1%, and an epicardial collateral in 2.9%. The causes of perforation included guidewire exit (n = 31), balloon inflation (n = 19), stenting (n = 12), microcatheter advancement (n = 4), rotational atherectomy (n = 3), orbital atherectomy (n = 1), and other (thrombectomy, laser thrombectomy, and use of an AngioSculpt balloon; n = 3). The procedural characteristics, including procedure time, contrast volume, and fluoroscopy time stratified by perforation location (large vs distal vessel) are shown in Table 3 and Figure 2. Perforation characteristics are detailed in Table 4. The proportion of Ellis class 1, 2, and 3 coronary perforations was 14%, 50%, and 36%, respectively.
Of the 70 perforations, a total of 9 (12.9%) resulted in tamponade requiring pericardiocentesis. Hypotension occurred in 26% and a pericardial effusion occurred in 36%; 47% of perforations did not have clinical consequences. Perforations with higher Ellis class were more likely to have adverse clinical consequences (Figure 3).
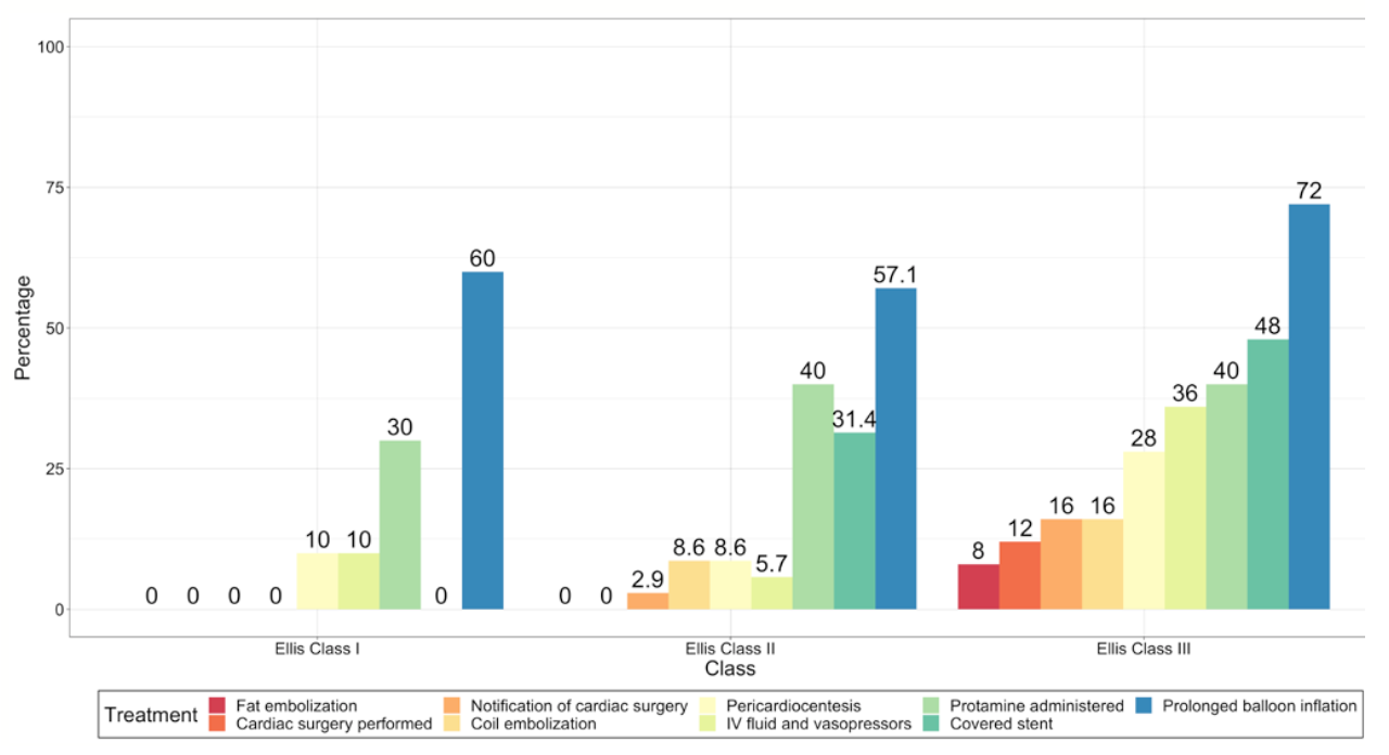
Treatment stratified by Ellis class is shown in Figure 4. Perforations were most often treated with prolonged balloon inflation (63%), reversal of anticoagulation (39%), and covered stent implantation (33%). Coil and fat embolization were used to treat 7 perforations (10%) and 2 perforations (3%), respectively. Overall technical success was 73% and overall procedural success was 60%. Periprocedural MACE occurred in 15 patients (21.4%). Three patients (4%) required emergent CABG and 4 patients (6%) died.
Discussion
The main findings from our study are as follows: (1) coronary perforations are infrequent (0.7%) and their incidence has not changed in recent years; (2) most are large-vessel perforations; (3) coronary perforations are usually treated with prolonged balloon inflation, reversal of anticoagulation, and covered stent implantation; and (4) coronary perforations are associated with MACE in approximately 1 of 5 patients.
The incidence of perforation at our center was low. This is similar with prior cohorts and has not significantly changed over time, possibly because of the performance of increasingly complex procedures (Table 5).
Coronary perforations are classified according to location and according to severity.5 Most perforations in our cohort were large-vessel perforations. Perforation management depends on location and severity. Some perforations may seal with prolonged proximal balloon inflation; otherwise, additional treatments may be required, such as covered stents for large-vessel perforations and coiling for distal-vessel and collateral perforations. Perforations of epicardial collaterals may be more challenging to treat and require more complex interventions.7 Reversal of heparin should be delayed until after equipment removal to prevent potential vessel thrombosis. In some cases (47% of perforations in our study), no specific treatment may be needed, but careful observation is recommended, as complications may develop over the course of several hours, especially with distal-vessel perforations.8
The incidence of MACE among perforation patients was 21%, highlighting the potential for adverse clinical consequences in some patients. Every effort should, therefore, be undertaken to prevent and promptly treat coronary perforations, should they occur. Complication management equipment should be readily available in all cardiac catheterization laboratories with continuous staff training on their optimal use. This is especially important for rarely used equipment, such as coils.
Study limitations. Limitations of our study include its retrospective, observational design and limited follow-up. Furthermore, coronary perforations without clinical consequences may be underreported, which could result in underestimation of the true incidence of Ellis class 1 and 2 perforations.
Discussion
Coronary perforations are infrequent, most are large-vessel perforations and are associated with MACE in approximately 1 of 5 patients. Continued efforts are warranted for both prevention and treatment of this potentially life-threatening complication.
Data collection. Study data were collected and managed using Research Electronic Data Capture (REDCap) electronic data capture tools hosted at the Minneapolis Heart Institute Foundation (MHIF), Minneapolis, Minnesota. REDCap is a secure, web-based application designed to support data capture for research studies, providing: (1) an intuitive interface for validated data entry; (2) audit trails for tracking data manipulation and export procedures; (3) automated export procedures for seamless data downloads to common statistical packages; and (4) procedures for importing data from external sources.
Acknowledgments. We would like to thank Dianne and Cline Hickok for their generous donation to the Minneapolis Heart Institute Foundation Summer Internship program, which helped support this research project.
Affiliations and Disclosures
From the Minneapolis Heart Institute and Minneapolis Heart Institute Foundation, Abbott Northwestern Hospital, Minneapolis, Minnesota.
Disclosure: The authors have completed and returned the ICMJE Form for Disclosure of Potential Conflicts of Interest. Dr Brilakis reports consulting for and speaker honoraria from Abbott Vascular, American Heart Association (Associate Editor, Circulation), Amgen, Asahi Intecc, Biotronik, Boston Scientific, Cardiovascular Innovations Foundation (Board of Directors), ControlRad, CSI, Elsevier, GE Healthcare, IMDS, InfraRedx, Medicure, Medtronic, Opsens, Siemens, and Teleflex; owner of Hippocrates, LLC; shareholder in MHI Ventures, Cleerly Health. Dr Burke is a shareholder in MHI Ventures; Egg Medical. Dr Goessl reports consulting income from Abbott Vascular. The remaining authors report no conflicts of interest regarding the content herein.
Manuscript accepted November 29, 2021.
Address for correspondence: Emmanouil S. Brilakis, MD, PhD, Minneapolis Heart Institute, 920 E 28th Street #300, Minneapolis, MN 55407. Email: esbrilakis@gmail.com
References
1. Javaid A, Buch AN, Satler LF, et al. Management and outcomes of coronary artery perforation during percutaneous coronary intervention. Am J Cardiol. 2006;98(7):911-914. doi:10.1016/j.amjcard.2006.04.032
2. Moroni F, Brilakis ES, Azzalini L. Chronic total occlusion percutaneous coronary intervention: managing perforation complications. Expert Rev Cardiovasc Ther. 2021;19(1):71-87. doi:10.1080/14779072.2021.1850264
3. Parsh J, Seth M, Green J, et al. Coronary artery perforations after contemporary percutaneous coronary interventions: evaluation of incidence, risk factors, outcomes, and predictors of mortality. Catheter Cardiovasc Interv. 2017;89(6):966-973. doi:10.1002/ccd.26917
4. Ellis SG, Ajluni S, Arnold AZ, et al. Increased coronary perforation in the new device era. Incidence, classification, management, and outcome. Circulation. 1994;90(6):2725-2730. doi:10.1161/01.cir.90.6.2725
5. Ybarra LF, Rinfret S, Brilakis ES, et al. Definitions and clinical trial design principles for coronary artery chronic total occlusion therapies: CTO-ARC consensus recommendations. Circulation. 2021;143(5):479-500. doi:10.1161/CIRCULATIONAHA.120.046754
6. Thygesen K, Alpert JS, Jaffe AS, et al. Third universal definition of myocardial infarction. Eur Heart J. 2012;33(20):2551-2567. doi:10.1093/eurheartj/ehs184
7. Brilakis ES, Karmpaliotis D, Patel V, Banerjee S. Complications of chronic total occlusion angioplasty. Interv Cardiol Clin. 2012;1(3):373-389. doi:10.1016/j.iccl.2012.04.006
8. Stathopoulos IA, Kossidas K, Garratt KN. Delayed perforation after percutaneous coronary intervention: rare and potentially lethal. Catheter Cardiovasc Interv. 2014;83(1):E45-E50. doi:10.1002/ccd.25121
9. Kinnaird T, Kwok CS, Kontopantelis E, et al. Incidence, determinants, and outcomes of coronary perforation during percutaneous coronary intervention in the United Kingdom between 2006 and 2013: an analysis of 527 121 cases from the British Cardiovascular Intervention Society Database. Circ Cardiovasc Interv. 2016;9(8):e003449. doi:10.1161/CIRCINTERVENTIONS.115.003449
10. Guttmann OP, Jones DA, Gulati A, et al. Prevalence and outcomes of coronary artery perforation during percutaneous coronary intervention. EuroIntervention. 2017;13(5):e595-e601. Published 2017 Aug 4. doi:10.4244/EIJ-D-16-01038
11. Shaukat A, Tajti P, Sandoval Y, et al. Incidence, predictors, management and outcomes of coronary perforations. Catheter Cardiovasc Interv. 2019;93(1):48-56. doi:10.1002/ccd.27706
12. Nawale JM, Chaurasia AS, Borikar NA, Nalawade DD, Shah MM, Shinde PS. Single center 7 year experience of coronary artery perforation: angiographic and procedural characteristics, management and outcome. Heart Views. 2019;20(3):93-100. doi:10.4103/HEARTVIEWS.HEARTVIEWS_84_18
13. Rakowski T, Węgiel M, Siudak Z, et al. Prevalence and predictors of coronary artery perforation during percutaneous coronary interventions (from the ORPKI National Registry in Poland). Am J Cardiol. 2019;124(8):1186-1189. doi:10.1016/j.amjcard.2019.07.021
14. Harnek J, James S, Lagerqvist B. Coronary artery perforation and tamponade - incidence, risk factors, predictors and outcomes from 12 years’ data of the SCAAR Registry. Circ J. 2019;84(1):43-53. doi:10.1253/circj.CJ-19-0757
15. Krishnegowda C, Puttegowda B, Krishnappa S, et al. Incidence, clinical and angiographic characteristics, management and outcomes of coronary artery perforation at a high volume cardiac care center during percutaneous coronary intervention. Indian Heart J. 2020;72(4):232-238. doi:10.1016/j.ihj.2020.07.012
16. Kinnaird T, Kwok CS, Davies R, et al. Coronary perforation complicating percutaneous coronary intervention in patients presenting with an acute coronary syndrome: an analysis of 1013 perforation cases from the British Cardiovascular Intervention Society database. Int J Cardiol. 2020;299:37-42. Epub 2019 Jun 14. doi:10.1016/j.ijcard.2019.06.034
Related Articles
- Intravascular Ultrasound Insights Into Perforation After Coronary Atherectomy
- Perforation of an Aortopulmonary Collateral: A Scary Sight in the Lab!
- Emergency Percutaneous Treatment of Saphenous Vein Graft Perforation After Cardiac Surgery
- Long-term Results of Perfusion-Balloon Valvuloplasty, Without Rapid Pacing, in High-Risk Elderly Patients With Severe Aortic Stenosis: A New Space Oddity


