Efficacy of Transpedal Retrograde Approach in Endovascular Treatment of Patients With Buerger’s Disease
Abstract
Background. Endovascular treatment of Buerger’s disease is challenging, which usually impedes antegrade revascularization options. We aimed to evaluate the effectiveness of transpedal retrograde approach in patients with Buerger’s disease with ambiguous proximal caps and/or previously failed endovascular intervention via antegrade approach. Methods. Eighteen patients with the diagnosis of Buerger’s disease who had previously failed antegrade endovascular interventions and/or ambiguous proximal caps were enrolled. Baseline demographic characteristics, severity of critical limb-threatening ischemia, wound scores, postprocedural pedal loop scores, and recovery or amputation rates were recorded. Results. The patients presented with ischemic rest pain (n = 5, Rutherford stage 4), ischemic ulcers with minor tissue loss (n = 8, Rutherford stage 5), and severe ischemic ulcers or gangrene with major tissue loss (n = 5, Rutherford stage 6). Preprocedural wound score according to Saint Elian Wound Score System (SEWSS) was 15.72 ± 5.05. Retrograde transpedal puncture was achieved with an 89% success rate. Postintervention angiographic success rate was 100%. Postintervention Rutherford stage improved compared with preprocedural Rutherford stages (P<.01). In addition, the average SEWSS score decreased significantly after the interventions (P<.001). Postprocedural pedal loop score was found to be associated with SEWSS scores and amputation rates. Conclusions. Transpedal retrograde approach is a technically feasible and potentially effective treatment modality for Buerger’s disease and may be considered as a first-line treatment option in the treatment of limb salvage, especially when proximal caps of target vessels are ambiguous or antegrade approach is unsuccessful.
Keywords: Buerger’s disease, critical limb threatening ischemia, transpedal retrograde approach
Buerger’s Disease is a non-atherosclerotic segmental peripheral vascular disease that affects small- and medium-sized arteries and veins. It is also known as thromboangiitis obliterans (TAO) and inflammatory cell rich thrombus formations in the affected vessels obstruct the extremity arteries and veins, which leads to ischemic pain and ulcers. TAO is predominantly more common in men and is usually diagnosed before the fifth decade of life.1-3 Although heavy tobacco use has been shown to be linked with TAO, the exact underlying pathophysiology of the disease remains unclarified. There is a wide variety of symptoms and signs including claudication intermittans, critical limb ischemia, and ulcers, which may involve both the lower and upper extremities. Once chronic limb-threatening ischemia (CLTI) occurs, skin ulcers and gangrene may develop and result in amputations of the affected limb if left untreated. Hence, TAO has unique morphological properties and inflammatory nature compared with atherosclerotic peripheral vascular disease, and treatment strategies including medical therapy, endovascular interventions, and surgery fail to achieve optimal treatment results. In addition, the prognosis of TAO is worse than atherosclerotic vascular disease.3-5
Cessation of tobacco use is the only proven treatment strategy in terms of suppressing disease progression and preventing amputations.6,7 Medical therapy, including calcium-channel blockers, nitrates, prostacyclin, and phosphodiesterase inhibitors, has limited value, especially in patients with CLTI and ulcers.8,9 In addition, the curative role of other therapies such as hyperbaric oxygen, bosentan, and autologous bone marrow mononuclear cell implantation remains unclear because of limited data.10-12 Vascular surgery by using autogenous vein-bypass techniques has been used in TAO patients with lower-extremity CLTI and ulcers; however, unsatisfactory results were reported since the lesions were predominantly distal in most of the cases.13 Alternative therapies such as sympathectomy, adrenalectomy, and spinal cord stimulation have also been tried in TAO patients; however, the efficacy to prevent limb loss with either therapy has been disappointing.14,15 Herein, endovascular revascularization has become an effective and promising option in TAO patients with CLTI and ulcers in whom the risk of amputation is likely if occlusive lesions are not recanalized. However, the technical feasibility is challenging because of lesion characteristics such as small vessel size, extensive corkscrew collaterals near the proximal and distal caps, compromised run-off at the distal vessel bed, and ambiguous proximal caps to penetrate the lesions.16 In particular, antegrade penetration of the culprit lesions and wiring the true lumen distal to the occlusion and performing subsequent recanalization techniques are mostly difficult, which in turn leads to interventional failure. Therefore, different approaches have been developed to succeed in wire penetration, passage, and subsequent revascularization of the affected vessel. Of these, retrograde transpedal recanalization is a promising technique that may offer high technical success in TAO patients. In this study, we aimed to evaluate the effect of retrograde transpedal recanalization of TAO patients with ambiguous proximal caps and/or previously failed endovascular intervention via antegrade approach.
Methods
Study population. The present retrospective study evaluated 46 patients with the diagnosis of TAO who underwent endovascular interventions between January 2015 and January 2020. The diagnosis of TAO was confirmed according to Olin’s criteria.4 Accordingly, a thorough examination including the evaluation of clinical characteristics (age <45 years, current or recent history of smoking, claudication, pain at rest, ischemic ulcers or gangrenous area(s) involving distal extremities documented by non-invasive vascular tests), exclusion of specific conditions (autoimmune diseases, hypercoagulable states and diabetes mellitus), exclusion of proximal source of emboli by echocardiography or arteriography, and consistent angiographic findings such as corkscrew collaterals and extensive arterial occlusions was performed and the diagnosis of the study population was performed. Of these 46 patients, 18 participants who had failed antegrade endovascular interventions and/or ambiguous proximal caps underwent retrograde transpedal endovascular recanalization procedures and enrolled in the study. Failed antegrade approach was defined as failure to penetrate the proximal cap and/or to achieve distal luminal re-entry. Ambiguous cap was defined as the arterial occlusive lesions in which there was inability to unequivocally determine the proximal entry point. Proximal cap ambiguity was diagnosed via prior angiography and patients with ambiguous caps were referred to retrograde transpedal intervention without an attempt with antegrade approach.
All patients were evaluated before the interventions with physical examination, ankle-brachial index (ABI) measurements, and at least 1 imaging modality such as duplex ultrasound and/or computed tomography (CT) angiography. Aspirin (81-100 mg/day) and clopidogrel (75 mg/day) combination was initiated to all patients at least 24 hours before the procedures. Baseline demographic characteristics, severity of CLTI, wound scores, technical details of endovascular interventions, and recovery or amputation rates were recorded for all participants. The severity of CLTI was classified according to Rutherford classification. Wound evaluation was done using the Saint Elian Wound Score System (SEWSS), which checks different variables (anatomical, aggravating factors, and the extent of tissue involvement) and constitutes a score ranging from 6 to 30.17 Follow-up with clinical assessment and Doppler ultrasound was performed in all the participants at 1 month and 6 months after the procedures. Written informed consent was obtained from all patients and the study protocol was carried out according to the ethical guidelines of the Declaration of Helsinki and approved by the local ethics committee.
Retrograde transpedal endovascular procedures. Access with either contralateral femoral crossover or ipsilateral femoral antegrade approach was left to the discretion of the operator. In femoral crossover cases, iliac bifurcation was crossed with 0.035-inch hydrophilic guidewires and right Judkins (JR) diagnostic catheters and after engaging the superficial femoral artery (SFA) at the lesion site, 6.5-Fr x 90-cm sheathless guiding catheter (Asahi Intecc) was inserted after removal of JR diagnostic catheters. Local anesthesia with 2% prilocaine hydrochloride was used at the puncture sites. In cases of ipsilateral antegrade approach, 6-Fr x 10-cm-long Radifocus Introducer II sheaths (Terumo) were inserted into the SFA under fluoroscopic guidance. Angiography of the limb involving the pedal arteries was performed with manual contrast injection. Anatomic distal run-off scores were calculated (including tibial vessel run-off) as previously defined and described.18
After confirming distal run-off and a proper distal segment consistent with the angiosome concept, transpedal puncture was performed using a micropuncture entry needle with guidance by antegrade contrast injection. Anteroposterior and lateral views were used in puncturing the dorsalis pedis artery and tibialis posterior artery, respectively. However, the peroneal artery—a difficult access site—was punctured in contralateral 30° oblique view while the patient’s hip was abducted and externally rotated with slight knee flexion. Five-Fr x 10-cm-long Radifocus Introducer II sheaths were inserted in cases wherein the distal vascular bed was long enough for cannulation. Heparin 5000 IU and nitroglycerin 100-200 µg were administered into the artery via 5-Fr sheath in order to prevent vasospasm and thrombosis of the pedal arteries. Heparin 100 IU/kg was targeted in all cases and additional heparin was given according to body weight. Periprocedural anticoagulation was adjusted based on activated clotting time (ACT) measurements during the procedures. Figure 1 demonstrates transpedal access via 5-Fr sheath insertion into the dorsalis pedis artery for retrograde percutaneous revascularization of totally occluded popliteal and superficial femoral arteries in a patient with Buerger’s disease.
In patients who had no sufficient landing zone for sheath insertion, specific guidewires such as Fielder FC and/or Fielder XT (Asahi Intecc) were used to advance in the vessel with the support of a dedicated microcatheter (135-cm Corsair Pro; Asahi Intecc). Intraluminal and subintimal crossing techniques such as controlled antegrade and retrograde subintimal tracking (CART), reverse CART, and subintimal tracking and re-entry (STAR) were used for crossing the lesions and wiring the target vessels. The choice between intraluminal and subintimal crossing was left to the operator’s preference. CART, reverse CART, and STAR techniques were performed as previously described.19-21 Dedicated 0.014-inch guidewires manufactured for coronary chronic total occlusion (CTO) revascularizations were used for intraluminal tracking. Hydrophilic and polymer-jacketed guidewires, such as Pilot (0.014-inch Hi-Torque Pilot 50-150-200; Abbott) and Fielder series (0.014-inch Fielder XT/Fielder FC) were used in cases of CART, reverse CART, and STAR techniques. CTO techniques were performed in both the femoropopliteal and tibial target vessels. After the lesions were crossed retrogradely and intraluminal wire positions were confirmed, guidewires were externalized via femoral sheaths and then the procedures were continued to be performed antegradely. Predilation of the lesions was done in accordance with the vessel sizes by using transluminal angioplasty catheters (Armada 14 PTA catheter; Abbott). Afterward, drug-eluting balloon catheters matching with the vessel sizes (Freeway 014 paclitaxel-eluting peripheral dilation catheter; Eurocor Tech) were inflated and held for 3 minutes in the lesions. Drug-coated balloons were used in both the femoropopliteal and tibial vessels. Intra-arterial nitroglycerin (200-400 µg) was given in all cases at the end of the procedures and angiography of the target limb involving the pedal arch was performed. Hemostasis of the retrograde transpedal access site was achieved via internal balloon compression.
Study outcome measurements. The primary outcome was to evaluate the technical success or failure of the procedure. Postintervention angiographic success was defined as residual stenosis <30% or no residual stenosis in the target vessel with satisfactory distal run-off to the pedal arteries. Secondary outcome measurements were postintervention Rutherford class, wound scores (SEWSS), and amputation rates during follow-up. Major amputation was defined as amputations performed above the level of the ankle such as transtibial, transfemoral, knee, or hip disarticulations. Minor amputation was defined as amputation confined to the toes or below the ankle at the level of the foot. Pedal loop score was calculated immediately after the procedures as previously defined by Kawarada et al22 to predict postintervention wound healing.
Statistical analysis. The Kolmogorov-Smirnov test was used to assess the normality of numeric variables. Paired samples and independent samples for variables that were non-normally distributed were compared by Wilcoxon t test, Mann-Whitney U test or Kruskal-Wallis test. Descriptive statistics were shown as mean ± standard deviation, median (25th-75th percentiles), and frequency. A P-value <.05 was accepted as statistically significant.
Results
Baseline clinical characteristics. The study group consisted of 18 patients who had failed antegrade endovascular interventions and/or ambiguous proximal caps. Young male dominance existed in the study population (16 men vs 2 women; mean age, 37 ± 9 years). All of the participants were smokers and 6 patients had hypertension. The patients presented with ischemic rest pain (n = 5; Rutherford stage 4), ischemic ulcers with minor tissue loss (n = 8; Rutherford stage 5), and severe ischemic ulcers or gangrene with major tissue loss (n = 5; Rutherford stage 6). There were 6 patients who had a history of previous lower-limb amputation. Preprocedural wound score according to SEWSS was 15.72 ± 5.05. Table 1 summarizes baseline demographic and clinical characteristics of the patients.
Procedural data. Six patients of the study population had proximal cap ambiguity and the other 12 patients had failed antegrade approach. All of the patients underwent retrograde transpedal endovascular interventions for recanalization of the culprit lesions in accordance with the angiosome concept. Chronic popliteal artery occlusion was evidenced in 5 cases and 3 patients displayed SFA ostial occlusions via angiography in the study population.
Anterior tibial artery (ATA), posterior tibial artery (PTA), and peroneal arteries were target arteries according to the angiosome concept. Retrograde transpedal puncture was achieved in 16 of 18 cases with an 89% success rate. In only 2 patients, retrograde puncture could not be carried out. The target tibial vessel was the ATA in these failed retrograde pedal puncture cases. Retrograde transpedal intervention was performed in 12 patients who had a previously failed antegrade intervention and in 6 patients who had ambiguous proximal caps that were not attempted via antegrade route. Transpedal sheathless approach was used in 6 cases. Intraluminal crossing was accomplished in only 1 case. However, CART, reverse CART, and STAR techniques enabled crossing the target lesions in the remaining 15 patients. After crossing the lesions and wiring the true lumens by using retrograde transpedal approach, the guidewires were externalized either by ipsilateral antegrade femoral sheaths in 12 cases or contralateral femoral sheaths in 4 cases. After externalization, the system was converted to antegrade intervention and the remaining balloon dilations and revascularization procedures were continued antegradely. Table 2 demonstrates detailed procedural characteristics of the patients.
Primary and secondary outcomes. In only 2 patients, retrograde transpedal access and subsequent target-vessel revascularization could not be achieved. Postintervention angiographic success rate was 100% in the remaining 16 patients who underwent retrograde transpedal revascularization of the target vessels. Pedal loop score of 1 was achieved in 7 patients in the study population. Pedal loop scores of 2 and 3 were recorded in 4 and 7 patients, respectively. In only 1 case, transpedal access-site hematoma was observed immediately after the procedure and was treated successfully with manual compression and subsequent compressive elastic bandage application.
Secondary outcome measures, including postintervention Rutherford class, wound scores by SEWSS, and amputation rates, were evaluated in the follow-up period.
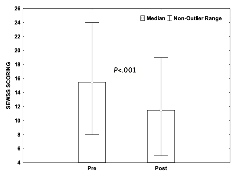
Table 3 demonstrates preprocedural and postintervention Rutherford class, wound scores by SEWSS, and amputation rates. Postintervention Rutherford stage improved compared with preprocedural Rutherford stages (preprocedural Rutherford stage mean value = 5 vs postintervention Rutherford stage mean value = 2; P<.01). In addition, the average wound score by SEWSS decreased significantly after the interventions, indicating wound healing during follow-up (preprocedural mean score = 15.5 vs postprocedural mean score = 11.5; P<.001). Figure 2 and Figure 3 demonstrate pre- and postprocedural Rutherford stages and wound scores by SEWSS during follow-up.
Postprocedural pedal loop score, which predicts wound healing, has been found to be associated with SEWSS scores and amputation rates. Postintervention high pedal loop scores were associated with high SEWSS scores, which reflect poor wound healing. Figure 4 demonstrates the association between SEWSS score and pedal loop scores (grade 1-3). Similarly, pedal loop scores were found to be closely associated with minor and major amputation rates, as shown in Figure 5.
Discussion
Buerger’s disease is a non-atherosclerotic disease that mainly affects small- and medium-sized neurovascular bundles in young, male, heavy smokers before the age of 45 years. Smoking cessation is the only proven strategy to prevent progression of the disease.1-3 Several forms of treatments were used, however, with discouraging results.13-15 Angioplasty is an alternative method of treatment of Buerger’s disease. Endovascular treatment in TAO cases may be technically challenging because of the predominant location of lesions in distal vessels, with common compromised run-off at the foot level; thus, to extend the intervention until the foot, reconstitution of more distal arteries (dorsalis pedis, plantar, and foot arch) has been made mandatory to achieve high technical success rates. Lower-extremity endovascular procedures are usually performed using contralateral retrograde or ipsilateral antegrade common femoral artery access. The conventional antegrade approach has a failure rate of 10%-40% due to inability to pass the occlusion. The most important stage of the angioplasty procedure is to be able to pass the guidewire through the occluded artery. The antegrade pedal approach is another technique used when traditional antegrade recanalization has failed and other arteries are occluded. When antegrade recanalization is unsuccessful, retrograde access to arteries below the knee is technically an effective alternative in many patients.23-28 Kilickesmez et al reported a TAO case where the antegrade approach was not successful, a retrograde approach via dorsalis pedis artery was planned, and mechanical thrombectomy was performed.29 Firat et al reported a study in which retrograde access under ultrasonography was used after unsuccessful interventions using the antegrade pathway in a total of 9 arteries in 8 TAO patients.25 In all of these patients, it was technically possible to advance the guidewire to the target artery. In our study, retrograde puncture could not be carried out in only 2 patients. However, the majority of the procedures could be performed by retrograde puncture technique and transpedal recanalization of the target vessels established by angiosome concept was enabled in cases of ambiguous proximal caps and/or previously failed endovascular intervention.
In the present study, all treated arteries were revascularized by only ballooning. No stenting was used as there was no flow-limiting dissection, recoil, or residual stenosis. This is similar to the study reported by Soliman et al24 and different from the study reported by Graziani et al,16 who used stenting primarily in 5 out of 20 patients. Some have argued that stenting should be avoided in patients with TAO, as the pathological inflammatory process and thrombosis associated with TAO may increase the incidence of in-stent stenosis.
The primary purpose of endovascular treatment is to increase the blood flow to the distal extremity and to provide wound healing, thereby preventing amputation of the leg. In previous studies, the success rate for endovascular treatment was 80%-96% and the rate of limb salvage was 86%-100%.16,23,30-32 In our study, the technical success rate was 89%. In addition, we demonstrated a strong association between pedal loop score and wound healing in terms of SEWSS consistent with the previous study by Kawarada et al indicating pedal loop score as an independent predictor of adverse events after infrapopliteal interventions.22 In a previous study, Kim et al reported that type 3 pedal arch was associated with increased risk of reintervention and amputation-free survival.30 Consistent with these data, we also found that pedal loop score determined immediately after transpedal retrograde revascularization was linked with minor and major amputation rates during long-term follow-up. Hence, pedal loop score is an important predictor of adverse events following these interventions.
The operators of the present study performed transpedal retrograde endovascular interventions based on angiosome concept in the patient population. Revascularization of the source artery to the determined angiosome is associated with better wound healing and limb-salvage rates as previous studies indicated in the literature.33,34 However, it might not be possible to intervene and proceed with direct revascularization of the source artery implemented with angiosome concept in the daily practice. There is also a discussion regarding angiosome concept especially in cases when the source artery could not be revascularized. It has been shown that interangiosome connections for perfusion may affect wound healing of heel ulcerations.35 In addition, the quality of pedal arch rather than the angiosome revascularized was shown to be associated with healing and time to healing.36 Acceptable rates of limb salvage with indirect perfusion of the ischemic angiosome were also reported in another study that concludes the importance of restoring blood flow down the foot arteries when angiosome concept is not feasible.37 Hence, it is important to point out that angiosome-concept-based interventions were not always possible. Although we succeeded in performing transpedal retrograde interventions based on angiosome concept in our study cohort, it might not be possible in every case, especially in larger patient populations. In these cases when the angiosome concept could not be used, restoring blood flow to the other pedal arteries might be an option in accordance with the previously mentioned studies.35-37
Study limitations. This investigation is a retrospective and single-center study with a small patient group. Kaplan-Meier curve analysis indicating major and minor amputation-free survival rates could not be done because the study population was small. Larger cohorts could provide statistically significant Kaplan-Meier curve analysis and provide prognostic data. A longer follow-up period—for at least 1 year—is recommended. In addition, angiography (fluoro-)guided retrograde transpedal access was used as the sole technique for retrograde access. Ultrasound-guided access could be an effective option, especially in cases with failed retrograde access; however, this requires experience and practice utilizing ultrasound guidance, with which the operators were not accustomed.
Conclusion
Endovascular treatment with transpedal retrograde approach is a technically feasible and potentially effective treatment modality for Buerger’s disease and may be considered as a first-line treatment option in the pursuit of limb salvage, especially when proximal target vessel caps are ambiguous and antegrade approach is unsuccessful.
Affiliations and Disclosures
From 1the Department of Cardiology, Sakarya University Faculty of Medicine, Sakarya, Turkey; 2Department of Cardiology, İstinye University Faculty of Medicine, Istanbul, Turkey; 3Department of Biostatistics, Aydın Adnan Menderes University Faculty of Medicine, Aydın, Turkey; and 4Department of Cardiovascular Surgery, Sakarya University Faculty of Medicine, Wound Care Clinics, Sakarya, Turkey.
Disclosure: The authors have completed and returned the ICMJE Form for Disclosure of Potential Conflicts of Interest. The authors report no conflicts of interest regarding the content herein.
Manuscript accepted September 30, 2022.
Address for correspondence: Ali Buturak, MD, Associate Professor, İstinye University Faculty of Medicine, Department of Cardiology, İstinye Üniversitesi Topkapı Kampüsü, Maltepe Mah., Edirne Çırpıcı Yolu, No.9 Zeytinburnu, İstanbul, 34010 Turkey. Email: alibuturak@yahoo.com
References
1. Arkkila PE. Thromboangiitis obliterans (Buerger’s disease). Orphanet J Rare Dis. 2006;1:14. doi:10.1186/1750-1172-1-14
2. Faizer R, Forbes TL. Buerger’s disease. J Vasc Surg. 2007;46(4):812. doi:10.1016/j.jvs.2007.04.043
3. Piazza G, Creager MA. Thromboangiitis obliterans. Circulation. 2010;121(16):1858-1861. doi:10.1161/CIRCULATIONAHA.110.942383
4. Olin JW. Thromboangiitis obliterans (Buerger’s disease). N Engl J Med. 2000;343(12):864-869. doi:10.1056/NEJM200009213431207
5. Shionoya S. Diagnostic criteria of Buerger’s disease. Int J Cardiol. 1998;66(Suppl 1):S243-S245. doi:10.1016/s0167-5273(98)00175-2
6. Corelli F. Buerger’s disease: cigarette smoker disease may always be cured by medical therapy alone. Uselessness of operative treatment. J Cardiovasc Surg. 1973;14(1):28-36.
7. Hooten WM, Bruns HK, Hays JT. Inpatient treatment of severe nicotine dependence in a patient with thromboangiitis obliterans (Buerger’s disease). Mayo Clin Proc. 1998;73(6):529-532. doi:10.4065/73.6.529
8. Fiessinger JN, Schafer M. Trial of iloprost versus aspirin treatment for critical limb ischaemia of thromboangiitis obliterans. The TAO study. Lancet. 1990;335(8689):555-557. doi:10.1016/0140-6736(90)90346-7
9. The European TAO Study Group. Oral iloprost in the treatment of thromboangiitis obliterans (Buerger’s disease): a double-blind, randomised, placebo-controlled trial. Eur J Vasc Endovasc Surg. 1998;15(4):300-307. doi:10.1016/s1078-5884(98)80032-4
10. Hemsinli D, Altun G, Kaplan ST, Yildirim F, Cebi G. Hyperbaric oxygen treatment in thromboangiitis obliterans: a retrospective clinical audit. Diving Hyperb Med. 2018;48(1):31-35. doi:10.28920/dhm48.1.31-35
11. Narváez J, García-Gómez C, Álvarez L, et al. Efficacy of bosentan in patients with refractory thromboangiitis obliterans (Buerger disease): a case series and review of the literature. Medicine (Baltimore). 2016;95(48):e5511. doi:10.1097/MD.0000000000005511
12. Idei N, Soga J, Hata T, et al. Autologous bone-marrow mononuclear cell implantation reduces long-term major amputation risk in patients with critical limb ischemia: a comparison of atherosclerotic peripheral arterial disease and Buerger disease. Circ Cardiovasc Interv. 2011;4(1):15-25. Epub 2011 Jan 4. doi:10.1161/CIRCINTERVENTIONS.110.955724
13. Neufang A, Vargas-Gomez C, Ewald P, et al. Very distal vein bypass in patients with thromboangiitis obliterans. Vasa. 2017;46(4):304-309. Epub 2017 Mar 8. doi:10.1024/0301-1526/a000624
14. Paraskevas KI, Liapis CD, Briana DD, et al. Thromboangiitis obliterans (Buerger’s disease): searching for a therapeutic strategy. Angiology. 2007;58(1):75-84. doi:10.1177/0003319706291169
15. Niclauss L, Roumy A , Gersbach P. Spinal cord stimulation in thromboangiitis obliterans and secondary Raynaud’s syndrome. EJVES Extra. 2013;26(1):e9-e11.
16. Graziani L, Morelli L, Parini F, et al. Clinical outcome after extended endovascular recanalization in Buerger’s disease in 20 consecutive cases. Ann Vasc Surg. 2012;26(3):387-395. Epub 2012 Jan 30. doi:10.1016/j.avsg.2011.08.014
17. Martinez-de Jesus FR. A checklist system to score healing progress of diabetic foot ulcers. Int J Low Extrem Wounds. 2010;9(2):74-83. doi:10.1177/1534734610371594
18. Jones WS, Patel MR, Tsai TT, et al. Anatomic runoff score predicts cardiovascular outcomes in patients with lower extremity peripheral artery disease undergoing revascularization. Am Heart J. 2015;170(2):400-408. doi:10.1016/j.ahj.2015.04.026
19. Surmely JF, Tsuchikane E, Katoh O, et al. New concept for CTO recanalization using controlled antegrade and retrograde subintimal tracking: the CART technique. J Invasive Cardiol. 2006;18(7):334-338.
20. Matsuno S, Tsuchikane E, Harding SA, et al. Overview and proposed terminology for the reverse controlled antegrade and retrograde tracking (reverse CART) techniques. EuroIntervention. 2018;14(1):94-101. doi:10.4244/EIJ-D-17-00867
21. Colombo A, Mikhail GW, Michev I, et al. Treating chronic total occlusions using subintimal tracking and reentry: the STAR technique. Catheter Cardiovasc Interv. 2005;64(4):407-411. doi:10.1002/ccd.20307
22. Kawarada O, Fujihara M, Higashimori A, Yokoi Y, Honda Y, Fitzgerald PJ. Predictors of adverse clinical outcomes after successful infrapopliteal intervention. Catheter Cardiovasc Interv. 2012;80(5):861-871. Epub 2012 May 4. doi:10.1002/ccd.24370
23. Kawarada O, Kume T, Ayabe S, et al. Endovascular therapy outcomes and intravascular ultrasound findings in thromboangiitis obliterans (Buerger’s disease). J Endovasc Ther. 2017;24(4):504-515. doi:10.1177/1526602817710917
24. Soliman M, Mowafy K, Elsaadany NA, Soliman R, Elmetwally A. Thromboangiitis obliterans: aggressive angioplasty provides a potential solution (randomized pilot study). SAGE Open Med. 2020;8:2050312120927636. doi:10.1177/2050312120927636
25. Firat A, Igus B. Endovascular recanalization of thromboangiitis obliterans (Buerger's disease) in twenty-eight consecutive patients and combined antegrade-retrograde ıntervention in eight patients. Cardiovasc Intervent Radiol. 2019;42(6):820-828. Epub 2019 Mar 4. doi:10.1007/s00270-019-02193-x
26. Fırat A, Igüs B. Combined percutaneous direct puncture of occluded artery—antegrade intervention for recanalization of below the knee arteries. Diagn Interv Radiol. 2019;25(4):320-327. doi:10.5152/dir.2019.18580
27. El-Sayed H, Bennett ME, Loh TM, Davies MG. Retrograde pedal access and endovascular revascularization: a safe and effective technique for high-risk patients with complex tibial vessel disease. Ann Vasc Surg. 2016;31:91-98. Epub 2015 Nov 26. doi:10.1016/j.avsg.2015.09.015
28. Choi CY, Park SH, Choi HY. Successful complex endovascular intervention for a patient with typical Buerger’s disease. Soon-Chunhyang Med Sci. 2016;22(1):54-58.
29. Kilickesmez O, Oguzkurt L. Mechanical thrombectomy with Rotarex system in Buerger’s disease. J Clin Imaging Sci. 2015;5:14. eCollection 2015. doi:10.4103/2156-7514.152609
30. Kim DH, Ko YG, Ahn CM, et al. Immediate and late outcomes of endovascular therapy for lower extremity arteries in Buerger disease. J Vasc Surg. 2018;67(6):1769-1777. doi:10.1016/j.jvs.2017.09.020
31. Modaghegh MS, Hafezi S. Endovascular treatment of thromboangiitis obliterans (Buerger’s disease). Vasc Endovasc Surg. 2018;52(2):124-130. doi:10.1177/1538574417744085
32. Ghoneim BM, Karmota AG, Abuhadema AM, et al. Management of Buerger's disease in endovascular era. Int J Angiol. 2019;28(3):173-181. Epub 2019 Apr 19. doi:10.1055/s-0039-1685200
33. Attinger CE, Evans KK, Mesbahi A. Angiosomes of the foot and angiosome—dependent healing. In: Sidawy AN, ed. Diabetic Foot, Lower Extremity Disease and Limb Salvage. Philadelphia, PA: Lipincott Williams & Wilkins; 2006:341-350.
34. Iida O, Nanto S, Uematsu M, et al. Importance of the angiosome concept for endovascular therapy in patients with critical limb ischemia. Catheter Cardiovasc Interv. 2010;75(6):830-836. doi:10.1002/ccd.22319
35. Berceli SA, Chan AK, Pomposelli FB Jr, et al. Efficacy of dorsal pedal artery bypass in limb salvage for ischemic heel ulcers. J Vasc Surg. 1999;30(3):499-508. doi:10.1016/s0741-5214(99)70077-7
36. Rashid H, Slim H, Zayed H, et al. The impact of arterial pedal arch quality and angiosome revascularization on foot tissue loss healing and infrapopliteal bypass outcome. J Vasc Surg. 2013;57(5):1219-1226. doi:10.1016/j.jvs.2012.10.129
37. Kabra A, Suresh KR, Vivekanand V, et al. Outcomes of angiosome and non-angiosome targeted revascularisation in critical lower limb ischemia. J Vasc Surg. 2013;57(1):44-49. doi:10.1016/j.jvs.2012.07.042


