Outcomes After Orbital Atherectomy of Severely Calcified Left Main Lesions: Analysis of the ORBIT II Study
Abstract: Objectives. The ORBIT II trial reported excellent outcomes in patients with severely calcified coronary lesions treated with orbital atherectomy. Severe calcification of the left main (LM) artery represents a complex coronary lesion subset. This study evaluated the safety and efficacy of coronary orbital atherectomy to prepare severely calcified protected LM artery lesions for stent placement. Methods. The ORBIT II trial was a prospective, multicenter clinical trial that enrolled 443 patients with severely calcified coronary lesions in the United States. The major adverse cardiac event (MACE) rate through 2 years post procedure, defined by cardiac death, myocardial infarction (CK-MB >3x upper limit of normal with or without a new pathologic Q-wave) and target-vessel revascularization, was compared in the LM and non-left main (NLM) groups. Results. Among the 443 patients, a total of 10 underwent orbital atherectomy of protected LM artery lesions. At 2 years, there was no significant difference in the 2-year MACE rate in the LM and NLM groups (30.0% vs 19.1%, respectively; P=.36). Cardiac death was low in both groups (0% vs 4.4%, respectively; P=.99). Myocardial infarction occurred within 30 days in both groups (10.0% vs 9.7%, respectively; P=.99). Severe dissection, perforation, persistent slow flow, and persistent no reflow did not occur in the LM group. Abrupt closure occurred in 1 patient in the LM group. Conclusions. Orbital atherectomy for patients with heavily calcified LM coronary artery lesions is safe and feasible. Further studies are needed to assess the safety and efficacy of orbital atherectomy in patients with severely calcified LM artery lesions.
J INVASIVE CARDIOL 2016;28(9):364-369. 2016 March 15 (Epub ahead of print)
Key words: calcification, percutaneous coronary intervention, atherectomy, left main
Severe coronary calcification is a marker for advanced coronary artery disease. Intravascular ultrasound (IVUS) is a useful yet underutilized technology for diagnosing the presence of coronary calcification, as it is under-appreciated with angiography alone. In a study of 1155 native coronary vessel target lesions (n = 1117 patients), angiography detected coronary calcification in 38% whereas IVUS detected calcification in 73% of lesions.1
The presence of severe coronary calcification increases the complexity level of percutaneous coronary intervention (PCI), as it may impede the full dilation of the lesion, possibly leading to coronary dissection from high-pressure inflation as well as inability to deliver the stent to the lesion.2-5 The incidence of death, myocardial infarction (MI), and target-lesion revascularization (TLR) is increased when PCI is performed in undilatable lesions due to severe coronary calcification.6 Stent implantation in an undilatable lesion can lead to stent underexpansion, which predisposes to in-stent restenosis7 and stent thrombosis.8 Patients with severely calcified left main (LM) lesions are often evaluated for coronary artery bypass graft (CABG) surgery given the increased complexity of treating these lesions, but are often not surgical candidates given the high associated risk. Clinical trials often exclude patients with severely calcified coronary lesions due to the associated complexity.
The current PCI guideline states that plaque modification with rotational atherectomy is a class IIa recommendation for fibrotic or heavily calcified lesions that might not be crossed by a balloon catheter or adequately dilated before stent implantation.9 Orbital atherectomy represents a newer technology to modify severely calcified plaque and help prepare a lesion prior to stent implantation. The ORBIT II study reported excellent short-term and intermediate-term outcomes with orbital atherectomy of severely calcified lesions.10-12 The rate of TLR at 2 years was 6.2% in this complex lesion subset.
The gold standard for the treatment of LM disease is CABG. However, PCI is a reasonable option in selected patients.9 Severe LM calcification increases the complexity of PCI. As the LM supplies the largest territory of myocardium, severely calcified LM lesions can be challenging to dilate, leading to prolonged balloon inflation, which causes myocardial ischemia and may ultimately result in hemodynamic and electrical instability. Orbital atherectomy allows for vessel preparation, enabling successful stent deployment when treating severely calcified lesions. We report the outcomes of orbital atherectomy for the treatment of severely calcified LM disease from the ORBIT II study.
Methods
Device description. The coronary orbital atherectomy device (Cardiovascular Systems, Inc) used in the ORBIT II study has been previously described.10 Two different configurations, pneumatic and electrical orbital atherectomy, were used. In brief, the mechanism of action is differential sanding, in which an eccentrically mounted, diamond-coated crown rotates over the ViperWire (Cardiovascular Systems, Inc) and laterally expands due to centrifugal force. The crown rotates at 80,000 rpm at low speed and 120,000 rpm at high speed. The ViperSlide solution is infused into the device to lubricate the crown, reducing friction and heat, and allowing easier advancement of the device over the ViperWire.
Study design. The prospective, multicenter, single-arm, non-randomized study enrolled patients at 49 United States sites from May 25, 2010 to November 26, 2012.12 The Institutional Review Board at each participating center approved the trial and all subjects provided informed consent. The 443 patients included in the ORBIT II study had a de novo, severely calcified lesion in a native coronary artery on fluoroscopy or IVUS. Unprotected LM lesions were excluded from the study. An angiographic core laboratory (Cleveland Clinic Foundation, Cleveland, Ohio) provided assessment of the angiogram and reported the minimum lumen diameter (MLD), final percentage of residual stenosis, and the presence and types of dissections and perforations. After orbital atherectomy, stent implantation was required. The duration of dual-antiplatelet therapy was left to the discretion of the operator. A clinic visit at 30 days was mandatory. The clinical outcomes of the 10 patients with LM lesions (the LM group) who underwent orbital atherectomy were compared with the 433 patients in the non-left main (the NLM group).
Clinical outcomes. The major adverse cardiac event (MACE) rate was assessed through 2 years of follow-up. MACE was defined as the composite of cardiac death, MI, and target-vessel revascularization (TVR). MI was defined as creatinine kinase-myocardial band level >3x the upper limit of normal with or without a new pathologic Q-wave. TVR was defined as repeat revascularization of the target vessel (inclusive of the target lesion) after completion of the index procedure. Other clinical outcomes included severe angiographic complications during the index procedure, including severe dissections (types C to F), perforation, persistent slow flow, persistent no reflow, and abrupt closure.
Statistical analysis. Continuous variables are presented as mean ± standard error, and categorical variables are presented as frequency tables or proportions. P-values were calculated using a Wilcoxon rank-sum test for continuous parameters and the Fisher’s exact test for categorical parameters. A Kaplan-Meier analysis with a confidence interval based on Peto’s method was used to estimate the MACE rate as well as the individual components including cardiac death, MI, and TVR. Statistical comparisons of the Kaplan-Meier event rates were made using Cox proportional hazards model. Statistical analyses were performed with either SAS software system (SAS Institute, Inc) or R (R Core Team 2012; R Foundation for Statistical Computing).
Results
Baseline characteristics. The LM group included 10 patients and the NLM group included 433 patients. The LM group had a higher percentage of patients with a history of MI (70.0% vs 21.2%; P=.01) (Table 1). The LM group had a shorter target lesion length (13.3 ± 1.9 mm vs 19.1 ± 0.4 mm; P=.03), shorter length of calcium (20.7 ± 3.0 mm vs 28.8 ± 0.8 mm; P=.04), and a larger reference vessel diameter (3.4 ± 0.1 mm vs 3.1 ± 0.0 mm; P=.02) (Table 2).


Procedural results. Both groups were well matched with respect to orbital atherectomy treatment parameters (Table 3). The majority of patients underwent orbital atherectomy with the pneumatic 1.25 mm device. Similarly, the majority of patients underwent orbital atherectomy with both low (80,000 rpm) and high (120,000 rpm) speed. Drug-eluting stents were predominantly used in both groups (100% vs 87.9%; P=.40). Overall procedural results were similar in both groups, including proportion of patients who underwent post-orbital atherectomy device/prestent balloon dilatation and the mean stents used per subject (Table 4). The total volume of contrast used was higher in the LM group (227.2 ± 22.4 mL vs 172.7 ± 4.2 mL; P=.02) (Table 5). The final MLD was larger in the LM group (3.3 ± 0.2 mm vs 2.9 ± 0.0 mm; P=.02).
Clinical outcomes. At 30 days, there were no significant differences in MACE rates (10.0% vs 10.4%; P>.99), cardiac death (0.0% vs 0.2%; P>.99), MI (10.0% vs 9.7%; P>.99), or TVR (0.0% vs 1.4%; P>.99) (Table 6). Angiographic complications including severe dissection, perforation, persistent slow flow, persistent no reflow, and abrupt closure were not significantly different between the two groups. One patient had elevated CK-MB post PCI meeting the study definition of non-Q wave MI. However, the patient was asymptomatic, there were no changes on electrocardiography, and there was no escalation in care. Abrupt closure occurred in 1 patient who experienced a type B coronary dissection during initial wire exchange prior to initiation of the orbital atherectomy device. The dissection was successfully treated with a balloon.

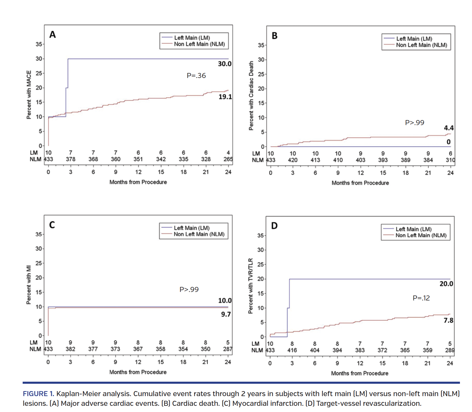
At 2-year follow-up, there was no significant difference in MACE rate (30.0% vs 19.1%; P=.36), cardiac death (0.0% vs 4.4%; P>.99), MI (10.0% vs 9.7%; P>.99), or TVR (20.0% vs 7.8%; P=.12) (Figure 1).

Discussion
Orbital atherectomy joins rotational atherectomy as the only other treatment modality recommended for severely calcified coronary lesions. Currently, there are no data on the outcomes of orbital atherectomy for severely calcified LM artery lesions. Our analysis of the ORBIT II study suggests that orbital atherectomy is feasible in this complex lesion subset at intermediate-term follow-up.
Data on outcomes of other types of atherectomy for severely calcified LM artery lesions are limited. In a Spanish study of 40 patients, survival free of cardiac death was 71 ± 7% and clinically guided TVR was 19.3 ± 7% at 2-year follow-up.13 The New Tokyo Registry reported a 1-year cardiac death rate of 6.3% and TLR rate of 18.8% in 64 patients who underwent rotational atherectomy for heavily calcified LM disease.14

PCI of a severely calcified LM coronary artery lesion is technically challenging. The initial attempt at high-pressure balloon inflation in a severely calcified undilatable LM artery lesion may result in dissection and ischemia, especially if multiple inflations are performed, possibly leading to hemodynamic and electrical collapse given the large territory of myocardium the LM artery subtends. Once a coronary dissection occurs, atherectomy is no longer an option. An initial strategy of plaque modification with atherectomy can facilitate stent delivery as well as optimal stent expansion, thereby decreasing the risk of in-stent restenosis and thrombosis.
Although the LM group only included 10 patients, no patients had periprocedural dissection, perforation, persistent slow flow, or persistent no reflow. One LM patient (10%) had abrupt closure and 1 patient had a periprocedural MI (CK-MB >3x ULN). There were no cardiac deaths in the LM group through 2-year follow-up. Although 2 patients (20%) had TVR, no further TVR events were observed after 180 days of follow-up.
When performing atherectomy of the severely calcified LM artery, orbital atherectomy may be preferred over rotational atherectomy especially given the large diameter of the vessel (typically 4 mm). If rotational atherectomy is performed, a smaller burr should be chosen initially prior to using a larger size burr (≥2 mm), especially if the MLD is small. An initial strategy of aggressive sizing with a large burr may lead to significant hemodynamic compromise. A step-wise escalation from a small burr (1.25 mm or 1.5 mm) to a larger burr (≥1.75 mm) may decrease the risk, but would require more procedural and fluoroscopic time as well as effort to change to different burrs. The advantage of orbital atherectomy is that one crown can achieve large lumen size by increasing the speed from low to high. Particles liberated during orbital atherectomy are <2 µm, compared with 5-10 µm with rotational atherectomy, which may explain the extremely low rates of persistent slow reflow and no reflow.15,16 The elliptical orbit of the crown may permit blood and microparticles to flow around it, further minimizing the risk of persistent slow reflow or no reflow.

Study limitations. The LM group had a small number of patients with intermediate-term follow-up. There was no comparison group of patients who underwent CABG, rotational atherectomy, or patients who did not undergo atherectomy. Because the ORBIT II study was not designed to assess patients with multivessel or LM disease, the SYNTAX score was not calculated for patients. Later in the ORBIT II study, IVUS was added as an alternative diagnostic tool to determine the level of lesion calcification; however, IVUS assessment during the procedure was not required. IVUS can optimize PCI results by assessing stent expansion and apposition. In the MAIN-COMPARE registry, patients who underwent IVUS-guided PCI had a lower mortality rate at 3 years compared with patients who had PCI guided by conventional angiography after adjustment with propensity-score matching (6.3% for IVUS vs 13.6% for conventional angiography; log-rank P=.06; hazard ratio, 0.54; 95% confidence interval, 0.28-1.03).17
Conclusion
Plaque modification with orbital atherectomy is feasible in patients with severely calcified LM artery lesions. A prospective randomized trial is needed to assess the long-term safety and efficacy of this treatment strategy in this highly complex lesion subset.
References
1. Mintz GS, Popma JJ, Pichard AD, et al. Patterns of calcification in coronary artery disease: a statistical analysis of intravascular ultrasound and coronary angiography in 1155 lesions. Circulation. 1995;91:1959-1965.
2. Fitzgerald PJ, Ports TA, Yock PG. Contribution of localized calcium deposits to dissection after angioplasty: an observational study using intravascular ultrasound. Circulation. 1992;86:64-70.
3. Abdel-Wahab M, Richardt G, Joachim Büttner H, et al. High-speed rotational atherectomy before paclitaxel-eluting stent implantation in complex calcified coronary lesions: the randomized ROTAXUS (Rotational Atherectomy Prior to Taxus Stent Treatment for Complex Native Coronary Artery Disease) trial. JACC Cardiovasc Interv. 2013;6:10-19.
4. Cavusoglu E, Kini AS, Marmur JD, Sharma SK. Current status of rotational atherectomy. Catheter Cardiovasc Interv. 2004;62:485-498.
5. Schlüter M, Cosgrave J, Tübler T, Melzi G, Colombo A, Schofer J. Rotational atherectomy to enable sirolimus-eluting stent implantation in calcified, nondilatable de novo coronary artery lesions. Vasc Dis Manage. 2007;4:63-69.
6. Mosseri M, Satler LF, Pichard AD, Waksman R. Impact of vessel calcification on outcomes after coronary stenting. Cardiovasc Revasc Med. 2005;6:147-153.
7. Onuma Y, Tanimoto S, Ruygrok P, et al. Efficacy of everolimus eluting stent implantation in patients with calcified coronary culprit lesions: two-year angiographic and three-year clinical results from the SPIRIT II study. Catheter Cardiovasc Interv. 2010;76:634-642.
8. Benezet J, Diaz de la Llera LS, Cubero JM, Villa M, Fernandez-Quero M, Sánchez-González A. Drug-eluting stents following rotational atherectomy for heavily calcified coronary lesions: long-term clinical outcomes. J Invasive Cardiol. 2011;23:28-32.
9. Levine GN, Bates ER, Blankenship JC, et al. A report of the American College of Cardiology Foundation/American Heart Association Task Force on Practice Guidelines and the Society for Cardiovascular Angiography and Interventions. J Am Coll Cardiol. 2011;58:e44-e122.
10. Chambers JW, Feldman RL, Himmelstein SI, et al. Pivotal trial to evaluate the safety and efficacy of the orbital atherectomy system in treating de novo, severely calcified coronary lesions (ORBIT II). JACC Cardiovasc Interv. 2014;7:510-518.
11. Généreux P, Lee AC, Kim CY, et al. Orbital atherectomy for treating de novo severely calcified coronary narrowing (1-rear results from the pivotal ORBIT II trial). Am J Cardiol. 2015;115:1685-1690.
12. Chambers J. Orbital atherectomy treatment of severely calcified coronary lesions: two year results of the ORBIT II trial and long-term economic analysis. SCAI Scientific Sessions. May 7, 2015.
13. Garcia-Lara J, Pinar E, Valdesuso R, et al. Percutaneous coronary intervention with rotational atherectomy for severely calcified unprotected left main: immediate and two-years follow-up results. Catheter Cardiovasc Interv. 2012;80:215-220.
14. Yabushita H, Takagi K, Tahara S, et al. Impact of rotational atherectomy on heavily calcified, unprotected left main disease. Circ J. 2014;78:1867-1872.
15. Kini A, Marmur JD, Duvvuri S, et al. Rotational atherectomy: improved procedural outcome with evolution of technique and equipment. Single-center results of first 1,000 patients. Catheter Cardiovasc Interv. 1999;46:305-311.
16. Adams GL, Khanna PK, Staniloae CS, Abraham JP, Sparrow EM. Optimal techniques with the Diamondback 360° system achieve effective results for the treatment of peripheral arterial disease. J Cardiovasc Transl Res. 2011;4:220-229.
17. Park SJ, Kim YH, Park DW, et al. Impact of intravascular ultrasound guidance on long-term mortality in stenting for unprotected left main coronary artery stenosis. Circ Cardiovasc Interv. 2009;2:167-177.
From 1UCLA Medical Center, Los Angeles, California; 2North Shore University Hospital, Manhasset, New York; 3St. Francis Hospital, Roslyn, New York; 4Cardiovascular Systems, Inc, St. Paul, Minnesota; and 5Metropolitan Heart and Vascular Institute, Mercy Hospital, Minneapolis, Minnesota.
Funding: Cardiovascular Systems, Inc sponsored the ORBIT II study and financially supported the statistical analysis for the left main subanalysis. ClinicalTrials.gov Identifier: NCT01092416.
Disclosure: The authors have completed and returned the ICMJE Form for Disclosure of Potential Conflicts of Interest. Dr R. Shlofmitz reports consulting fees from CSI. Dr Lee reports speaker’s bureau fees from CSI. Dr Martinsen is an employee and stockholder of CSI. The remaining authors report no conflicts of interest regarding the content herein.
Manuscript submitted December 13, 2015, provisional acceptance given December 15, 2015, final version accepted January 8, 2016.
Address for correspondence: Dr Michael S. Lee, 100 Medical Plaza, Suite 630, Los Angeles, CA 90095. Email: mslee@mednet.ucla.edu


