Impact of Large Thrombus Burden on Very Long-Term Clinical Outcomes in Patients Presenting With ST-Segment Elevation Myocardial Infarction
Abstract
Objectives. The impact of large thrombus burden (LTB) on very long-term clinical outcomes in patients with ST-segment elevation myocardial infarction (STEMI) is unknown. We compared very long-term clinical outcomes in STEMI patients with either LTB or small thrombus burden (STB). Methods. Between 2002 and 2004, thrombus burden (TB) was evaluated in consecutive patients with STEMI undergoing percutaneous coronary intervention (PCI). In occluded infarct-related arteries, TB was reclassified after flow restoration. LTB was defined as thrombus ≥2 vessel diameters. Major adverse cardiac event (MACE) rate was evaluated at 10-year follow-up and survival data were collected up to 15 years post PCI. Results. A total of 812 patients were enrolled, and TB assessment was available for 806 patients (99.3%); 580 patients (72.0%) had STB and 226 patients (28.0%) had LTB. Patients with LTB experienced more no reflow (4.0% vs 0.5%; P<.01) and distal embolization (17.3% vs 3.4%; P<.001) than STB patients. Ten-year MACE rate (42.5% vs 42.4%; P=.59), 10-year mortality rate (27.0% vs 26.4%; P=.75), and 15-year mortality rate (31.9% vs 35.9%; P=.29) were similar between STB and LTB groups, respectively. By landmark analysis, MACE rate was higher in the LTB group (15.9% vs 8.8%; P<.01) at 30 days, but not beyond (31.6% vs 36.9%; P=.28). There was no difference in mortality at any time point (at 30 days, 9.7% vs 6.2%; P=.08; beyond 30 days, 17.3% vs 20.5%; P=.48). LTB was an independent predictor of MACE at 30 days post PCI (hazard ratio, 1.60; 95% confidence interval, 1.01-2.51; P=.04). Conclusions. In STEMI patients, LTB might identify a subpopulation at high risk of no-reflow, distal embolization, and early ischemic events, but is not associated with worse clinical outcomes at long-term follow-up.
J INVASIVE CARDIOL 2021;33(11):E900-E909.
Key words: mortality, ST-segment elevation myocardial infarction, thrombus burden
Introduction
In patients with ST-segment elevation myocardial infarction (STEMI) undergoing primary percutaneous coronary intervention (PCI), large thrombus burden (LTB) is associated with distal embolization, no reflow, and impaired reperfusion translating into larger infarct size.1-7 Thrombus burden (TB) is classified by visual angiographic assessment of the thrombus size compared to the diameter of the infarct-related vessel.2 The Thrombolysis in Myocardial Infarction (TIMI) thrombus classification consists of 6 grades from grade 0 (no thrombus) to grade 5 (total occlusion).8 Grade 5 represents an occluded infarct-related artery (IRA) and prevents thrombus size assessment. To overcome this limitation, Sianos et al proposed to reclassify grade 5 after guidewire crossing or small (diameter, 1.5 mm) deflated balloon passage or dilation; LTB was then defined as ≥2 vessel diameters.4
Previous studies demonstrated that LTB is an independent predictor of early mortality, repeat myocardial infarction, and IRA revascularizations.4,9 However, the very long-term clinical impact of LTB on mortality and major adverse cardiac event (MACE) rates in STEMI patients undergoing primary PCI is unknown. The aim of this study was to investigate the very long-term clinical impact of TB in STEMI patients undergoing primary PCI with first-generation drug-eluting stent (DES) implantation.
Methods
Data from all consecutive STEMI patients who underwent primary PCI between April 2002 and December 2004 at the Erasmus University Medical Center (EMC) in Rotterdam, the Netherlands, were assessed retrospectively. Only patients treated with DES were included in the study. Patients with non-quantifiable thrombus burden were excluded.
Demographic and clinical characteristics were collected. Two experienced interventional cardiologists reviewed all index angiograms and determined TIMI flow and thrombus classification, as previously described.4 PCI was performed according to standard clinical practice. Before the procedure, all patients received a loading dose of aspirin and clopidogrel. Thrombectomy and glycoprotein IIb/IIIa inhibitor (GPI) treatment were at the operator’s discretion. All patients were discharged with dual-antiplatelet therapy, which was prescribed for at least 6 months according to the recommendations at that time.
The medical ethics committee of the EMC reviewed the study protocol and waived the need for additional informed consent due to the non-interventional nature of this study using anonymous data collection. The investigation conforms to the principles outlined in the Declaration of Helsinki.
Angiographic analysis. Intracoronary thrombus was angiographically evaluated and classified into 6 grades in accordance with TIMI thrombus grade classification:8 grade 0 (G0) = no angiographic characteristics of thrombus are present; grade 1 (G1) = possible thrombus is present, with such angiographic characteristics as reduced contrast density, haziness, irregular lesion contour, or a smooth convex meniscus suggestive but not diagnostic of thrombus; grade 2 (G2) = definite thrombus with greatest dimensions ≤1/2 of the vessel diameter; grade 3 (G3) = definite thrombus with greatest linear dimension >1/2 but <2 vessel diameters; grade 4 (G4) = definite thrombus with the largest dimension at least 2 vessel diameters; grade 5 (G5) = total occlusion.
As proposed by Sianos et al,4 in patients with an occluded IRA, G5 was reclassified into one of the others categories after flow achievement with either wire crossing or a small (diameter, 1.5 mm) deflated balloon passage or dilation, but before thrombectomy. After G5 reclassification, the population was stratified in 2 groups: LTB, defined as thrombus ≥G4 or small thrombus burden (STB), defined as thrombus <G4.
Clinical follow-up. Survival data of all patients were obtained from municipal civil registries in the Netherlands. Successively, a health questionnaire was sent to all of the living patients with specific questions on adverse cardiac events. If necessary, referring cardiologists and general practitioners were contacted for additional information. Medical records and discharge letters from other hospitals were consulted. Follow-up was performed at 10 years. At 15 years, only survival data were collected.
Clinical outcomes were evaluated in terms of all-cause mortality and MACE, defined as all-cause mortality, repeat myocardial infarction (MI), and target-vessel revascularization (TVR). TVR was defined as any repeat percutaneous intervention or surgical bypass of any segment of the IRA.
Statistical analysis. Categorical variables were presented as frequencies and percentages, and were compared using the Pearson chi-square test or the Fisher’s exact test where the expected value in any cell was <5. Continuous variables are presented as the mean ± standard deviation and were compared using the Student's t-test. Kaplan-Meier curves were constructed for the cumulative mortality and MACE at 10-year follow-up and statistical differences between groups were assessed by log-rank test of significance. Landmark analysis was performed for MACE and mortality with a 30-day landmark point.
Cox Regression analysis was performed to estimate hazard ratio (HR) and 95% confidence intervals (CIs) identifying the independent predictors of mortality and MACE at 30 days and 10 years. Baseline clinical, angiographic, and procedural variables with a level of P≤.10 in the univariate regression analysis were entered into a multivariate Cox model, and LTB was forced into the model to estimate its independent effect along with the other predictors of clinical outcomes. All statistical tests were 2-sided and a P-value of <.05 was considered to indicate statistical significance. Statistical analyses were performed using the SPSS statistical software package for Windows, version 25.0 (IBM).
Results
From April 2002 to December 2004, a total of 812 patients with STEMI were treated with PCI and DES in our institution. Out of the total population, 806 patients (99.3%) were included in the analysis and 6 patients (0.7%) were excluded due to inadequate angiographic images for TB assessment. A total of 797 patients (98.9%) had complete 10-year follow-up. Survival status was investigated up to 15 years.
More than half of the patients (n = 456; 56.6%) had an occluded IRA (G5). Reclassification of G5 into one of the other thrombus categories (G0 to G4) was feasible after wire crossing in 454 patients (99.6%); in the remaining 2 patients (0.4%), G5 remained classified as G5 with no distal flow (Figure 1). After G5 reclassification, 580 patients (72.0%) had STB and 226 patients (28.0%) had LTB.
Baseline characteristics were well balanced between the 2 groups except for the percentage of patients with previous PCI, which was higher in the LTB group vs the STB group (9.7% vs 4.1%, respectively; P<.01) (Table 1).
Angiographic and procedural characteristics are summarized in Table 2. Thrombectomy was performed only in a minority of the patient population (63 patients; 7.8% of the total) and in all cases with a rheolytic thrombectomy system (Possis Medical). The LTB group had higher rates of thrombus aspiration (26.2% vs 0.7%; P<.001) and GPI administration (66.8% vs 44.0%; P<.001) compared with the STB group. Patients with LTB had a higher occurrence of no reflow (4.0% vs 0.5%; P<.01) and distal embolization (17.3% vs 3.4%; P<.001) than patients with STB.
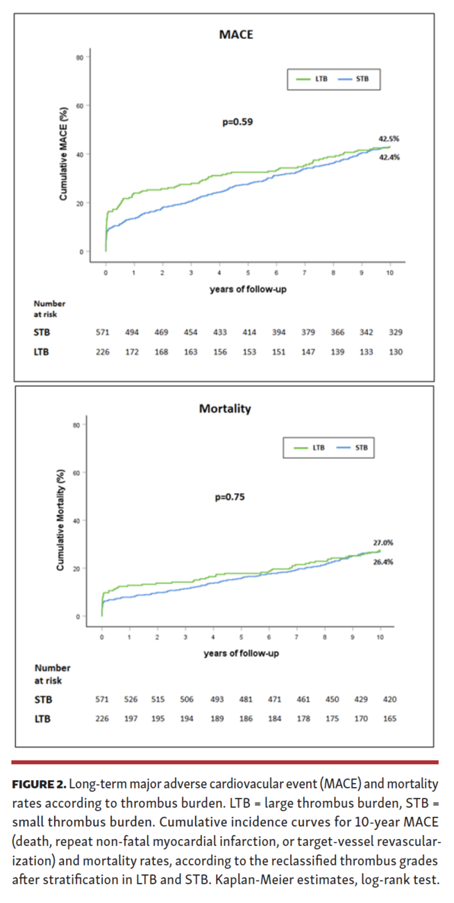
At 10 years, the mortality rate was 26.6% (n = 212), MACE rate was 42.4% (n = 338), MI rate was 14.2% (n = 113), and TVR rate was 13.8% (n = 110) in the overall population. The 10-year mortality and MACE rates between the 2 groups were similar (LTB 27.0% vs STB 26.4% [P=.75] and LTB 42.5% vs STB 42.4% [P=.59], respectively) (Figure 2). Similarly, no differences occurred in the 2 groups for MI (LTB 15.5% vs STB 13.7%; P=.51) and TVR (LTB 17.3% vs STB 12.4%; P=.08).
At 15 years, overall mortality rate was 34.8% (n = 277), with 31.9% in the LTB group vs 35.9% in the STB group (P=.29).
The landmark analysis showed a trend for a higher mortality rate in the presence of LTB in the first 30 days (LTB 9.7% vs STB 6.2%; P=.08). Beyond 30 days, there was no difference between the 2 groups (LTB 17.3% vs STB 20.5%; P=.48) (Figure 3).
The landmark analysis for MACE demonstrated a significantly higher rate of events in patients with LTB at short term (30 days) in comparison with patients with STB (15.9% vs 8.8%, respectively; P<.01). Thereafter, rates of MACE were comparable between patients with LTB and STB (31.6% vs 36.9%, respectively; P=.28) (Figure 3).
At 30 days, MI occurred in 2.8% (LTB 4.9% vs STB 1.9%; P=.02) and TVR in 3.4% (LTB 6.6% vs STB 2.1%; P<.01).
LTB was not an independent predictor of MACE at 10 years (HR, 1.01; 95% CI, 0.79-1.28; P=.97) (Table 3) or 10-year mortality (HR, 1.31; 95% CI, 0.95-1.82; P=.11) (Table 4). LTB was an independent predictor of 30-day MACE (HR, 1.60; 95% CI, 1.01-2.51; P=.04) (Table 5), but not of 30-day mortality (HR, 1.54; 95% CI, 0.87-2.70; P=.14) (Table 6).
Discussion
The main findings of the present study are: (1) the majority of thrombotic coronary occlusions are caused by STB and reclassification after wire or small balloon passage might be instrumental in identifying lesions with a large amount of thrombotic material; (2) LTB was associated with increased rate of no reflow or distal embolization; (3) LTB showed a major impact on short-term clinical outcomes, but was clinically not relevant in the long-term follow-up.
An appropriate evaluation of the real amount of thrombotic material is key when analyzing the impact of various degrees of TB on clinical outcomes.4,7 In our study, TB was evaluated after reclassification, considering that the total occlusion of the IRA (G5) might hide the real amount of the thrombus, reflecting only the state of flow. This methodology allowed a reclassification of baseline G5 into STB in a large part of cases (67.5%) and globally leading to an improved quantification of the real amount of thrombotic material in 99.6% of the lesions, showing applicability in routine clinical practice.
In our observation, LTB represented an 8-times higher risk for no reflow and 5-times higher risk for distal embolization. Therefore, appropriate identification of highly thrombotic lesions might be useful in the stratification of no reflow or distal embolization risk. Such stratification appears relevant given the association between these 2 reperfusion parameters with infarct size and cardiac events.10-14
In the present study, LTB was observed to have an impact on short-term clinical outcomes, namely, at 30-day follow-up after index procedure with an increase in MACE driven by a high rate of recurrent MI and TVR. At very long-term follow-up, TB appeared to play a negligible role in terms of clinical outcomes.
Truly highly thrombotic lesions might impair optimal vessel lumen visualization and stent sizing, possibly translating into stent underexpansion and malapposition.15 Such suboptimal stent placements in a prothrombotic milieu could contribute to a higher chance of early recurrent ischemic event rates, as observed in our study.16 After vessel healing, thrombus dissolution, and stent strut coverage, the clinical impact of thrombus burden may no longer be clinically relevant.
In our study, approximately one-quarter of STEMI patients presented with LTB and were at risk for early ischemic complications. Conceivably, these patients may be candidates for additional therapeutic strategies to reduce TB.
Current STEMI guidelines recommend GPIs in bail-out situations only, including high TB or thrombotic complications, although specific studies focusing on these subgroups are lacking.17 Our analysis showed that the administration of GPIs was an independent predictor of reduced mortality at short-term follow-up, in line with previous meta-analyses,18,19 but also at very long-term follow-up. The protective effect on very long-term mortality could underline the role of an early and effective platelet inhibition reducing no reflow, distal embolization, and acute thrombosis, leading to an improved myocardial reperfusion, beyond coronary recanalization.8 Furthermore, the intravenous P2Y12 inhibitor cangrelor may preferentially suit patients at high thrombotic risk, given its fast onset.20 Cangrelor has been associated with fewer ischemic events, in particular, acute stent thrombosis and MI after PCI. Its role in clinical practice is unsettled and its adoption seems currently restricted to primary PCI.21-23
In the present study, thrombectomy was performed in a small number of patients. Conceivably, as opposed to a routine application in primary PCI, thrombectomy may particularly benefit patients with a large TB. Indeed, thrombectomy was associated with a numerical reduction in cardiovascular deaths in patients with high TB.24-27
In conclusion, the reclassification of TB in patients presenting with acute MI might help in identifying patients at high risk of early thrombotic events and this subpopulation may experience short-term benefit from additional thrombus-reducing strategies.
Study limitations. This single-center, retrospective, observational study has inherent limitations. The patient sample stems from 18 years ago. Variables including left ventricular ejection fraction, renal function, lesion characteristics, stent length, and stent diameter were not systematically collected at that time and were not retractable from the old charts. A percentage of the population underwent rescue PCI and potential TB modification cannot be excluded. Only first-generation DES devices were implanted. Dual-antiplatelet therapy was prescribed for at least 6 months according to the recommendations at that time. A limited number of patients underwent thrombectomy per the operator’s discretion.
Conclusion
LTB is present in a quarter of STEMI patients. It is associated with a higher risk of no reflow, distal embolization, and early ischemic events, but does not affect very long-term survival.
Affiliations and Disclosures
From the Department of Interventional Cardiology, Thoraxcenter, Erasmus University Medical Centre, Rotterdam, The Netherlands.
Disclosure: The authors have completed and returned the ICMJE Form for Disclosure of Potential Conflicts of Interest. The authors report no conflicts of interest regarding the content herein.
Manuscript accepted January 4, 2021.
Address for correspondence: Roberto Diletti, MD, PhD, Interventional Cardiology, Thoraxcenter, Erasmus MC, Dr. Molewaterplein 40, 3015 GD Rotterdam, The Netherlands. Email: r.diletti@erasmusmc.nl
References
1. Miranda-Guardiola F, Rossi A, Serra A, et al. Angiographic quantification of thrombus in ST-elevation acute myocardial infarction presenting with an occluded infarct-related artery and its relationship with results of percutaneous intervention. J Interv Cardiol. 2009;22:207-215.
2. Yip HK, Wu CJ, Chang HW, et al. Impact of tirofiban on angiographic morphologic features of high-burden thrombus formation during direct percutaneous coronary intervention and short-term outcomes. Chest. 2003;124:962-968.
3. Napodano M, Dariol G, Al Mamary AH, et al. Thrombus burden and myocardial damage during primary percutaneous coronary intervention. Am J Cardiol. 2014;113:1449-1456.
4. Sianos G, Papafaklis MI, Daemen J, et al. Angiographic stent thrombosis after routine use of drug-eluting stents in ST-segment elevation myocardial infarction: the importance of thrombus burden. J Am Coll Cardiol. 2007;50:573-583.
5. Marti D, Salido L, Mestre JL, et al. Impact of thrombus burden on procedural and mid-term outcomes after primary percutaneous coronary intervention. Coron Artery Dis. 2016;27:169-175.
6. Dong-bao L, Qi H, Zhi L, Shan W, Wei-ying J. Predictors and short-term prognosis of angiographically detected distal embolization after emergency percutaneous coronary intervention for ST-elevation acute myocardial infarction. Clin Res Cardiol. 2009;98:773-779.
7. Sianos G, Papafaklis MI, Serruys PW. Angiographic thrombus burden classification in patients with ST-segment elevation myocardial infarction treated with percutaneous coronary intervention. J Invasive Cardiol. 2010;22(10 Suppl B):6B-14B.
8. Gibson CM, de Lemos JA, Murphy SA, et al. Combination therapy with abciximab reduces angiographically evident thrombus in acute myocardial infarction: a TIMI 14 substudy. Circulation. 2001;103:2550-2554.
9. Jolly SS, Cairns JA, Lavi S, et al. Thrombus aspiration in patients with high thrombus burden in the TOTAL trial. J Am Coll Cardiol. 2018;72:1589-1596.
10. Fokkema ML, Vlaar PJ, Svilaas T, et al. Incidence and clinical consequences of distal embolization on the coronary angiogram after percutaneous coronary intervention for ST-elevation myocardial infarction. Eur Heart J. 2009;30:908-915.
11. De Luca G, van 't Hof AW, de Boer MJ, et al. Impaired myocardial perfusion is a major explanation of the poor outcome observed in patients undergoing primary angioplasty for ST-segment-elevation myocardial infarction and signs of heart failure. Circulation. 2004;109:958-961.
12. Henriques JP, Zijlstra F, Ottervanger JP, et al. Incidence and clinical significance of distal embolization during primary angioplasty for acute myocardial infarction. Eur Heart J. 2002;23:1112-1117.
13. Ito H, Maruyama A, Iwakura K, et al. Clinical implications of the ‘no reflow’ phenomenon. A predictor of complications and left ventricular remodeling in reperfused anterior wall myocardial infarction. Circulation. 1996;93:223-228.
14. Topol EJ, Yadav JS. Recognition of the importance of embolization in atherosclerotic vascular disease. Circulation. 2000;101:570-580.
15. Adriaenssens T, Joner M, Godschalk TC, et al. Optical coherence tomography findings in patients with coronary stent thrombosis: a report of the PRESTIGE consortium (prevention of late stent thrombosis by an interdisciplinary global European effort). Circulation. 2017;136:1007-1021.
16. Souteyrand G, Amabile N, Mangin L, et al. Mechanisms of stent thrombosis analysed by optical coherence tomography: insights from the national PESTO French registry. Eur Heart J. 2016;37:1208-1216.
17. Ibanez B, James S, Agewall S, et al. 2017 ESC guidelines for the management of acute myocardial infarction in patients presenting with ST-segment elevation: the task force for the management of acute myocardial infarction in patients presenting with ST-segment elevation of the European Society of Cardiology (ESC). Eur Heart J. 2018;39:119-177.
18. De Luca G, Suryapranata H, Stone GW, et al. Abciximab as adjunctive therapy to reperfusion in acute ST-segment elevation myocardial infarction: a meta-analysis of randomized trials. JAMA. 2005;293:1759-1765.
19. Valgimigli M, Biondi-Zoccai G, Tebaldi M, et al. Tirofiban as adjunctive therapy for acute coronary syndromes and percutaneous coronary intervention: a meta-analysis of randomized trials. Eur Heart J. 2010;31:35-49.
20. Erlinge D. Cangrelor for ST-segment-elevation myocardial infarction. Circulation. 2019;139:1671-1673.
21. Stone GW, Genereux P, Harrington RA, et al. Impact of lesion complexity on peri-procedural adverse events and the benefit of potent intravenous platelet adenosine diphosphate receptor inhibition after percutaneous coronary intervention: core laboratory analysis from 10 854 patients from the CHAMPION PHOENIX trial. Eur Heart J. 2018;39:4112-4121.
22. Steg PG, Bhatt DL, Hamm CW, et al. Effect of cangrelor on periprocedural outcomes in percutaneous coronary interventions: a pooled analysis of patient-level data. Lancet. 2013;382:1981-1992.
23. Grimfjard P, Lagerqvist B, Erlinge D, Varenhorst C, James S. Clinical use of cangrelor: nationwide experience from the Swedish Coronary Angiography and Angioplasty Registry (SCAAR). Eur Heart J Cardiovasc Pharmacother. 2019;5:151-157.
24. Neumann FJ, Sousa-Uva M, Ahlsson A, et al. 2018 ESC/EACTS guidelines on myocardial revascularization. Eur Heart J. 2019;40:87-165.
25. Jolly SS, James S, Dzavik V, et al. Thrombus aspiration in ST-segment-elevation myocardial infarction: an individual patient meta-analysis: Thrombectomy Trialists Collaboration. Circulation. 2017;135:143-152.
26. Jolly SS, Cairns JA, Yusuf S, et al. Randomized trial of primary PCI with or without routine manual thrombectomy. N Engl J Med. 2015;372:1389-1398.
27. Levine GN, Bates ER, Blankenship JC, et al. 2015 ACC/AHA/SCAI focused update on primary percutaneous coronary intervention for patients with ST-elevation myocardial infarction: an update of the 2011 ACCF/AHA/SCAI guideline for percutaneous coronary intervention and the 2013 ACCF/AHA guideline for the management of ST-elevation myocardial infarction. J Am Coll Cardiol. 2016;67:1235-1250.


