Three-Year Outcomes of Percutaneous Coronary Intervention With Next-Generation Zotarolimus-Eluting Stents for De Novo Coronary Bifurcation Lesions
Abstract:
Aims. To investigate the outcomes of percutaneous coronary intervention (PCI) in bifurcation versus non-bifurcation lesions using the next-generation Resolute zotarolimus-eluting stent (R-ZES).
Methods and Results. We analyzed 3-year pooled data from the RESOLUTE All-Comers trial and the RESOLUTE International registry. The R-ZES was used in 2772 non-bifurcation lesion patients and 703 bifurcation lesion patients, of which 482 were treated with a simple-stent technique (1 stent used to treat the bifurcation lesion) and 221 with a complex bifurcation technique (2 or more stents used). The primary endpoint was 3-year target lesion failure (TLF, defined as the composite of death from cardiac causes, target vessel myocardial infarction, or clinically-indicated target lesion revascularization [TLR]), and was 13.3% in bifurcation vs 11.3% in non-bifurcation lesion patients (adjusted P=.06). Landmark analysis revealed that this difference was driven by differences in the first 30 days between bifurcation vs non-bifurcation lesions (TLF, 6.6% vs 2.7%, respectively; adjusted P<.001), which included significant differences in each component of TLF and in-stent thrombosis. Between 31 days and 3 years, TLF, its components, and stent thrombosis did not differ significantly between bifurcation lesions and non-bifurcation lesions (TLF, 7.7% vs 9.0%, respectively; adjusted P=.50).
Conclusion. The 3-year risk of TLF following PCI with R-ZES in bifurcation lesions was not significantly different from non-bifurcation lesions. However, there was an increased risk associated with bifurcation lesions during the first 30 days; beyond 30 days, bifurcation lesions and non-bifurcation lesions yielded similar 3-year outcomes.
J INVASIVE CARDIOL 2014;26(12):630-638
Key words: drug-eluting stents, bifurcation lesions, outcomes
_______________________________________
Percutaneous coronary intervention (PCI) of bifurcation lesions represents a challenge: when treated with bare-metal stent (BMS) implantation, bifurcation lesions carry a higher risk of periprocedural complications and a lower acute and long-term success compared with non-bifurcation lesions.1-3 Although first-generation drug-eluting stent (DES) implantation outperformed BMSs in bifurcation lesions,4,5 specifically by reducing the need for reintervention,5 they only partially solved the problems associated with this lesion type.6-10 Bifurcation lesions were not included in the pivotal studies on first-generation DESs. However, side-branch restenosis remained an issue in spite of DES use,8 and bifurcation PCI was associated with higher incidence of major adverse cardiac events (death, myocardial infarction and target vessel revascularization [TVR]) at 30 days and at 1 year in another study on “off-label” use of first-generation DES implantation.7 Even more worrisome, two independent studies demonstrated that lesion location in a bifurcation was a strong independent predictor of both subacute and late stent thrombosis (ST) after DES, with point estimates for hazard ratios ranging from 2.4 to 8.1.9,10
These clinical results on the residual risk of PCI with DES implantation in bifurcation lesions were derived from studies using first-generation stents. Recent studies with new-generation DESs, however, show substantially better outcomes than with earlier devices.11-13 This improved performance may yield particular benefit in PCI for bifurcation lesions. To address this question, we analyzed the data from two large studies using the Resolute zotarolimus-eluting stent (R-ZES; Medtronic): the RESOLUTE All-Comers (RAC) trial and the RESOLUTE International (RINT) registry. We sought to investigate whether the subacute, late, and very-late risk of PCI in bifurcation lesions compared with non-bifurcations lesions is still increased with this new generation of DESs.
Methods
The studies. The design of the RAC and RINT studies, which were both large, multicenter, open-label, prospective clinical trials with minimal exclusion criteria, have been previously described.14,15 Briefly, the RAC trial was a randomized, non-inferiority study that compared the R-ZES to the Xience V everolimus-eluting stent (EES; Abbott Vascular) in patients with chronic, stable coronary artery disease or acute coronary syndromes. To be included in the study, patients had to have at least one coronary artery stenosis >50% with a reference vessel diameter of 2.25-4.0 mm; however, there were no restrictions regarding the total number of treated lesions, treated vessels, lesion length, or number of stents implanted. The RINT registry was an observational study of patients with symptomatic coronary artery disease, all of whom received at least 1 R-ZES. Like the RAC trial, the RINT registry had no restrictions on clinical indication (stable angina vs acute coronary syndromes), number of treated vessels and lesions, lesion type, or lesion length. Both studies were also similar in their exclusion criteria, postprocedure dual-antiplatelet therapy, and scheduled follow-up. Exclusion criteria included a known intolerance to a study drug, metal alloys, or contrast media; planned surgery within 6 months after the index procedure; childbearing potential; or concurrent participation in another trial that could affect the study procedures. Postprocedure dual-antiplatelet therapy consisted of lifelong daily aspirin (≥75 mg) and daily clopidogrel (75 mg) for at least 6 months. Patient follow-up was performed by telephone or clinic visit at 1, 6, and 12 months and is planned to continue annually for 5 years. Both studies complied with the provisions of the Declaration of Helsinki, and the study protocols were approved by the institutional review board at each study center. All patients provided written informed consent.
Clinical endpoints and definitions. Similar endpoint definitions were used in the RAC trial and the RINT registry and have been previously described.14,15 The same definitions were also used for the bifurcation pooled analysis, and endpoints were assessed through 3 years. Bifurcation lesion was defined as a significant lesion in which a coronary artery narrowing occurred adjacent to and/or involving the origin of a significant side-branch vessel.16 Bifurcation status and all other preprocedure lesion characteristics were assessed by quantitative coronary angiography in RAC and site-reported in RINT. The principal endpoint was target lesion failure (TLF), defined as a composite of death from cardiac causes, target vessel myocardial infarction (TVMI), or clinically indicated target lesion revascularization (TLR). Secondary endpoints included the individual components of the primary endpoint, target vessel failure (TVF), and Academic Research Consortium (ARC)-defined definite/probable ST. Target vessel failure was defined as the composite of death from cardiac causes, TVMI, or clinically indicated TVR.
The current analysis included all patients in RINT and the patients treated with R-ZES in RAC. We stratified this cohort according to treatment of at least 1 bifurcation lesion or no bifurcation lesion. In addition, we designated the procedural technique for bifurcation lesions as “simple” or “complex.” The simple bifurcation group included patients in whom no multistent bifurcation technique was used and only 1 stent was implanted. The complex bifurcation group included all other patients, ie, those in whom a bifurcation technique was used and/or 2 or more stents were implanted.
Statistical analysis. All data were analyzed according to the intention-to-treat principle. The clinical outcomes were compared with propensity-score adjusted P-values to adjust for differences in patient characteristics between groups. We primarily compared the two groups defined by bifurcation or non-bifurcation, and secondarily compared the three groups defined by non-bifurcation, complex bifurcation, and simple bifurcation. For the primary two-group comparison, propensity scores were calculated using logistic regression with treatment group (bifurcation vs non-bifurcation) as the dependent variable and the following baseline characteristics as the independent variables: diabetes mellitus, insulin-dependent diabetes, history of hypertension, prior coronary artery bypass surgery, unstable angina/myocardial infarction, left ventricular ejection fraction (LVEF) ≥30%, left anterior descending vessel, left circumflex vessel, right coronary artery vessel, left marginal coronary artery vessel, saphenous vein graft vessel, American College of Cardiology/American Heart Association (ACC/AHA) lesion class B2 or C, moderate/severe calcification, tortuosity (bend ≥45°), Thrombolysis in Myocardial Infarction (TIMI) flow grade 3, preprocedure reference vessel diameter (RVD), and lesion length. The adjusted P-values were obtained from Cox regression with treatment group and propensity score quintiles as independent variables. For the secondary three-group comparison, we obtained adjusted P-values from Cox regression with treatment group (non-bifurcation vs complex bifurcation vs simple bifurcation) as the independent variable and the following baseline characteristics as the baseline covariates: prior percutaneous coronary revascularization, hyperlipidemia, prior myocardial infarction, unstable angina/myocardial infarction, left anterior descending vessel, left circumflex vessel, right coronary artery vessel, left marginal vessel, ACC/AHA lesion class B2 or C, preprocedure TIMI, RVD, minimum lumen diameter, diameter stenosis, and lesion length.
The cumulative incidence of events was analyzed using the Kaplan-Meier method. We show the incidence curves with two-sided 95% confidence intervals and log rank P-values. For each endpoint, treatment groups were compared on time-to-event using Cox proportional hazards regression. All statistical analyses were performed by Harvard Clinical Research Institute, an independent clinical research organization, using SAS version 9.1 or higher (SAS Institute). P-values <.05 were considered statistically significant.
Results
Patient and lesion characteristics. A total of 3489 patients were included in the overall pooled analysis, and complete 3-year follow-up data were available for 3475 (99.6%). Of these patients, a total of 2772 received an R-ZES to treat a non-bifurcation lesion, while 703 patients (20.1%) received an R-ZES to treat a bifurcation lesion. Among the bifurcation treatment group, the side branch was stented in 19.0% of patients. Additionally, a total of 482 of the 703 bifurcated lesion patients were treated with a simple technique and 221 with a complex technique. The most common techniques used for complex stenting were T-stent (39%) and crush (24.5%). Other techniques, such as the culotte, kissing stent, and V-stent, were used in <10% of patients.
Table 1 provides differences in baseline characteristics. Compared with non-bifurcation lesions, bifurcation lesions were more likely to have severe calcification, higher TIMI flow, and to be located in the left anterior descending coronary artery, left circumflex coronary artery, or left marginal, and less likely to be located in the right coronary artery. Patients who underwent bifurcation lesion PCI also had a higher number of lesions treated, a higher number of stents used, and a longer total stent length. Non-bifurcation PCI patients were more likely to have a history of coronary bypass surgery and more likely to undergo saphenous vein graft lesion stenting. Patients treated with simple bifurcation stenting had a higher incidence of prior smoking, prior percutaneous coronary revascularization, and prior myocardial infarction. Overall, patients who were stented using a complex bifurcation technique had a greater number of treated lesions, a greater number of stents, and a longer stented length (Table 1).

Three-year outcomes in bifurcation versus non-bifurcation lesions. The 3-year incidence of TLF for bifurcation and non-bifurcation lesions was 13.3% and 11.3%, respectively (adjusted P=.06) (Table 2 and Figure 2). The 3-year incidence of TVF was higher in bifurcation compared with non-bifurcation lesions (adjusted P=.01) (Table 2). The higher rates of TLF or TVF with bifurcation lesions compared to non-bifurcation lesions were driven in part by a significant difference in TVMI, although there was no significant difference in the composite of cardiac death and TVMI (Table 2; Figure 1B). We also found a trend toward a higher incidence of TLR (Table 2; Figure 1C) and a significantly higher incidence of TVR with bifurcation lesions as compared to non-bifurcation lesions (Table 2). Bifurcation lesions were also associated with a significantly higher 3-year incidence of definite and probable ST (0-1080 days) than non-bifurcation lesions (Table 2; Figure 1D). Yet, we did not find any significant difference in cardiac or all-cause mortality (Table 2). The adjusted hazard ratios shown in Figure 2 are consistent with the Kaplan-Meier estimates.

Landmark analysis revealed that the incidence of TLF, cardiac death and TVMI, TLR, or definite and probable ST (Figures 1A-1D) during the first 30 days was higher with bifurcation lesions as compared with non-bifurcation lesions, but similar event rates occurred during subsequent follow-up over 3 years (Table 2). Use of dual-antiplatelet therapy was similar between bifurcation vs non-bifurcation lesion patients (96.7% vs 96.5% at 30 days [P=.91]; 88.8% vs 89.1% at 1 year [P=.84]; 33.9% vs 35.1% at 2 years [P=.58]; and 26.2% vs 27.7% at 3 years [P=.49]).
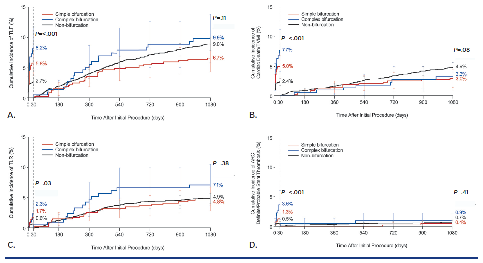
Role of simple vs complex bifurcation stenting. The higher incidence of TLF at 30 days with bifurcation stenting as compared with non-bifurcation stenting could be attributed to lesions that were treated by the complex technique (Figure 3A; Table 2). The 30-day risk of TLF in bifurcation lesions treated by the simple technique was less than in bifurcation lesions treated with the complex approach, but greater than the acute rate of TLF in non-bifurcation lesions (Figure 3A; Table 2). This pattern was observed in each of the three components of TLF (Figures 3B and 3C; Table 2) as well as in the rates of definite and probable ST (Figure 3D; Table 2).
From 31 days to 3 years, patients treated with either simple or complex bifurcation techniques had similar outcomes to patients treated for non-bifurcation lesions (Figures 3A-3C; Table 2). There was a small but significant increase in the rate of TVR with complex bifurcation stenting as compared with simple bifurcation stenting or non-bifurcation stenting (10.9%, 6.5%, or 6.4%, respectively).
Discussion
The key findings of our post hoc analysis focusing on coronary bifurcation lesions in patients treated with the next-generation R-ZES in the RAC and RINT trials are: (1) The risk of TLF tended to be higher in bifurcation vs non-bifurcation lesions, due to a significant difference in TVR and TVMI, especially with complex bifurcation lesions. (2) Bifurcation lesions carried an increased risk of acute and subacute ischemic complications. (3) Between 30 days and 3 years, bifurcation and non-bifurcation lesions yielded similar outcomes.
Despite a high-risk patient cohort in bifurcation patients, comprising 28% of patients presenting with prior myocardial infarction and 27% with diabetes mellitus, the 3-year incidence of TLF (13.3%) and TLR (6.9%) in the current study compared well with the outcomes of previous large bifurcation lesion DES registries on first-generation DESs for bifurcation lesions. Specifically, the 3-year TLR rate of 6.9% in bifurcation lesions was lower than the rate in the Arterial Revascularization Therapies Study (ARTS) II (9% at 1 year),17 the Bifurcations-Bad-Krozingen registry (15% at 2 years),5 or the Italian Multicenter Registry on Bifurcations with DES (13% at 2 years).18 Comparing these registries with the current data set, there is also no indication that the favorable efficacy of R-ZES was associated with any curtailment of safety in terms of the incidences of death, myocardial infarction, or ARC definite or probable ST.5,17-19
Contrary to what might have been expected based on the favorable outcomes with the new-generation R-ZES,13-15 this stent did not completely avert the increased risk of TVF associated with bifurcation lesions. Thus, our results challenge the conclusion drawn from the ARTS II experience that “the presence of bifurcation disease had no adverse influence on 3-year clinical outcomes.”19 Also, a recent post hoc analysis of the 2-year outcomes of the RAC study pooling patients randomized to R-ZES or EES did not suggest a difference in TLF between bifurcation and non-bifurcation lesions (adjusted P=.26) or in any other endpoint reported.20 Yet, with 324 patients in the bifurcation group of the ARTS II substudy17,19 and 385 patients in the bifurcation group of the RAC substudy,20 the power to prove small differences was limited. Additionally, ARTS II enrolled only patients with multivessel disease, and disease complexity was severe in both bifurcation and non-bifurcation groups; nonetheless, in a multivariate analysis, bifurcation lesion was a predictor of stent thrombosis (P=.06). To improve power, our study comprised 703 patients with treated bifurcation lesions from the RAC study and the RINT registry, focused specifically on the R-ZES, and extended the follow-up to 3 years. In this respect, it is worth noting that in both the ARTS II and RAC substudies (and similar to our study),17,19,20 the outcome with respect to major endpoints was numerically inferior in bifurcation compared with non-bifurcation lesions. Consistent with our findings, the RAC substudy also demonstrated that the 30-day incidence of TLF was significantly increased in bifurcation vs non-bifurcation lesions (unadjusted P<.001).
Only limited data are available with other new-generation DESs. However, among small studies that included EES in bifurcation lesions, 1-year TLR in these patients ranged from 3.4%-6.5%,21-23 and was similar to the rate seen with R-ZES implantation. One such study retrospectively compared 235 bifurcation lesions treated with either R-ZES or EES and found no significant differences in clinical endpoints at 1 year (TLR was 6.4% with EES vs 5.5% with R-ZES; P=.77).23
One of our key findings on the new-generation R-ZES was that the observed difference in 3-year TLF or TVF between bifurcation and non-bifurcation lesions was mainly driven by peri-interventional thrombotic complications. Early after PCI in bifurcation lesions, there was a higher incidence of definite or probable ST and myocardial infarction compared with non-bifurcation lesions. This prompted more early TLRs and even caused more early deaths. Subsequently, however, the incidence of all-cause death, cardiac death, myocardial infarction, ARC definite or probable ST, and late TLR attributable to neointima formation did not differ between bifurcation and non-bifurcation lesions. Thus, between 31 days and 3 years, the risks of ARC definite/probable ST and TLR in bifurcation lesions were remarkably low (0.6% and 5.5%, respectively). This represents a major difference compared with first-generation DESs, which carried a substantially increased risk of late thrombotic events and late restenosis in bifurcation lesions compared with non-bifurcation lesions.6-10 These late events were likely driven by delayed healing24 and/or excessive neointima formation25 in response to the stent. Our study suggests that, contrary to first-generation stents, healing responses and neointima formation after placement of the new-generation R-ZES do not differ substantially between bifurcation and non-bifurcation lesions. On the other hand, early complications are often procedure-related or caused by thrombotic events in response to specific characteristics of the treated lesion. Bifurcation interventions are technically more demanding and the plaque burden is generally greater as compared with non-bifurcation lesions. Thus, it is not surprising that early complications are more frequent with bifurcation lesions and that this dilemma can hardly be solved by improvements in stent design.
The early hazard of bifurcation stenting could not be avoided by adherence to the simple technique. With both simple and complex techniques, bifurcation stenting carried a higher 30-day risk than non-bifurcation stenting. Yet, the observed early risk was higher with complex stenting than with simple stenting. During late follow-up from day 31 out to 3 years, the difference between the two stenting techniques in our primary endpoint, TLF, was small and did not reach statistical significance. The trend toward better outcomes with simple techniques that we report here is consistent with previous registries of first-generation DESs.5,17-19 The difference between the two stenting techniques may be in part related to the higher risk profile of the complex-stenting group. This finding is consistent with several randomized trials comparing simple with complex stenting for bifurcation lesions that observed worse outcomes with complex bifurcation stenting.22,26-29 In addition, a harmful effect of unneeded side-branch stents may also contribute to inferior outcomes after complex stenting, as suggested by another randomized trial.30
Study limitations. The data reported herein are derived from a post hoc analysis of non-randomized subgroups of bifurcation and non-bifurcation lesions in the RAC and RINT studies. The sample size was, therefore, predetermined and no power calculation could be performed. Thus, the study may have been underpowered to detect significant differences in infrequent adverse events between the bifurcation and non-bifurcation groups, in particular between the two subgroups classified according to bifurcation stenting technique.
We can only compare the observed outcomes with R-ZES to published historic data, which is primarily for first-generation DESs. Therefore, we cannot clarify the extent to which the differences noted between R-ZES and first-generation DESs are to be attributed to advances in stent design or to advances in procedural aspects and/or technical skills over the years.
Our study focused exclusively on the R-ZES. Thus, it remains unclear whether our current findings can be transferred to other new generation DES.
Conclusion
Clinical implications. Treatment of bifurcation lesions with R-ZES was associated with low incidence of adverse clinical events out to 3 years in real-world patients. Although the risk of adverse clinical events in bifurcation lesions continues to be higher compared with non-bifurcation lesions, this excessive risk was confined to thrombotic complications during the acute and subacute postinterventional phase. Thus, meticulous optimization of the catheter technique to achieve the best possible acute result and adequate peri-interventional antithrombotic therapy are of paramount importance. Our findings also suggest that the commonly accepted paradigm, to adopt a simple technique whenever possible, also applies to the treatment of bifurcation lesions with the R-ZES. If early complications can be avoided by these measures, patients with R-ZES in bifurcation lesions can be reassured of a favorable long-term prognosis, similar to outcomes after stenting of non-bifurcation lesions.
Acknowledgments. We thank Colleen Gilbert, PharmD, CMPP, and Tim Peoples, MA, ELS, CMPP for editorial assistance and Minglei Liu, PhD, and Yun Peng, MS, for statistical oversight and analysis (all from Medtronic).
References
- Al Suwaidi J, Berger PB, Rihal CS, et al. Immediate and long-term outcome of intracoronary stent implantation for true bifurcation lesions. J Am Coll Cardiol. 2000;35(4):929-936.
- Lefevre T, Louvard Y, Morice MC, et al. Stenting of bifurcation lesions: classification, treatments, and results. Catheter Cardiovascular Intervent. 2000;49(3):274-283.
- Sheiban I, Albiero R, Marsico F, et al. Immediate and long-term results of “T” stenting for bifurcation coronary lesions. Am J Cardiol. 2000;85(9):1141-1144, A1149.
- Thuesen L, Kelbaek H, Klovgaard L, et al. Comparison of sirolimus-eluting and bare metal stents in coronary bifurcation lesions: subgroup analysis of the Stenting Coronary Arteries in Non-Stress/Benestent Disease Trial (SCANDSTENT). Am Heart J. 2006;152(6):1140-1145.
- Ferenc M, Gick M, Kienzle RP, et al. Long-term outcome of percutaneous catheter intervention for de novo coronary bifurcation lesions with drug-eluting stents or bare-metal stents. Am Heart J. 2010;159(3):454-461.
- Beohar N, Davidson CJ, Kip KE, et al. Outcomes and complications associated with off-label and untested use of drug-eluting stents. JAMA. 2007;297(18):1992-2000.
- Win HK, Caldera AE, Maresh K, et al. Clinical outcomes and stent thrombosis following off-label use of drug-eluting stents. JAMA. 2007;297(18):2001-2009.
- Lemos PA, Hoye A, Goedhart D, et al. Clinical, angiographic, and procedural predictors of angiographic restenosis after sirolimus-eluting stent implantation in complex patients: an evaluation from the Rapamycin-Eluting Stent Evaluated At Rotterdam Cardiology Hospital (RESEARCH) study. Circulation. 2004;109(11):1366-1370.
- Iakovou I, Schmidt T, Bonizzoni E, et al. Incidence, predictors, and outcome of thrombosis after successful implantation of drug-eluting stents. JAMA. 2005;293(17):2126-2130.
- van Werkum JW, Heestermans AA, Zomer AC, et al. Predictors of coronary stent thrombosis: the Dutch Stent Thrombosis Registry. J Am Coll Cardiol. 2009;53(16):1399-1409.
- Raber L, Juni P, Nuesch E, et al. Long-term comparison of everolimus-eluting and sirolimus-eluting stents for coronary revascularization. J Am Coll Cardiol. 2011;57(21):2143-2151.
- Stone GW, Rizvi A, Sudhir K, et al. Randomized comparison of everolimus- and paclitaxel-eluting stents. 2-year follow-up from the SPIRIT (Clinical Evaluation of the XIENCE V Everolimus Eluting Coronary Stent System) IV trial. J Am Coll Cardiol. 2011;58(1):19-25.
- Yeung AC, Leon MB, Jain A, et al. Clinical evaluation of the Resolute zotarolimus-eluting coronary stent system in the treatment of de novo lesions in native coronary arteries: the RESOLUTE US clinical trial. J Am Coll Cardiol. Apr 26 2011;57(17):1778-1783.
- Holmes DR Jr, Kereiakes DJ, Garg S, et al. Stent thrombosis. J Am Coll Cardiol. 2010;56(17):1357-1365.
- Neumann FJ, Widimsky P, Belardi JA. One-year outcomes of patients with the zotarolimus-eluting coronary stent: RESOLUTE International Registry. EuroIntervent. 2012;7(10):1181-1188.
- Louvard Y, Thomas M, Dzavik V, et al. Classification of coronary artery bifurcation lesions and treatments: time for a consensus! Catheter Cardiovasc Intervent. 2008;71(2):175-183.
- Tsuchida K, Colombo A, Lefevre T, et al. The clinical outcome of percutaneous treatment of bifurcation lesions in multivessel coronary artery disease with the sirolimus-eluting stent: insights from the Arterial Revascularization Therapies Study part II (ARTS II). Eur Heart J. 2007;28(4):433-442.
- Romagnoli E, De Servi S, Tamburino C, et al. Real-world outcome of coronary bifurcation lesions in the drug-eluting stent era: results from the 4,314-patient Italian Society of Invasive Cardiology (SICI-GISE) Italian Multicenter Registry on Bifurcations (I-BIGIS). Am Heart J. 2010;160(3):535-542 e531.
- Routledge HC, Lefevre T, Colombo A, et al. Three-year clinical outcome of percutaneous treatment of bifurcation lesions in multivessel coronary artery disease with the sirolimus-eluting stent: insights from the Arterial Revascularisation Therapies Study, part II (ARTS II). EuroIntervention. 2009;5(2):190-196.
- Diletti R, Garcia-Garcia HM, Bourantas CV, et al. Clinical outcomes after zotarolimus and everolimus drug eluting stent implantation in coronary artery bifurcation lesions: insights from the RESOLUTE All Comers Trial. Heart. 2013;99(17):1267-1274.
- Costopoulos C, Latib A, Naganuma T, et al. Comparison of abluminal biodegradable polymer biolimus-eluting stents and durable polymer everolimus-eluting stents in the treatment of coronary bifurcations. Catheter Cardiovascular Interv. 2013.
- Pan M, de Lezo JS, Medina A, et al. Rapamycin-eluting stents for the treatment of bifurcated coronary lesions: a randomized comparison of a simple versus complex strategy. Am Heart J. 2004;148(5):857-864.
- Ferrarello S, Costopoulos C, Latib A, et al. The role of everolimus-eluting and resolute zotarolimus-eluting stents in the treatment of coronary bifurcations. J Invasive Cardiol. 2013;25(9):436-440.
- Nakazawa G, Yazdani SK, Finn AV, Vorpahl M, Kolodgie FD, Virmani R. Pathological findings at bifurcation lesions: the impact of flow distribution on atherosclerosis and arterial healing after stent implantation. J Am Coll Cardiol. 2010;55(16):1679-1687.
- Hoffmann R, Mintz G, Dussaillant GR, et al. Patterns and mechanisms of in-stent restenosis: a serial intravascular ultrasound study. Circulation. 1996;94:1247-1254.
- Colombo A, Moses JW, Morice MC, et al. Randomized study to evaluate sirolimus-eluting stents implanted at coronary bifurcation lesions. Circulation. 2004;109(10):1244-1249.
- Steigen TK, Maeng M, Wiseth R, et al. Randomized study on simple versus complex stenting of coronary artery bifurcation lesions: the Nordic bifurcation study. Circulation. 2006;114(18):1955-1961.
- Ferenc M, Gick M, Kienzle RP, et al. Randomized trial on routine vs. provisional T-stenting in the treatment of de novo coronary bifurcation lesions. Eur Heart J. 2008;29(23):2859-2867.
- Colombo A, Bramucci E, Sacca S, et al. Randomized study of the crush technique versus provisional side-branch stenting in true coronary bifurcations: the CACTUS (Coronary Bifurcations: Application of the Crushing Technique Using Sirolimus-Eluting Stents) Study. Circulation. 2009;119(1):71-78.
- Hildick-Smith D, de Belder AJ, Cooter N, et al. Randomized trial of simple versus complex drug-eluting stenting for bifurcation lesions: the British Bifurcation Coronary Study: old, new, and evolving strategies. Circulation. 2010;121(10):1235-1243.
_________________________________________
From the 1University Heart Center Freiburg-Bad Krozingen, Bad Krozingen, Germany; 2Rabin Medical Center, Petach Tikva, Israel; 3Instituto Cardiovascular de Buenos Aires, Buenos Aires, Argentina; 4Erasmus Medical Center, Rotterdam, the Netherlands; 5Kardiologische Praxis und Praxisklinik, Munich, Germany; 6Cardiocenter, Charles University, Prague, Czech Republic; and 7Bern University Hospital, Bern, Switzerland.
Funding: RESOLUTE All Comers and RESOLUTE International were sponsored by Medtronic, Inc.
Disclosure: The authors have completed and returned the ICMJE Form for Disclosure of Potential Conflicts of Interest. Dr Ferenc reports speaking fees from Biotronik, Eli Lilly, Abbott Vascular, Boston Scientific, and Biosensors, outside the submitted work. Dr Neumann reports non-financial support for his institution and grants from Abbott Vascular, Biotronik, Edwards, Eli Lilly, and The Medicines Company; non-financial support for his institution from Medtronic, Boston Scientific, Daiichi Sankyo, Astra Zeneca, Boehringer, and Bayer. Dr Belardi is on the advisory board for Ibero Latin American, Medtronic, and Global Resolute. Dr Windecker reports honoraria from Astra Zeneca, Eli Lilly, Abbott, Biosensors, Boston Scientific and Bayer, research grants to his institution from St Jude, Biotronik, Medicines Company, Abbott, Medtronic, Boston Scientific, and Edwards Lifesciences.
Manuscript submitted May 2, 2014, provisional acceptance given June 2, 2014, final version accepted July 21, 2014.
Address for correspondence: Professor Franz-Josef Neumann, MD, Universitäts-Herzzentrum Freiburg, Universitäts-Herzzentrum, Suedring 15, Bad Krozingen, 79189, Germany. Email: Franz-Josef.Neumann@universitaets-herzzentrum.de


