Impact of Mitral Stenosis on Early and Late Outcomes of Transcatheter Aortic Valve Replacement for Aortic Stenosis: A Single-Center Analysis
© 2024 HMP Global. All Rights Reserved.
Any views and opinions expressed are those of the author(s) and/or participants and do not necessarily reflect the views, policy, or position of the Journal of Invasive Cardiology or HMP Global, their employees, and affiliates.
Abstract
Objectives. To assess the impact of concomitant mitral stenosis (MS) on early and late outcomes of transcatheter aortic valve replacement (TAVR) for aortic stenosis.
Methods. This study involved 952 patients undergoing TAVR for severe tricuspid aortic stenosis. The patients were classified into 3 groups: without MS, with progressive MS, and severe MS (mitral valve area ≤ 1.5 cm2). Clinical outcomes between these groups were compared.
Results. The median age of the overall cohort was 82 years, and patients in the progressive (n = 49) and severe (n = 24) MS groups were more likely to be female than those in the no-MS group (n = 879). Periprocedural mortality rate was lowest in the no-MS group (1.8%) compared with the progressive (4.1%) and severe (4.2%) MS groups, which were not significantly different (P = .20). During 5 years of follow-up (median: 27, range: 0-72 months), there was no significant difference in all-cause mortality (log-rank P = .99), a composite of all-cause mortality or rehospitalization for heart failure (log-rank P = .84), or cardiovascular death (log-rank P = .57) between groups. Although crude analysis showed a significant difference in rehospitalization for heart failure in the severe MS group compared with the no-MS group (P = .049), the difference was not significant in the multivariate analysis (adjusted hazard ratio: 1.36 [95% CI, 0.66-2.80], P = .41).
Conclusions. TAVR can be safely performed in patients with severe tricuspid aortic stenosis and concomitant MS, with early and mid-term outcomes comparable to those in patients without MS.
Introduction
Transcatheter aortic valve replacement (TAVR) is a well-established treatment option for patients with symptomatic severe aortic stenosis (AS) who are considered surgically inoperable or at intermediate to high risk.1-3 Reportedly, among patients with severe AS undergoing TAVR, 7% to 18% also have significant mitral stenosis (MS).4-6 The 2020 American Heart Association (AHA)/American College of Cardiology (ACC) guidelines7 recommend percutaneous mitral balloon commissurotomy in symptomatic patients with severe rheumatic MS (mitral valve area [MVA] ≤ 1.5 cm2) and favorable valve morphology. On the other hand, the guidelines also advocate for mitral valve surgery in patients with severe symptomatic rheumatic MS requiring other cardiac procedures or who are ineligible for percutaneous balloon commissurotomy.
In addition, the management of nonrheumatic calcific MS, which is increasing in prevalence among elderly patients, is not well established.7 The presence of combined AS and MS, along with the varying options for both surgical and percutaneous interventions, adds complexity to treatment decisions. This underscores the critical need for individualized treatment plans that take into account specific patient conditions and comorbidities. Therefore, it is important to determine clinical outcomes following TAVR in patients with MS.
Despite its significance, studies examining the impact of MS on TAVR outcomes remain unclear and controversial. In fact, while a report from the Society of Thoracic Surgeons (STS)/ACC Transcatheter Valve Therapies (TVT) Registry indicated that severe MS (MVA ≤ 1.5 cm2) was associated with higher in-hospital and 1-year mortality rates post-TAVR,4 data analyzed by Kurpad et al8 from the National Inpatient Sample (NIS) suggested no significant difference in outcomes between patients with and without MS. In terms of late outcomes, Sannino et al9 reported worse follow-up mortality in patients with a baseline transmitral mean pressure gradient (PG) greater than or equal to 10 mm Hg compared with those with a PG less than 5 mm Hg. However, Fischer et al5 found no negative impact of MS ≥ 5 mm Hg on TAVR outcomes. To address these discrepancies with the hypothesis “Does the presence of MS have an impact on early and late TAVR outcomes?”, this study aims to evaluate both early and late outcomes in patients undergoing TAVR according to the severity of concomitant MS.
Methods
Patients and methods. In this retrospective observational study, we reviewed the data of patients who underwent TAVR for severe tricuspid AS at our institution. From January 2018 to September 2022, a total of 1099 TAVR procedures were performed. Of these, 952 patients qualified for inclusion in our study. We excluded cases with valve-in-valve for a failed bioprosthesis (n = 114) and TAVR for bicuspid aortic stenosis (n = 24), patients who previously underwent mitral valve replacement (n = 6), and cases in which the procedure was aborted due to unsuccessful delivery of a transcatheter heart valve or was converted to surgical aortic valve replacement (SAVR) (n = 3). The observational period for this study extended through November 30, 2023.
Patients were classified into 3 groups based on the MS severity: 1) no MS, 2) progressive MS, and 3) severe MS according to the 2020 AHA/ACC guidelines. Progressive MS is defined by increased transmitral flow velocities with an MVA greater than 1.5 cm2. We considered a mean transmitral PG greater than or equal to 5 mm Hg as increased flow velocities10,11 and categorized these patients in the progressive MS group. Severe MS was categorized as a pressure-half time (PHT) greater than or equal to 150 msec or an MVA less than or equal to 1.5 cm2. MVA was estimated by the continuous equation method.
Primary outcomes of interest were periprocedural mortality, all-cause mortality, and a composite of all-cause mortality or rehospitalization for heart failure. Other outcomes of interest included other periprocedural outcomes, such as changes in New York Heart Association (NYHA) functional class and MS severity between baseline and 1-month follow-up, cardiovascular death, rehospitalization for heart failure, mitral valve intervention, all stroke, and follow-up echocardiographic data. Definitions, terminology, and reported outcomes were consistent with the STS/ACC TVT Registry and the Valve Academic Research Consortium 3 (VARC-3) criteria.12 The decision for TAVR was made by a dedicated heart team, primarily based on age and surgical risk according to the STS of Predicted Risk of Mortality (STS-PROM), as well as patient anatomy and patient-specific factors, such as frailty. The study protocol was approved by the Main Line Health Hospitals Institutional Review Board (IRB 45CFR164.512). Individual patient consent was waived due to the retrospective nature of the study.
Statistical analysis. Continuous values are presented as median (interquartile range) unless otherwise noted. The U-test and Kruskal-Wallis test were used for comparisons between 2 and 3 groups, respectively. Categorical values are reported as number (%), and the chi-square test or Fisher’s exact test was used to compare groups, as appropriate. When significant differences were observed between 3 groups, post hoc tests with the Bonferroni correction were used to determine specific group differences. For periprocedural mortality, logistic regression analysis was also performed to estimate the odds ratio between groups. Kaplan-Meier curves with the log-rank tests estimated the event-free rates for late outcomes of interest. Additionally, Cox proportional hazards models were used to estimate the hazard ratios for all-cause mortality, a composite of all-cause mortality or rehospitalization for heart failure, cardiovascular death, and rehospitalization for heart failure. In addition, forward-selection multivariate analysis was performed to adjust for confounders.
In addition to MS status, baseline and procedural variables listed in Table 1 with a P-value less than .25 were included in the multivariate model. Transmitral mean PG, PHT, and MVA were not included in the multivariate analysis to avoid collinearity with MS severity. For a few variables with missing data (< 1%), median value or the most frequent value was imputed for multivariate analyses. Echocardiographic data of transmitral mean PG in the MS patients were compared at 4 different time points: before TAVR, at 1 month, at 1 year, and at the last follow-up. The Kruskal-Wallis test was used to compare data across these 4 time points, using all available data at each time point. Additionally, the Friedman Test was conducted for the subset of patients who had complete data at all 4 time points. All P-values were 2‐sided, and a 5% level was considered significant. All analyses were conducted using the R software, version 4.2.3 (R Foundation for Statistical Computing).


Results
Baseline patient characteristics. Baseline and procedural characteristics are shown in Table 1. Of the 952 patients, 73 patients (7.7%) had MS, of whom 49 had progressive MS and 24 (2.5%) had severe MS. The overall median age of the patients was 82 years (range, 77-87 years). Notably, patients in both MS groups were more likely to be female, and body surface area was smaller in the progressive MS group, whereas STS-PROM was higher in the severe MS group compared to the no-MS group. There were also significant differences in the hemoglobin levels, left ventricular ejection fraction, and the prevalence of moderate to severe mitral and tricuspid regurgitation between the groups. In the MS group, the overall median transmitral mean PG was 6.0 mm Hg (range, 5.0-8.5 mm Hg), with a mean value of 7.1 mm Hg. There was a significant difference between the progressive and severe MS groups at comparable heart rates. The overall MVA was 1.43 cm2 (range, 1.06-1.76 cm2) and PHT was 88 msec (range, 65-117 msec), with both variables showing significant differences between the 2 groups. During the study period, the Sapien 3/3 Ultra valve (Edwards Lifesciences) was used for balloon-expandable valves. For self-expanding valves, the Evolut R/Pro/Pro+/FX valve (Medtronic) was used, and the Evolut R valve was used in only one patient in this cohort.
Periprocedural outcomes. Periprocedural results are shown in Table 2. The overall periprocedural mortality rate was 2.0%. The lowest rate was observed in the no-MS group, where the rate was 1.8%, compared with 4.1% in the progressive MS group and 4.2% in the severe MS group. However, these differences were not statistically significant. Univariate logistic regression analysis showed an odds ratio of 2.30 (95% CI, 0.51-10.3; P = .28) in the progressive vs no-MS group, and 2.35 (0.30-18.4, P = .42) in the severe vs no-MS group. Multivariate analysis also showed no significant differences in the MS status, with an adjusted odds ratio of 2.49 (0.55-11.3, P = .24) in the progressive vs no-MS group, and 1.94 (0.24-15.5, P = .53) in the severe vs no-MS group. Atrial fibrillation was found to be only one predictor of periprocedural mortality in the multivariate analysis, with an adjusted odds ratio of 3.64 (1.37-9.69).

Other periprocedural outcomes were also comparable between groups (Table 2), and NYHA class improved similarly in all groups (Figure 1). Among patients with severe MS at baseline, 12 patients were classified as having progressive MS at 1-month follow-up. Conversely, 11 patients initially classified as having progressive MS were characterized as having no MS, while 5 patients were characterized as having severe MS at 1-month follow-up.
Late outcomes. Overall, the 1-, 2-, and 5-year survival rates were 87%, 76%, and 49%, respectively. Figure 2 shows unadjusted Kaplan-Meier curves with log-rank P-values for the late outcomes of interest in the 3 groups. We found no significant difference in all-cause mortality between the 3 groups with a median follow-up period of 27 months (range, 0-72 months). A composite of all-cause mortality or cardiovascular death were also comparable (Figure 2). Table 3 shows the results of the univariate and multivariate Cox regression analyses. Although crude analysis showed a significant difference in rehospitalization for heart failure in the severe vs no-MS group (P = .049), the difference was not significant in the multivariate analysis.

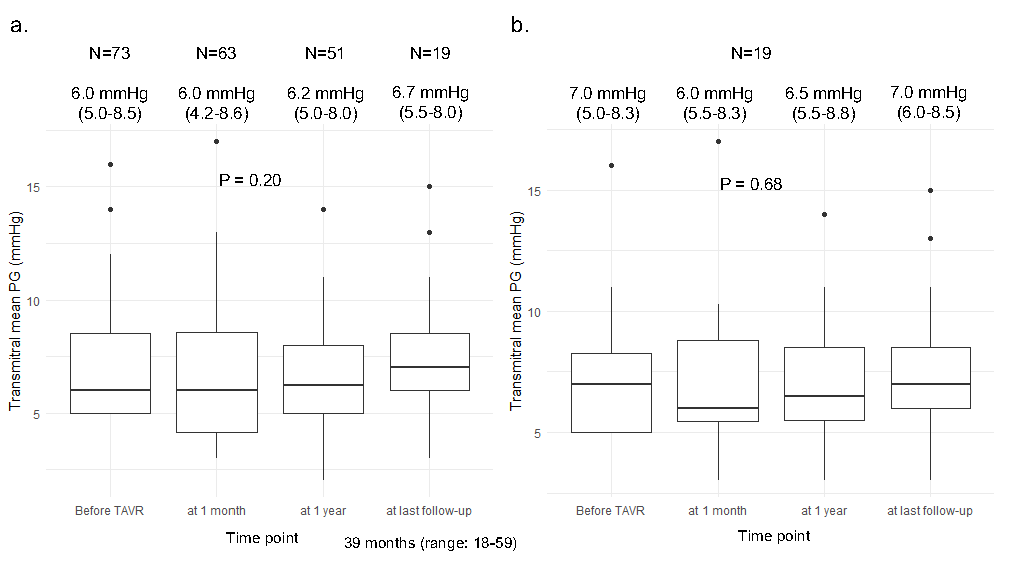
Other late outcomes were also found to be comparable between the groups in the multivariate analysis. During follow-up, a total of 5 patients required mitral valve intervention, with no significant differences between groups: 4 in the no-MS group for mitral regurgitation (n = 3, transcatheter therapies) and infective endocarditis (n = 1, open replacement), and 1 in the progressive MS group for mitral stenosis (open replacement) with a primary indication of severe tricuspid regurgitation. A total of 52 patients in the entire cohort experienced a stroke during follow-up, with no significant difference between groups (log-rank P = .28). Figure 3 shows follow-up echocardiographic data of transmitral mean PG in patients with MS. Complete data were available for 4 time points in 19 patients with a median follow-up period of 39 months (range, 18-59 months), showing no difference between time points.
Discussion
In this study, we found no significant difference in both periprocedural mortality and mid-term mortality according to the severity of MS. In addition, there was no significant difference in the incidence of stroke, cardiovascular death, rehospitalization for heart failure, or mitral valve intervention. The echocardiographic transmitral mean PG was also stable at mid-term follow-up.
The prevalence of MS in patients undergoing TAVR in our study was 7.7%, with severe MS accounting for 2.5% of the overall cohort. Although definitions of MS vary across studies, the prevalence in our cohort was consistent with previous findings. Joseph et al4 reported a 12% prevalence of MS, defined by an MVA less than or equal to 4.0 cm2, with 2.7% being severe (MVA ≤ 1.5 cm2) according to the STS/ACC TVT Registry.4 Similarly, Fischer et al5 found that 7.4% of patients had MS, defined by a transmitral mean PG greater than or equal to 5 mm Hg. Our periprocedural mortality rate of 2.0% and 1- and 5-year mortality rates of 13% and 49% were also consistent with previous studies.13,14
Joseph et al4 reported an in-hospital mortality rate of 4.1%, with significantly higher rates in patients with severe MS (5.6%) compared with those without MS (4.1%) based on the STS/ACC TVT data from the 2011 to 2015 study period. Conversely, Kurpad et al8 reported an overall in-hospital mortality rate of 1.3% and observed no significant difference between patients with and without MS based on the NIS data during the study period of 2015 to 2020. These discrepancies in outcomes may be partly attributed to the improvement in TAVR outcomes over time. According to the STS/ACC TVT Registry,13 there has been a steady improvement in 30-day mortality after TAVR, decreasing from 6.7% in 2012 to 2.4% in 2018. The accumulation of experience, risk assessment of the procedure, device improvements, and post-TAVR management may contribute to the improvement of TAVR outcomes even in patients with concomitant MS. However, the NIS data8 only identified MS patients using the 10th Revision Codes of International Classification of Diseases. Notably, only 0.86% of their cohort was diagnosed with MS, a figure significantly lower than that reported in previous studies. This raises concerns about the potential for misclassification or under-identification of MS patients in their analysis.
Despite these concerns, the findings of no difference in 30-day mortality between groups with and without MS were also supported by Fischer et al5 and Sannino et al9 Our results were in line with these studies, although our detection of a significant difference in periprocedural mortality (2% vs 4%) may have been limited by the small sample size of MS patients and insufficient statistical power. In addition, our analysis did identify atrial fibrillation as an independent predictor of periprocedural mortality. Given the frequent co-occurrence of MS and atrial fibrillation, further research is essential to accurately discern the specific impact of MS on periprocedural mortality, separate from the effects of atrial fibrillation.
Studies focusing on late outcomes after TAVR in relation to the presence of MS are quite limited and controversial, especially for follow-up periods longer than 1 year. Joseph et al4 reported worse 1-year clinical outcomes in patients with severe MS compared with those without MS in terms of all-cause mortality (24% vs 21%) and heart failure-related hospitalization. Similarly, Asami et al6 found a higher 1-year all-cause mortality rate in patients with concomitant MS (MVA ≤ 2.5 cm2, 29% vs 12%). In contrast, our study shows a more favorable mortality rate, particularly among MS patients, with no significant variances across MS severity (12% in no-MS, 17% in progressive MS, and 8% in severe MS groups). In terms of late outcomes extending beyond 1 year, Sannino et al9 reported worse survival in the patients with a transmitral mean PG greater than or equal to 10 mm Hg compared with those with a mean PG less than 5 mm Hg with a mean follow-up of 41 ± 14 months. Their findings are particularly worth mentioning, as the survival rate at 5-year follow-up was over 80% in patients with a transmitral mean PG less than 10 mm Hg. These data were quite different from those reported in the PARTNER 2 trial with a 5-year survival rate of approximately 50%, raising concerns about the applicability of their data to the general population undergoing TAVR.
Another report by Fischer et al5 showed no adverse effect of MS status on late outcomes such as all-cause mortality, a composite of all-cause mortality or rehospitalization for heart failure, or cardiovascular death. In addition, they observed a similar improvement in NYHA class 1 year after TAVR between patients with MS and without MS. Our findings were consistent with this study, and we found no trend in all-cause mortality (P = .99), a composite of all-cause mortality or rehospitalization for heart failure (P = .84) or cardiovascular death (P = .57) among the MS status. Our echocardiographic data suggested no significant progression in transmitral mean PG during a median follow-up of 39 months. These findings may support the comparable outcomes observed across the MS status in all-cause mortality and other important outcomes. However, several studies have suggested that patients with MS are at a higher risk of developing acute respiratory/decompensated heart failure shortly after TAVR.8,15 Our data also show a trend towards an increased likelihood of rehospitalization for heart failure among patients with severe MS. Again, it is important to consider that the relatively small number of patients in the severe MS group might have limited our ability to detect a significant difference in this regard.
In this study, patients rarely underwent additional interventions for MS during follow-up. There may be several reasons for this in patients with AS and concomitant MS. First, these patients are typically elderly, frail, and have multiple comorbidities, putting them at high risk for surgical intervention. Second, percutaneous balloon mitral valvuloplasty, a less invasive option, is primarily performed for rheumatic MS. However, in elderly patients, MS is primarily due to calcific valve degeneration.16 In patients with calcific MS, severe annular calcification and lack of commissural fusion often preclude the feasibility of balloon valvuloplasty. In addition, severe MS improved after TAVR in half of the patients, and the impact of “true” MS and “pseudo” MS remains unknown. Kato et al17 reported that MS improved after SAVR or TAVR in almost half of patients with severe AS and MS and that both true MS (MVA remained ≤ 2.0 cm2 after AVR) and pseudo-MS had worse mortality rates after AVR. Prospective studies with larger cohorts are needed to further clarify the impact of MS and the role of intervention for MS on the prognosis of patients with AS undergoing TAVR.
Overall, our data suggest that TAVR without mitral valve intervention is a safe and effective therapy in patients with severe tricuspid AS with MS. These findings provide valuable insights and can aid in the clinical decision-making process for treating patients with severe AS accompanied by concomitant MS.
Limitations. This study has several important limitations. First, this is a single-center retrospective study with a small cohort, especially in the progressive and severe MS groups, and the observation period is relatively short. These factors raise concerns about the robustness of the results and the statistical power to detect subtle differences, such as periprocedural outcomes or the aforementioned rehospitalization for heart failure. In addition, patient characteristics were heterogeneous between the groups. Despite our best efforts to exclude confounding factors through multivariate analysis, the potential for unknown confounders still exists. Moreover, our database did not capture potentially important factors such as degree of mitral annular calcification or etiology of MS (rheumatic or nonrheumatic). Since patients were candidates for TAVR for severe AS, MS-related parameters were not thoroughly evaluated, especially in patients without apparent MS findings or increased transmitral PG. Furthermore, echocardiographic evaluation of MS can be challenging due to calcification of mitral valve components, hemodynamics, and other concomitant valvular diseases, with each parameter having its own limitations.11 Details of heart failure management, medications, or patients’ functional status before and during follow-up, which are important aspects in studies of this nature, were also unclear. Finally, our database did not allow us to collect appropriate data before 2018, hindering our ability to analyze outcome changes over time. However, we believe that our data provide current, updated insights into real-world practice with clinical significance.
Conclusions
TAVR can be safely performed in patients with severe tricuspid AS and concomitant MS, with early and mid-term outcomes comparable to those in patients without MS.
Affiliations and Disclosures
From the 1Department of Cardiothoracic Surgery Research, Lankenau Institute for Medical Research, Wynnewood, Pennsylvania, USA; 2Department of Cardiac Surgery, St. Boniface Hospital, University of Manitoba, Winnipeg, MB, Canada; 3Department of Cardiothoracic Surgery, Lankenau Heart Institute, Main Line Health Wynnewood, Pennsylvania, USA; 4Department of Interventional Cardiology, Lankenau Heart Institute, Main Line Health Wynnewood, Pennsylvania, USA; 5Department of Cardiovascular Disease, Lankenau Heart Institute, Main Line Health Wynnewood, Pennsylvania, USA.
Disclosures: Dr Ramlawi is a consultant for Medtronic, Boston Scientific, AtriCure, Shockwave, and Corcym. The remaining authors report no financial relationships or conflicts of interest regarding the content herein.
Address for correspondence: Yoshiyuki Yamashita MD, PhD, Department of Cardiothoracic Surgery Research, Lankenau Institute for Medical Research, 100E Lancaster Ave., Wynnewood, PA 19096, USA. Email: YamashitaY@mlhs.org
References
1. Vahanian A, Beyersdorf F, Praz F, et al. 2021 ESC/EACTS Guidelines for the management of valvular heart disease. EuroIntervention. 2022;17(14):e1126-e1196. doi: 10.4244/EIJ-E-21-00009
2. Smith CR, Leon MB, Mack MJ, et al. Transcatheter versus surgical aortic-valve replacement in high-risk patients. N Engl J Med. 2011;364(23):2187-2198. doi: 10.1056/NEJMoa1103510
3. Reardon MJ, Van Mieghem NM, Popma JJ, et al. Surgical or transcatheter aortic-valve replacement in intermediate-risk patients. N Engl J Med. 2017;376(14):1321-1331. doi: 10.1056/NEJMoa1700456
4. Joseph L, Bashir M, Xiang Q, et al. Prevalence and outcomes of mitral stenosis in patients undergoing transcatheter aortic valve replacement: Findings from the Society of Thoracic Surgeons/American College of Cardiology Transcatheter Valve Therapies Registry. JACC Cardiovasc Interv. 2018;11(7):693-702. doi: 10.1016/j.jcin.2018.01.245
5. Fischer Q, Himbert D, Bernier M, et al. Impact of moderate to severe mitral stenosis in patients undergoing transcatheter aortic valve replacement. Int J Cardiol. 2019;286:36-42. doi: 10.1016/j.ijcard.2019.03.053
6. Asami M, Windecker S, Praz F, et al. Transcatheter aortic valve replacement in patients with concomitant mitral stenosis. Eur Heart J. 2019;40(17):1342-1351. doi: 10.1093/eurheartj/ehy834
7. Otto CM, Nishimura RA, Bonow RO, et al. 2020 ACC/AHA guideline for the management of patients with valvular heart disease: A report of the American College of Cardiology/American Heart Association Joint Committee on Clinical Practice Guidelines. J Thorac Cardiovasc Surg. 2021;162(2):e183-e353. doi: 10.1016/j.jtcvs.2021.04.002
8. Kurpad KP, Haider MZ, Garg N, et al. Is concomitant mitral stenosis associated with worse outcomes in patients who underwent TAVR? Insights from a national database. Am J Cardiol. 2023;209:85-88. doi: 10.1016/j.amjcard.2023.09.076
9. Sannino A, Potluri S, Pollock B, et al. Impact of mitral stenosis on survival in patients undergoing isolated transcatheter aortic valve implantation. Am J Cardiol. 2019;123(8):1314-1320. doi: 10.1016/j.amjcard.2019.01.017
10. Izumi C, Eishi K, Ashihara K, et al; Japanese Circulation Society Joint Working Group. JCS/JSCS/JATS/JSVS 2020 Guidelines on the Management of Valvular Heart Disease. Circ J. 2020;84(11):2037-2119. doi: 10.1253/circj.CJ-20-0135
11. Baumgartner H, Hung J, Bermejo J, et al; American Society of Echocardiography; European Association of Echocardiography. Echocardiographic assessment of valve stenosis: EAE/ASE recommendations for clinical practice. J Am Soc Echocardiogr. 2009;22(1):1-23. doi: 10.1016/j.echo.2008.11.029
12. Généreux P, Piazza N, Alu MC, et al. Valve Academic Research Consortium 3: updated endpoint definitions for aortic valve clinical research. J Am Coll Cardiol. 2021;77(21):2717-2746. doi: 10.1016/j.jacc.2021.02.038
13. Arnold SV, Manandhar P, Vemulapalli S, et al. Mediators of improvement in TAVR outcomes over time: Insights from the STS-ACC TVT registry. Circ Cardiovasc Interv. 2023;16(7):e013080. doi: 10.1161/CIRCINTERVENTIONS.123.013080
14. Hahn RT, Webb J, Pibarot P, et al. 5-year follow-up from the PARTNER 2 aortic valve-in-valve registry for degenerated aortic surgical bioprostheses. JACC Cardiovasc Interv. 2022;15(7):698-708. doi: 10.1016/j.jcin.2022.02.014
15. Okai T, Mizutani K, Hara M, et al. Presence of mitral stenosis is a risk factor of new development of acute decompensated heart failure early after transcatheter aortic valve implantation. Open Heart. 2020;7(2):e001348. doi: 10.1136/openhrt-2020-001348
16. Elkaryoni A, Hussain F, Chahine N, et al. In-hospital and readmission outcomes with percutaneous balloon mitral valvuloplasty. Curr Probl Cardiol. 2022;47(12):101367. doi: 10.1016/j.cpcardiol.2022.101367
17. Kato N, Padang R, Pislaru C, et al. Hemodynamics and prognostic impact of concomitant mitral stenosis in patients undergoing surgical or transcatheter aortic valve replacement for aortic stenosis. Circulation. 2019;140(15):1251-1260.
doi: 10.1161/CIRCULATIONAHA.119.040679


