Comparison of Different Stenting Techniques in Left Main Bifurcation Disease: Evidence From a Network Meta-Analysis
Abstract
Objectives. We aimed to assess which bifurcation technique performs best in unprotected left-main (LM) percutaneous coronary intervention (PCI). Background. Provisional stenting was considered the preferred technique for LM bifurcation PCI due to the supposed lower risks of thrombosis and restenosis. However, recent studies showed potential advantages of double kissing (DK)-crush technique over the other strategies. Methods. We performed a frequentist network meta-analysis comparing different stenting techniques in the setting of LM bifurcation. PubMed, Embase, the Cochrane Central Register of Controlled Trials, and Clinicaltrials.gov were searched. Both randomized clinical trials and non-randomized clinical trials were considered eligible for inclusion. Incidence rate ratios (IRRs) were computed using a random-effects model for death, cardiac death, myocardial infarction, target-vessel revascularization, target-lesion revascularization, and stent thrombosis, including 95% confidence intervals (CIs). Results. A total of 10 studies (2364 patients) were included. Compared with provisional stenting, DK-crush was associated with fewer cardiac deaths (IRR, 0.34; 95% CI, 0.17-0.70; P<.01), myocardial infarctions (IRR, 0.19; 95% CI, 0.08-0.44; P<.001), stent thromboses (IRR, 0.31; 95% CI, 0.14-0.69; P<.01), target-vessel revascularizations (IRR, 0.25; 95% CI, 0.14-0.46; P<.001), and target-lesion revascularizations (IRR, 0.25; 95% CI, 0.14-0.46; P<.001). DK-crush was also associated with a lower risk of myocardial infarction (IRR, 0.19; 95% CI, 0.05-0.76; P=.02) when compared with standard crush and lower risk of target-lesion revascularization when compared with culotte (IRR, 0.32; 95% CI, 0.12-0.83; P=.02) and crush (IRR, 0.07; 95% CI, 0.02-0.28; P<.001). Conclusions. DK-crush is the best technique for unprotected LM bifurcation PCI.
Key words: bifurcation, left main, provisional stenting, two-stent technique
Untreated severe obstructive left main (LM) coronary artery disease (CAD) is associated with a high rate of mortality due to a large ischemic myocardial territory at risk.1 Accordingly, revascularization of LM disease is of utmost importance in order to increase life expectancy and is recommended by international guidelines.2 Despite coronary artery bypass graft (CABG) historically being considered the treatment of choice for LM-CAD, results of recent studies and meta-analyses have shown a comparable efficacy of percutaneous coronary intervention (PCI) in terms of hard clinical endpoints, such as mortality, myocardial infarction (MI), and stroke.3,4 Thus, PCI has become common practice in cases of significant LM stenosis, especially for less complex anatomies and limited involvement of other coronary segments. However, it has been demonstrated that PCI of distal lesions in unprotected LM stenosis leads to a higher incidence of major adverse cardiac event (MACE) as compared with PCI of ostial/mid-shaft LM lesions.5,6 Moreover, CABG has been associated with a lower rate of repeat revascularization than PCI in patients with distal LM disease, but not in those with ostial or shaft LM stenosis.7 These findings underline the fact that distal LM stenosis, due to its complexity, needs further consideration and specific treatment. In particular, there is no consensus on which percutaneous technique for LM bifurcation performs best. Historically, provisional stenting of the distal LM has been considered the best option because of the apparently lower risk of stent thrombosis (ST) and the potential advantage of implanting less metal in the neocarina, with subsequently lower rate of in-stent restenosis.8 In the last 2 decades, however, multiple 2-stent techniques have been shown to improve short- and long-term patency of the side branch.9,10
Among these, the effectiveness of double kissing (DK)-crush, mini-crush, crush, culotte, T and small protrusion (TAP), and T-stenting has been studied in randomized (RCTs) and non-randomized clinical trials (non-RCTs) in the setting of unprotected LM-CAD.11-13 These techniques differ in the amount of metal protruding in the main branch, the use of a first kissing balloon, and/or the choice of stenting the side branch as the first vessel. Despite promising results of DK-crush technique for LM bifurcation, there is still no definitive consensus about the best technique.14
The aim of this systematic review and network meta-analysis is to define which bifurcation technique is the most effective in LM stenting, taking into account the evidence generated to date.
Methods
This systematic review and meta-analysis was performed according to the Preferred Reporting Items for Systematic Reviews and Meta-analysis (PRISMA) and the Cochrane Collaboration guidelines.
Information sources and search strategy. We conducted a systematic literature search using PubMed, Embase, the Cochrane Central Register of Controlled Trials (CENTRAL), and Clinicaltrials.gov from the database inception until December 2020. The search was carried out by means of the following items: “left main,” “bifurcation,” “technique,” “culotte,” “crush,” “DK-crush,” “provisional,” “T-stenting,” “TAP,” and “mini-crush.”15
Eligibility criteria and data extraction. The studies were included in the meta-analysis only if they met the following criteria: (1) studies reporting at least 1 of the prespecified clinical cardiovascular outcomes of interest; (2) studies comparing 2 or more percutaneous bifurcation techniques in the setting of distal LM disease; and (3) studies with a follow-up of at least 6 months. All common bifurcation techniques were included in the study, namely, provisional stenting, DK-crush, crush, mini-crush, culotte, T-stenting, and TAP. T-stenting and TAP were considered part of the same group. Studies evaluating the aforementioned techniques, both in LM bifurcation and non-LM bifurcation settings, were included only if specifically reporting the outcomes of the LM-patient subgroup. Both RCTs and non-RCTs were considered eligible for inclusion. Case reports and cross-sectional studies were excluded from the analysis. Studies comparing 1-stent strategies vs 2-stent strategies without specifying the technique used in the 2-stent strategy group were also excluded. No language restrictions were applied as exclusion criteria.
Outcomes and definitions. The primary outcome of interest was cardiac death. The secondary outcomes of interest were all-cause mortality, MI, target-lesion revascularization (TLR), target-vessel revascularization (TVR), and ST. Stent thrombosis was defined according to the Academic Research Consortium definition.16 Target-vessel revascularization was defined as any unplanned repeat PCI or CABG due to stenosis in another segment of the vessels treated during the index procedure. Target-lesion revascularization was defined as any revascularization (PCI/CABG) of the target lesion (± 5 mm) following the index procedure. Myocardial infarction was defined according to the current definition of MI at the time of the study execution (Supplemental Table S1).
Data extraction and quality assessment. Two investigators (GMV and JGC) independently reviewed studies at title and abstract level, excluding those not of interest. Remaining articles were afterward retrieved for full text evaluation. Finally, data of the articles meeting the inclusion criteria were extracted and inserted in the database for statistical analysis. Disagreements regarding data incorporation were resolved through discussion with a third author (ML). The following data from each selected study were gathered: (1) number of participants; (2) demographics; (3) procedure strategies; and (4) clinical outcomes of interest.
The potential risks of RCT bias were evaluated by 2 reviewers (JGC and ML) using the Risk of Bias Tool 2 (RoB2), as recommended by the Cochrane Collaboration.17 Newcastle Ottawa Scale (NOS) was used for assessing the quality of non-RCTs.18
Statistical analysis. A frequentist network meta-analysis was performed to compare stenting techniques for the treatment of LM bifurcation, combining the results of direct evidence from studies having the same comparison arms and indirect evidence from those studies having at least 1 treatment in common.
A random-effects model with the inverse-variance method was used to estimate the incidence rate ratio (IRR) of the clinical outcomes of interest (total death, cardiac death, MI, TVR, TLR, and ST), which was defined as the ratio between the number of events and the person-time at risk.
Heterogeneity across studies was assessed by I2 testing, which was considered indicative of heterogeneity when the percentage of variability across studies was >50%. Visual estimation of inconsistency between studies was assessed by net-heat plots.19
The probability (P) score, which is based on the frequentist point estimates and standard errors, was used for ranking the different bifurcation techniques on a continuous scale, where 1 and 0 represent the likelihood of being the best and the worst treatment, respectively. Comparison-adjusted funnel plots and tests for funnel-plot asymmetry (Egger’s test) were used to assess potential publication bias. Dichotomous variables were reported as counts and percentage, and continuous variables as mean ± standard deviation in cases of normal distribution, or as median and interquartile ranges in cases of non-normal distribution. P-values <.05 were considered statistically significant.
Sensitivity analyses were performed by removing non-RCTs in order to confirm the robustness of the observed results for each outcome of interest. All analyses were performed using the R package “netmeta” of the statistical software R, version 4.0.0 (R Project for Statistical Computing).
Results
Study selection and study characteristics. The PRISMA flow diagram for study selection is summarized in Figure 1. The electronic database search returned a total of 997 studies. After removing duplicates, 986 studies were screened at title and abstract level. Sixty studies were then selected for full-text assessment. Of these, 10 were ultimately considered eligible for inclusion according to the prespecified selection criteria. Four were RCTs and 6 were observational studies. All of these were 2-arms studies except for FAILS-2, which was a 3-arm registry. Among the 2364 patients included in the present meta-analysis, 6 different types of bifurcation techniques were compared. More specifically, provisional stenting, mini-crush, and T-stenting/TAP techniques were assessed in 2 studies, while DK-crush and crush techniques were studied in 3 trials. Culotte technique was compared with one of the other strategies in 5 studies. Direct comparisons among different bifurcation techniques for each clinical outcome are displayed in Figure 2. Not all studies contributed to all endpoints. The characteristics of the population are reported in Table 1, Part 1 and Table 1, Part 2. The mean follow-up duration was 23.8 months (range, 8 to 60 months).
Quality assessment of included studies and publication bias. Of the 4 RCTs included, none had a significant risk of bias (Supplemental Figure S1). The mean quality assessment score, evaluated by the Newcastle Ottawa score for the 6 non-RCTs, was 7.8 (Supplemental Table S2). No publication bias was found as demonstrated by results of Egger’s regression test and by comparison-adjusted funnel plots (Supplemental Table S3 and Supplemental Figure S2).
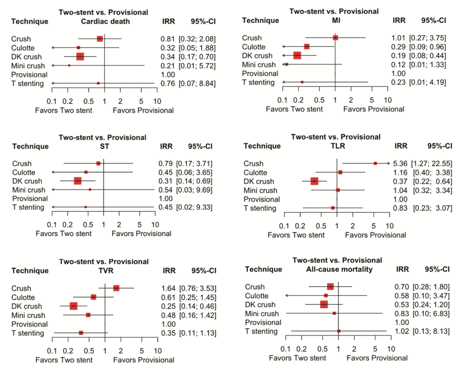
Primary outcome. Cardiac death was evaluated in 9 studies. DK-crush technique was associated with lower cardiac death compared with provisional stenting (IRR, 0.34; 95% CI, 0.17-0.70; P<.01) (Figure 3). No other differences were found comparing the other techniques (Table 2). There was no heterogeneity between studies with respect to cardiac death (I2=16.6%) and the net-heat plot did not reveal substantial inconsistency in the network model (Supplemental Figure S3). P score ranked DK-crush, mini-crush, and culotte techniques as the most effective, with substantially comparable scores of 0.71, 0.72, and 0.70, respectively (Supplemental Table S4).
Secondary outcomes.
All-cause mortality. All-cause mortality was assessed in 9 out of 10 studies. No significant differences among treatments with respect to all-cause mortality were observed (Supplemental Table S5). There was no evidence of significant heterogeneity and inconsistency as shown by I2 testing (0%) and net-heat plot (Supplemental Figure S3). DK-crush technique was ranked as the most effective approach compared with the other strategies (P score, 0.71).
Myocardial infarction. Nine studies evaluated the risk of MI. Provisional stenting was associated with a significantly increased risk of MI compared with DK-crush technique (IRR, 5.28; 95% CI, 2.29-12.15; P<.001) and culotte technique (IRR, 3.47; 95% CI, 1.04-11.56; P=.04). DK-crush was also associated with a lower risk of MI as compared with crush technique (IRR, 0.19; 95% CI, 0.05-0.76; P=.02). No heterogeneity (I2=0%) or inconsistency were found (Supplemental Figure S3). Mini-crush technique was ranked the most effective approach compared with the other strategies (P score, 0.81).
Stent thrombosis. All of the studies included in the meta-analysis reported the incidence of ST. DK-crush technique was associated with a lower risk of ST compared with provisional stenting (IRR, 0.31; 95% CI, 0.14-0.69; P<.01). No heterogeneity between studies was detected (I2=0%). Net-heat plot showed no substantial inconsistency among direct and indirect evidence (Supplemental Figure S3). DK-crush was ranked the best strategy with respect to the incidence of ST (P score, 0.75).
Target-vessel revascularization. Seven studies provided the necessary data for the analysis. Crush technique was associated with a higher incidence of TVR compared with DK-crush (IRR, 6.47; 95% CI, 2.76-15.14; P<.001), culotte (IRR, 2.71; 95% CI, 1.02-7.18; P=.04), mini-crush (IRR, 3.42; 95% CI, 1.06-10.97; P=.04) and T-stenting (IRR, 4.68; 95% CI, 1.35-16.24; P=.02). Furthermore, the risk of TVR was lower in the group treated with DK-crush as compared with culotte (IRR, 0.42; 95% CI, 0.21-0.85; P=.02) and provisional stenting (IRR, 0.25; 95% CI, 0.14-0.46; P<.001). I2 testing did not reveal heterogeneity among studies (0%) and there was no evidence of inconsistency in the network as shown by net-heat plot (Supplemental Figure S3). DK-crush technique was ranked the most effective approach in terms of TVR compared with the other strategies (P score, 0.92).
Target-lesion revascularization. Nine studies were included. DK-crush technique was associated with a lower incidence of TLR compared with crush (IRR, 0.07; 95% CI, 0.02-0.28; P<.001), culotte (IRR, 0.32; 95% CI, 0.12-0.83; P=.02), and provisional stenting (IRR, 0.37; 95% CI, 0.22-0.64; P<.001). A trend toward significance was also shown when DK-crush was compared with mini-crush technique (IRR, 0.36; 95% CI, 0.12-1.03; P=.06). Furthermore, risk of TLR was higher with crush compared with all of the other techniques (Supplemental Table S5). Neither heterogeneity nor inconsistency were found, as demonstrated by I2=0% and net-heat plot (Supplemental Figure S3), respectively. DK-crush technique was ranked the most effective in terms of TLR (P score, 0.97).
Sensitivity analyses. Four RCTs were included in sensitivity analyses, providing data for comparisons of the following bifurcation techniques: crush, culotte, DK-crush, and provisional stenting. Mini-crush and T-stenting/TAP were not assessed because they were only performed in non-RCTs.
Outcomes provided by RCTs and available for subanalyses were cardiac death, MI, ST, and TLR. Results of sensitivity analyses showed no differences between stenting techniques in terms of cardiac death (Supplemental Table S6). A marked trend toward a significantly lower risk of MI (IRR, 0.14; 95% CI, 0.02-1.17; P=.07) and TLR (IRR, 0.48; 95% CI, 0.22-1.06; P=.06) was shown when DK-crush was compared with provisional stenting. DK-crush was also associated with a reduced rate of ST compared with provisional stenting (IRR, 0.13; 95% CI, 0.02-1.00; P=.05). Finally, a lower incidence of TLR was found when DK-crush was compared with crush (IRR, 0.09; 95% CI, 0.02-0.43; P<.01) and culotte (IRR, 0.35; 95% CI, 0.13-0.92; P=.03). P scores ranked DK-crush as the most effective technique in terms of MI, ST, and TLR (Supplemental Table S7), keeping with results of the primary analysis. No heterogeneity or inconsistency were found for any outcome assessed (I2=0%) (Supplemental Figure S5).
Discussion
This is the first network meta-analysis comparing the performance of all bifurcation PCI techniques in LM stenting. Our main findings are: (1) DK-crush is more effective than provisional stenting in reducing the incidence of cardiac death, MI, ST, TVR, and TLR; (2) DK-crush is also associated with a lower risk of MI, TVR, and TLR as compared with crush; (3) crush is the worst strategy in terms of TVR and TLR when compared with the other techniques; and (4) culotte is associated with a lower risk of MI than provisional stenting, but with an increased risk of TVR and TLR when compared with DK-crush.
Although provisional stenting technique has been traditionally recommended for treating bifurcation lesions, because of its simplicity and the potential lower risk of periprocedural complications, recent data from RCTs and meta-analyses suggest a potential advantage of DK-crush technique in bifurcation lesions.20 In particular, Crimi et al showed superiority of DK-crush over provisional stenting with respect to a composite outcome including cardiac death, MI, ST, TVR, and TLR.21 Similar results were obtained by Chiabrando et al in a network meta-analysis comprising 14 RCTs that confirmed a significant reduction of major adverse cardiovascular events with DK-crush compared with provisional stenting, crush, and culotte technique, even at long-term follow-up.22 Moreover, in a recent meta-analysis from Di Gioia et al, markedly lower rates of TVR and TLR were demonstrated in patients treated with DK-crush when compared with other techniques.23 However, it is important to note that none of the 3 aforementioned studies evaluated these strategies in the specific setting of LM bifurcation. In fact, LM bifurcation lesions are usually characterized by larger vessel size, wider angle between vessels, and greater area of myocardium at risk of ischemia, making the procedure even more delicate and potentially associated with worse clinical outcomes in cases of suboptimal results. For these reasons, the authors considered LM-bifurcation stenting a unique entity. On the one hand, provisional stenting allows for placement of fewer metallic struts, with presumed inferior risk of ST. On the other hand, in case of side-branch dissection or plaque shift, the potential need for a second stent implantation in the side branch may expose the patient to a bailout strategy with lower technical success and an increased risk of short- and long-term major cardiovascular events.24 It is clear that a dissection in the LM side branch has a larger clinical impact than a dissection in any other side branch; thus, it is generally treated. Of note, all complications occurring during LM-PCI potentially have an even stronger impact due to the larger amount of ischemic myocardium.
A previous observational study demonstrated that patients with distal LM lesions treated with 1-stent technique had a better outcome than those treated with 2 stents.25 Similarly, a recent meta-analysis reported a lower risk of TLR and major adverse cardiovascular events in patients undergoing 1-stent strategy than those approached with 2-stent techniques.26 However, in all of these studies, a distinction was not made among the different 2-stent technique types, potentially leading to inaccurate or incorrect conclusions. In our study, in which a comparison among 2-stent techniques was performed, a net overall advantage of DK-crush over provisional stenting and all other strategies was found. These differences are in line with the results of the DK-CRUSH V trial, in which patients were randomly assigned to provisional stenting or DK-crush technique in the setting of distal LM-CAD. At 3-year follow-up, an increased risk of target-lesion failure (a composite of cardiac death, target-vessel MI, or clinically driven TLR) and a higher rate of ST were found in the provisional stenting group compared with the DK-crush group.27
Furthermore, in the DK-CRUSH III trial, DK-crush technique was associated with a lower 1-year rate of major adverse cardiovascular events, mainly due to less TVR, compared with culotte technique.28 Our meta-analysis confirmed these findings and also showed an increased risk of TLR in the culotte group. One possible explanation of these results is the presence of 2 metallic layers in the main vessel due to the overlap of the 2 stents with the culotte technique. Furthermore, the need to implant the second stent across the struts of the first stent may increase the chance of underexpansion or malapposition, causing a higher risk of ST or in-stent restenosis.29 On the contrary, with the DK-crush technique, this risk is minimized, since the first kissing balloon, performed after side-branch stent crushing, leaves only 1 layer of struts at the side-branch ostium.
Finally, we found that crush technique is associated with an increased risk of TVR and TLR as compared with provisional stenting and the other 2-stent strategies. Increased rates of ST and in-stent restenosis have been demonstrated following crush technique, especially when the final kissing balloon cannot be performed, which occurs in up to 25% of cases.30 Conversely, performing the first kissing balloon during DK-crush technique facilitates side branch crossing after main vessel stenting. This could, at least in part, explain the better performance of DK-crush over crush and the other strategies.
Study limitations. First, we performed a study-level network meta-analysis, as individual patient data could not be obtained. Second, heterogeneity in the definition of some of the outcomes across the studies was observed and may contribute to a certain distortion of the results. Third, although most of the evidence comes from relatively contemporary trials (published from 2008 to 2020), the performance of proximal optimization technique and first kissing balloon was not systematically performed in each study. Finally, the inclusion of non-RCTs may have increased the risk of heterogeneity and intrinsic bias.
Conclusion
In the present network meta-analysis, DK-crush technique was associated with a lower incidence of cardiac death, MI, and ST compared with provisional stenting in the setting of LM bifurcation treatment. Furthermore, the risk of TVR and TVL was significantly reduced using DK-crush as compared with crush, culotte, or provisional stenting.
Affiliations and Disclosures
From the 1HartCentrum, Ziekenhuis Netwerk Antwerpen (ZNA) Middelheim, Antwerp, Belgium; 2Department of Interventional Cardiology, Hospital Italiano de Buenos Aires, Buenos Aires, Argentina; 3Department of Medicine, Icahn School of Medicine at Mount Sinai, Mount Sinai St. Luke’s and West, New York, New York; 4Department of Cardiovascular and Thoracic Sciences, Fondazione Policlinico Universitario A. Gemelli IRCCS, Catholic University of the Sacred Heart, Rome, Italy; 5Division of Cardiology, University of Florida College of Medicine, Jacksonville, Florida; 6Department of Medical-Surgical Sciences and Biotechnologies, Sapienza University, Latina, Italy; and 7Mediterranea Cardiocentro, Naples, Italy.
Disclosure: The authors have completed and returned the ICMJE Form for Disclosure of Potential Conflicts of Interest. Dr Biondi-Zoccai reports consultant income from Cardionovum, CrannMedical, Innovheart, Medtrial, Opsens Medical, and Replycare. Dr Agostoni and Dr Verheye report consultant income from Neovasc. The remaining authors report no conflicts of interest regarding the content herein.
Manuscript accepted June 4, 2021.
Address for correspondence: Giovanni Maria Vescovo, MD, Department of Cardiology, Hartcentrum, Ziekenhuis Netwerk Antwerpen (ZNA) Middelheim, Antwerp, Belgium. Email: gm.vescovo@libero.it
References
1. Yusuf S, Zucker D, Peduzzi P, et al. Effect of coronary artery bypass graft surgery on survival: overview of 10-year results from randomised trials by the Coronary Artery Bypass Graft Surgery Trialists Collaboration. Lancet. 1994;344(8922):563-570. doi:10.1016/s0140-6736(94)91963-1
2. Neumann F-J, Sousa-Uva M, Ahlsson A, et al. 2018 ESC/EACTS guidelines on myocardial revascularization. Eur Heart J. 2019;40(2):87-165. doi:10.1093/eurheartj/ehy394
3. Giacoppo D, Colleran R, Cassese S, et al. Percutaneous coronary intervention vs coronary artery bypass grafting in patients with left main coronary artery stenosis: a systematic review and meta-analysis. JAMA Cardiol. 2017;2(10):1079-1088. doi:10.1001/jamacardio.2017.2895
4. Chiabrando JG, Vescovo GM, Lombardi M, et al. Long term outcomes of percutaneous or surgical treatment in left main disease. Minerva Cardiol Angiol. 2021;69(3):313-321. doi:10.23736/S2724-5683.20.05370-0
5. Chen S-L, Ye F, Zhang J, et al. Distal left main coronary bifurcation lesions predict worse outcome in patients undergoing percutaneous implantation of drug-eluting stents: results from the Drug-Eluting Stent for the Treatment of Left Main Disease (DISTAL) study. Cardiology. 2009;113(4):264-273. doi:10.1159/000204760
6. Palmerini T, Sangiorgi D, Marzocchi A, et al. Ostial and midshaft lesions vs. bifurcation lesions in 1111 patients with unprotected left main coronary artery stenosis treated with drug-eluting stents: results of the survey from the Italian Society of Invasive Cardiology. Eur Heart J. 2009;30(17):2087-2094. doi:10.1093/eurheartj/ehp223
7. Gershlick AH, Kandzari DE, Banning A, et al. Outcomes after left main percutaneous coronary intervention versus coronary artery bypass grafting according to lesion site: results from the EXCEL trial. JACC Cardiovasc Interv. 2018;11(13):1224-1233. doi:10.1016/j.jcin.2018.03.040
8. Colombo A, Jabbour RJ. Bifurcation lesions: no need to implant two stents when one is sufficient! Eur Heart J. 2016;37(24):1929-1931. doi:10.1093/eurheartj/ehw185
9. Ormiston JA, Currie E, Webster MWI, et al. Drug-eluting stents for coronary bifurcations: insights into the crush technique. Catheter Cardiovasc Interv. 2004;63(3):332-336. doi:10.1002/ccd.20120
10. Galassi AR, Colombo A, Buchbinder M, et al. Long-term outcomes of bifurcation lesions after implantation of drug-eluting stents with the “mini-crush technique.” Catheter Cardiovasc Interv. 2007;69(7):976-983. doi:10.1002/ccd.21047
11. Chen S-L, Xu B, Han Y-L, et al. Clinical outcome after DK crush versus culotte stenting of distal left main bifurcation lesions: the 3-year follow-up results of the DKCRUSH-III study. JACC Cardiovasc Interv. 2015;8(10):1335-1342. doi:10.1016/j.jcin.2015.05.017
12. Chen S, Zhang J, Ye F, et al. Final kissing balloon inflation by classic crush stenting did not improve the clinical outcomes for the treatment of unprotected left main bifurcation lesions: the importance of double-kissing crush technique. Catheter Cardiovasc Interv. 2008;71(2):166-172. doi:10.1002/ccd.21317
13. Kawamoto H, Takagi K, Chieffo A, et al. Long-term outcomes following mini-crush versus culotte stenting for the treatment of unprotected left main disease: insights from the Milan and New-Tokyo (MITO) registry. Catheter Cardiovasc Interv. 2017;89(1):13-24. doi:10.1002/ccd.26654
14. Chen S-L, Zhang J-J, Han Y, et al. Double kissing crush versus provisional stenting for left main distal bifurcation lesions: DKCRUSH-V randomized trial. J Am Coll Cardiol. 2017;70(21):2605-2617. doi:10.1016/j.jacc.2017.09.1066
15. Haynes RB, McKibbon KA, Wilczynski NL, Walter SD, Werre SR, Hedges Team. Optimal search strategies for retrieving scientifically strong studies of treatment from Medline: analytical survey. BMJ. 2005;330(7501):1179. doi:10.1136/bmj.38446.498542.8F
16. Mauri L, Hsieh W, Massaro JM, Ho KKL, D’Agostino R, Cutlip DE. Stent thrombosis in randomized clinical trials of drug-eluting stents. N Engl J Med. 2007;356(10):1020-1029. doi:10.1056/NEJMoa067731
17. Sterne JAC, Savovic J, Page MJ, et al. RoB 2: a revised tool for assessing risk of bias in randomised trials. BMJ. 2019;366:I4898. Published 2019 Aug 28. doi:10.1136/bmj.l4898
18. Wells GA, Shea B, O’Connell D, et al. The Newcastle-Ottawa scale (NOS) for assessing the quality of nonrandomised studies in meta-analyses. Accessed March 14, 2022. http://www.ohri.ca/programs/clinical_epidemiology/oxford.asp
19. Krahn U, Binder H, König J. Visualizing inconsistency in network meta-analysis by independent path decomposition. BMC Med Res Methodol. 2014;14:131. doi:10.1186/1471-2288-14-131
20. Chen S-L, Santoso T, Zhang J-J, et al. A randomized clinical study comparing double kissing crush with provisional stenting for treatment of coronary bifurcation lesions: results from the DKCRUSH-II (Double Kissing Crush versus Provisional Stenting Technique for Treatment of Coronary Bifurcation Lesions) trial. J Am Coll Cardiol. 2011;57(8):914-920. doi:10.1016/j.jacc.2010.10.023
21. Crimi G, Mandurino-Mirizzi A, Gritti V, et al. Percutaneous coronary intervention techniques for bifurcation disease: network meta-analysis reveals superiority of double-kissing crush. Can J Cardiol. 2020;36(6):906-914. Epub 2019 Sep 9. doi: 10.1016/j.cjca.2019.09.002
22. Chiabrando JG, Lombardi M, Vescovo GM, et al. Stenting techniques for coronary bifurcation lesions: evidence from a network meta-analysis of randomized clinical trials. Catheter Cardiovasc Interv. 2021;97(3):E306-E318. doi:10.1016/j.cjca.2019.09.002
23. Di Gioia G, Sonck J, Ferenc M, et al. Clinical outcomes following coronary bifurcation PCI techniques: a systematic review and network meta-analysis comprising 5,711 patients. JACC Cardiovasc Interv. 2020;13(12):1432-1444. doi:10.1016/j.jcin.2020.03.054
24. Chen S-L, Ye F, Zhang J-J, et al. Randomized comparison of FFR-guided and angiography-guided provisional stenting of true coronary bifurcation lesions: the DKCRUSH-VI trial (Double Kissing Crush Versus Provisional Stenting Technique for Treatment of Coronary Bifurcation Lesions VI). JACC Cardiovasc Interv. 2015;8(4):536-546. doi:10.1016/j.jcin.2014.12.221
25. Kim W-J, Kim Y-H, Park D-W, et al. Comparison of single- versus two-stent techniques in treatment of unprotected left main coronary bifurcation disease. Catheter Cardiovasc Interv. 2011;77(6):775-782. doi:10.1002/ccd.22915
26. Rigatelli G, Zuin M, Nikolov P, Mileva N, Vassilev D. One- and 3-year outcomes of percutaneous bifurcation left main revascularization with modern drug-eluting stents: a systematic review and meta-analysis. Clin Res Cardiol. 2021;110(1):1-11. doi:10.1007/s00392-020-01679-w
27. Chen X, Li X, Zhang J-J, et al. 3-year outcomes of the DKCRUSH-V trial comparing DK crush with provisional stenting for left main bifurcation lesions. JACC Cardiovasc Interv. 2019;12(19):1927-1937. doi:10.1016/j.jcin.2019.04.056
28. Chen S-L, Xu B, Han Y-L, et al. Comparison of double kissing crush versus culotte stenting for unprotected distal left main bifurcation lesions: results from a multicenter, randomized, prospective DKCRUSH-III study. J Am Coll Cardiol. 2013;61(14):1482-1488. doi:10.1016/j.jacc.2013.01.023
29. Santos MC, Lin T, Barlis P. In-stent restenosis associated with stent malapposition: seven year optical coherence tomography findings. Int J Cardiol. 2011;147(1):149-151. doi:10.1016/j.ijcard.2010.02.068
30. Ge L, Airoldi F, Iakovou I, et al. Clinical and angiographic outcome after implantation of drug-eluting stents in bifurcation lesions with the crush stent technique: importance of final kissing balloon post-dilation. J Am Coll Cardiol. 2005;46(4):613-620. doi:10.1016/j.jacc.2005.05.032
31. Rigatelli G, Zuin M, Dinh H, et al. Long-term outcomes of left main bifurcation double stenting in patients with STEMI and cardiogenic shock. Cardiovasc Revasc Med. 2019;20(8):663-668. doi:10.1016/j.carrev.2018.09.017
32. Pavani M, Conrotto F, Cerrato E, et al. Long-term outcomes of different two-stent techniques with second-generation drug-eluting stents for unprotected left main bifurcation disease: insights from the FAILS-2 study. J Invasive Cardiol. 2018;30(8):276-281.
33. Chen S-L, Zhang Y, Xu B, et al. Five-year clinical follow-up of unprotected left main bifurcation lesion stenting: one-stent versus two-stent techniques versus double-kissing crush technique. EuroIntervention. 2012;8(7):803-814. doi:10.4244/EIJV8I7A123
34. Kim Y-H, Park S-W, Hong M-K, et al. Comparison of simple and complex stenting techniques in the treatment of unprotected left main coronary artery bifurcation stenosis. Am J Cardiol. 2006;97(11):1597-1601. doi:10.1016/j.amjcard.2005.12.051
35. Migliorini A, Valenti R, Vergara R, et al. Angiographic and clinical outcome after crush of everolimus-eluting stent for distal unprotected left main disease. Catheter Cardiovasc Interv. 2017;90(1):72-77. doi:10.1002/ccd.26901
36. Kervinen K, Niemelä M, Romppanen H, et al. Clinical outcome after crush versus culotte stenting of coronary artery bifurcation lesions: the Nordic Stent Technique Study 36-month follow-up results. JACC Cardiovasc Interv. 2013;6(11):1160-1165. doi:10.1016/j.jcin.2013.06.009
Related Articles
- Procedural Mortality With Transcatheter Aortic Valve Replacement – Balloon Inflation is Associated With Increased Risk
- Application of Optical Coherence Tomography in the Treatment of Coronary Bifurcation Lesions
- Protected Percutaneous Coronary Intervention of Unprotected Left Main Using Impella Ventricular Assist Device Before Transcatheter Aortic Valve Implantation: A Single-Center Experience
- Treatment of Heavily Calcified Unprotected Left Main Disease With Lithotripsy: The First Case Series


