Nitroglycerin-Derived Pd/Pa for the Assessment of Intermediate Coronary Lesions
Abstract: Objectives. To assess the predictive value of Pd/Pa after nitroglycerin administration (Pd/Pa[N]) as compared with standard fractional flow reserve (FFR). Methods. Consecutive patients with intermediate coronary lesions assessed by FFR between January 2014 and October 2015 were included. We measured Pd/Pa at baseline, Pd/Pa(N), and Pd/Pa after incremental doses of intracoronary adenosine. Results. A total of 134 patients (27% females; mean age, 65 years) were included. The diagnostic performance of Pd/Pa(N) and identification of cut-off value for Pd/Pa(N) compared with FFR threshold of 0.8 using receiver-operating characteristic (ROC) area under the curve analysis was between 0.98 (95% confidence interval, 0.95-1.00; P<.05) for 48 µg and 0.86 (95% confidence interval, 0.79-0.94; P<.05) for 240 µg adenosine. Pd/Pa(N) ≤0.8 had 100% positive predictive value. Pd/Pa(N) ≥0.94 provided 100% negative predictive value with a high sensitivity (>92%). Optimal diagnostic accuracy of Pd/Pa(N) was achieved for values ≤0.84. The Pearson’s correlation between Pd/Pa(N) and FFR varied between 0.89 for 24 µg adenosine and 0.77 for 240 µg (P<.01). Conclusion. Pd/Pa(N) values can be used for diagnosis of hemodynamically significant lesions. Pd/Pa(N) correlates well with standard FFR. Pd/Pa(N) cut-off of ≤0.8 can be considered significant without need for adenosine injection. The value of using adenosine whenever Pd/Pa(N) is ≥0.94 is limited.
J INVASIVE CARDIOL 2017;29(12):E177-E183. Epub 2017 August 15.
Key words: fractional flow reserve, local drug delivery
Fractional flow reserve (FFR), defined as the ratio of maximal blood flow in a stenotic artery to maximum blood flow in the absence of stenosis, emerged as an important tool in clinical decision making and is recommended by current guidelines.1,2 FFR is calculated based on the assumption that there is a linear relationship between driving pressure and myocardial blood flow during maximal hyperemia. Therefore, since its introduction, the standard method for FFR measurement is achieving maximal hyperemia.
The achievement of maximal vasodilation of the two components of coronary circulation (epicardial and microvascular arteries) is enhanced by various stimuli.3,4 A bolus of intracoronary (IC) nitrate aims to prevent any vasospasm in the epicardial vessels and is recommended as a standard3 prior to the administration of adenosine, which is used for microvascular dilation and can be administered intravenously (IV) or IC. IV adenosine was initially recommended and is used by many laboratories, but requires a large venous access and a larger amount of adenosine compared to the IC dose, resulting in higher cost. Its short-term effect, ease of use, and safety made IC adenosine the drug of choice in many laboratories.5
There is no widely accepted IC adenosine dose, although recent data suggest that administration of 100 µg for the right coronary artery and 200 µg for the left might be sufficient.6 Often, incremental doses are used to avoid side effects that are more common with higher doses. A failure to produce maximal hyperemia was reported in 10%-15% of the initial FFR studies when low doses of adenosine were used (8-12 µg for the right coronary and 15-18 µg for the left coronary).7 Submaximal hyperemia may lead to an underestimation of the lesion’s hemodynamic significance. A dose-response relationship for IC adenosine doses as high as 100 µg has been demonstrated in animals and humans.5,8,9 More recently, experience with the administration of very high adenosine doses (up to 720 µg) has been reported with mixed results.10-12
Although injecting incremental doses of IC adenosine is feasible, it is also time and resource consuming. Furthermore, positive FFR values are often obtained with lower adenosine dose or with administration of other vasodilators.
Based on our experience with FFR studies, we noticed that post-nitroglycerin Pd/Pa (Pd/Pa[N]) could predict the hemodynamic significance of coronary lesions prior to IC adenosine injection. Therefore, the aim of this study is to assess the predictive value of Pd/Pa(N), as compared with standard IC-FFR and the impact of incremental doses of IC adenosine.
Methods
The study protocol was approved by the Western University Research Ethics Board. The authors have conformed to institutional guidelines and those of the American Physiological Society. Due to the nature of this study, informed consent was not required. As part of a quality improvement project, data were collected from all FFR studies performed at London Health Sciences Center between January 2014 and October 2015. Incremental doses of adenosine for IC injection ranging from 24 µg to 360 µg were recommended but not mandatory for the operators. Exclusion criteria for this study were either lack of nitroglycerin injection prior to adenosine administration or injection of a single adenosine dose.
The FFR measurement protocol at our center after coronary angiography includes a 0.014˝ high-fidelity pressure-recording PrimeWire Prestige Plus guidewire (Philips Volcano Corporation) or PressureWire Aeris (Abbott Vascular) introduced through a 5 Fr or 6 Fr guiding catheter into the coronary artery. The guidewire was calibrated and then advanced to the distal tip of the catheter, followed by equalization. The pressure wire was subsequently advanced into the coronary artery with the pressure sensor placed beyond the lesion site. Pressure distal to the stenotic lesion (Pd) and aortic pressure (Pa) were recorded. A single dose of IC nitroglycerin was given (50-200 µg depending on patient blood pressure, mean dose of 113 µg) followed by a saline flush. Pd/Pa(N) corresponds to the lowest Pd/Pa determination post nitroglycerin administration, usually within 10 seconds. Incremental doses of adenosine ranging from 24 µg to 360 µg were given. Baseline Pd/Pa values, post Pd/Pa(N) values, and post-adenosine FFR values were recorded.
Each dose was given only after the effect of the previous dose wore off and Pd/Pa returned to baseline value. Drift was excluded at the end of each FFR study by pulling back the pressure wire to the distal tip of the catheter. Maximal drift of 0.02 was accepted.
Statistical analysis. Descriptive statistics for the study population are presented as mean ± standard deviation for continuous variables and number (%) for categorical variables. For the assessment of the relationship between Pd/Pa(N) and standard FFR, Pearson’s correlation coefficient (r) was used. Estimation of the diagnostic performance of Pd/Pa(N) and identification of cut-off value for Pd/Pa(N) compared with FFR threshold of 0.8 was conducted using receiver-operating characteristic (ROC) and area under the curve (AUC) analysis. Sensitivity, specificity, and negative and positive predictive values with corresponding 95% confidence intervals (CIs) were calculated. All statistical tests were considered statistically significant when a P-value was <.05. Data analyses were performed using Statistical Package for Social Sciences (SPSS) v. 20 (IBM, Inc).
Results
Baseline patient characteristics are described in Table 1. A total of 310 FFR studies were performed during the above-mentioned time frame; 134 studies met the inclusion criteria. Table 2 provides a list of the studied lesions and their locations. Procedural success for advancing the pressure wire distal to the stenosis was 100%.

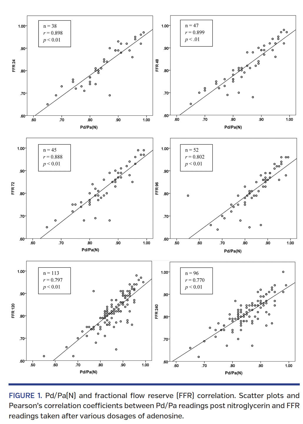
The Pearson’s correlation between Pd/Pa(N) and FFR was studied for all administered doses and was overall good, with superior correlation for the lower doses – varying between 0.89 for 24 µg and 36 µg adenosine and 0.77 for 240 µg (P<.01). Figure 1 shows scatter plots and positive Pearson’s correlation for each adenosine dose. Figure 2 shows ROC curves for the Pd/Pa(N) using an FFR value of 0.8 as the reference (standard) variable. AUC was between 0.98 (95% CI, 0.95-1.00; P<.05) for 48 µg adenosine and 0.86 (95% CI, 0.79-0.94; P<.05) for 240 µg adenosine. Table 3 summarizes the cases and demonstrates the number of available values for each of the adenosine doses.



According to available and missing values and to avoid potential bias, the Pd/Pa(N), FFR 120, and FFR 240 values were used in the subsequent analysis. Tables 4 and 5 demonstrate the classification accuracy for the two selected doses, respectively. For both, Pd/Pa(N) ≥0.94 provided 100% negative predictive value (NPV) with a high sensitivity (>92%). The optimal diagnostic accuracy of Pd/Pa(N) was achieved for values ≥0.84, which resulted in accuracy of 83.2% and 68.1% for 120 µg adenosine and 240 µg adenosine, respectively.


Pd/Pa(N) values as predictor of final FFR values and clinical decision.
Pd/Pa(N) ≤0.8. Twenty-four patients (18%) had a Pd/Pa(N) ≤0.8. For these studies, adenosine injections, regardless of dose administered or number of injections, FFR remained positive and therefore would not have changed the operator’s treatment strategy.
Pd/Pa(N) >0.8. Seventy-five patients (54%) with a Pd/Pa(N) >0.8 were further evaluated with adenosine doses of 120 µg and 240 µg. Of these, 55 studies were negative for the 120 µg. Only 4 out of 55 studies turned out positive when tested with increasing dose of 240 µg.
Discussion
The results of this study suggest that Pd/Pa(N) can be used for diagnosis of hemodynamically significant lesions. Pd/Pa(N) correlates well with FFR. Pd/Pa(N) cutoff of ≤0.8 can be considered significant with no need for adenosine injection. The value of using adenosine whenever Pd/Pa(N) is above 0.94 is limited.
Our findings extend recent observations,13 which indicate a good correlation of Pd/Pa(N) with FFR results. Moreover, a high negative predictive value for Pd/Pa(N)- >0.88 to exclude lesion significance was established, potentially reducing the need for adenosine in a significant number of patients.13 Baseline Pd/Pa values prior to hyperemia were also studied14 and showed good correlation to FFR. However, Pd/Pa(N) was shown to correlate better with FFR than baseline Pd/Pa.13
The administration of IV adenosine as a means of achieving maximal hyperemia is considered by some the gold standard, but its widespread use in the catheterization laboratory is limited by some drawbacks,
including length of time during drug application to achieve a steady state and the higher occurrence of systemic adverse reactions,15,16 making the IC adenosine injection a more appealing alternative.
However, even the use of IC adenosine is time and resource consuming, and therefore FFR is often underused. Current data from the United States CathPCI registry indicates that only 6.1% of patients with moderate coronary lesions were assessed with FFR prior to PCI.17 Data from a Swedish registry18 showed utilization of FFR in 0.2% and 10% of patients in Iceland and Sweden, respectively.
For these reasons, the search for a simplified, quicker, and even adenosine-free alternative is ongoing. Instantaneous wave-free ratio (iFR) has been proposed as an index of stenosis severity that is independent of hyperemia and can be measured without the need for adenosine.19 The diagnostic accuracy of iFR and resting Pd/Pa compared with standard FFR was studied and found to be 80% for both indices.20 Others demonstrated a lower diagnostic accuracy for iFR when compared with FFR.21
Recently, the effect of IC contrast injection on Pd/Pa was reported.22,23 It showed higher diagnostic accuracy of contrast as compared with resting Pd/Pa or iFR.24 However, earlier works demonstrated that contrast-induced hyperemia is inferior compared with hyperemia achieved by other means25 and the excessive use of contrast for that purpose must be balanced with the potential low risk of contrast-induced acute kidney injury.
When Pd/Pa(N) values are near normal (defined in this study by values ≥0.94), Pd/Pa(N) has an excellent NPV and a very high sensitivity. Therefore, based on our findings, the physician might opt to skip any adenosine injection since the chances of a positive FFR are very low.
Alternatively, injection of very high adenosine doses (and foregoing any doses lower than 240 µg that were tested in the current study) may be considered to rule out an FFR-positive lesion. It is likely that such negative Pd/Pa(N)- positive standard FFR results will be in the gray zone. The clinical significance of gray-zone FFR (0.8>FFR≥0.75) is not yet clear. In patients with stable coronary artery disease and gray-zone FFR followed for approximately 2 years, medically treated patients had a lower event rate and no difference in presence of angina when compared with patients who were revascularized.26 When followed for 4.5 ± 2.1 years, patients with deferred revascularization had similar need for intervention whether their FFR was 0.75 to 0.80 or 0.81 to 0.85.27 The DEFER trial did not show clinical benefit for revascularization for lesions with FFR>0.75 as compared with medical therapy.28 A threshold of 0.8 was subsequently adopted.29 It seems that a true cut-off for FFR lesions does not exist and a gradual relation between degree of ischemia and outcome is more likely.30,31 Taken together, the clinical benefit of using high-dose adenosine to rule out true positive lesions is currently unknown. Further studies are needed to determine if an FFR-negative lesion that turned out to be positive only after high-dose adenosine should be revascularized.
Study limitations. The present study has several limitations. The main one lies within the small number of patients and the non-randomized nature, which may introduce selection bias. Moreover, the lack of protocol-driven nitroglycerin dosage might limit the reproducibility of our findings. The absence of comparator group for IV adenosine infusion and the low number of non-left anterior descending coronary artery FFR studies are other important limitations. Yet, we have demonstrated good correlation between Pd/Pa(N) and a wide spectrum of IC adenosine doses and the clinical importance of lesions diagnosed by very high-dose adenosine is unclear.
Conclusion
We demonstrated that Pd/Pa(N) correlates well with FFR results. When Pd/Pa(N) is ≤0.8, there is no need for adenosine injection. When Pd/Pa(N) is ≥0.94, there is a high probability of an FFR-negative lesion. Pd/Pa(N)-based strategy may be integrated into the hemodynamic assessment of borderline lesion.
References
1. Levine GN, Bates ER, Blankenship JC, et al. 2011 ACCF/AHA/SCAI guideline for percutaneous coronary intervention. A report of the American College of Cardiology Foundation/American Heart Association Task Force on Practice Guidelines and the Society for Cardiovascular Angiography and Interventions. J Am Coll Cardiol. 2011;58:e44-e122.
2. Hau WK. Routine pressure-derived fractional flow reserve guidance: from diagnostic to everyday practice. J Invasive Cardiol. 2006;18:240-245.
3. Pijls NH, Sels JW. Functional measurement of coronary stenosis. J Am Coll Cardiol. 2012;59:1045-1057.
4. McGeoch RJ, Oldroyd KG. Pharmacological options for inducing maximal hyperaemia during studies of coronary physiology. Catheter Cardiovasc Interv. 2008;71:198-204.
5. Casella G, Leibig M, Schiele TM, et al. Are high doses of intracoronary adenosine an alternative to standard intravenous adenosine for the assessment of fractional flow reserve? Am Heart J. 2004;148:590-595.
6. Adjedj J, Toth GG, Johnson NP, et al. Intracoronary adenosine: dose-response relationship with hyperemia. JACC Cardiovasc Interv. 2015;8:1422-1430.
7. Jeremias A, Whitbourn RJ, Filardo SD, et al. Adequacy of intracoronary versus intravenous adenosine-induced maximal coronary hyperemia for fractional flow reserve measurements. Am Heart J. 2000;140:651-657.
8. Di Segni E, Higano ST, Rihal CS, Holmes DR Jr, Lennon R, Lerman A. Incremental doses of intracoronary adenosine for the assessment of coronary velocity reserve for clinical decision making. Catheter Cardiovasc Interv. 2001;54:34-40.
9. Murtagh B, Higano S, Lennon R, Mathew V, Holmes DR Jr, Lerman A. Role of incremental doses of intracoronary adenosine for fractional flow reserve assessment. Am Heart J. 2003;146:99-105.
10. De Luca G, Venegoni L, Iorio S, Giuliani L, Marino P. Effects of increasing doses of intracoronary adenosine on the assessment of fractional flow reserve. JACC Cardiovasc Interv. 2011;4:1079-1084.
11. Lopez-Palop R, Carrillo P, Frutos A, et al. Comparison of effectiveness of high-dose intracoronary adenosine versus intravenous administration on the assessment of fractional flow reserve in patients with coronary heart disease. Am J Cardiol. 2013;111:1277-1283.
12. Rother J, Achenbach S, Trobs M, et al. Comparison of standard- and high-dose intracoronary adenosine for the measurement of coronary fractional flow reserve (FFR). Clin Res Cardiol. 2016;105:1003-1010.
13. Martin-Reyes R, de la Torre Hernandez JM, Franco-Pelaez J, et al. The use of the acute Pd/Pa drop after intracoronary nitroglycerin infusion to rule out significant FFR: CANICA (can intracoronary nitroglycerin predict fractional flow reserve without adenosine?) multicenter study. Catheter Cardiovasc Interv. 2016;87:262-9. Epub 2015 Jul 25.
14. Kim JS, Lee HD, Suh YK, et al. Prediction of fractional flow reserve without hyperemic induction based on resting baseline Pd/Pa. Korean Circ J. 2013;43:309-315.
15. Schlundt C, Bietau C, Klinghammer L, et al. Comparison of intracoronary versus intravenous administration of adenosine for measurement of coronary fractional flow reserve. Circ Cardiovasc Interv. 2015;8(5).
16. Leone AM, Porto I, De Caterina AR, et al. Maximal hyperemia in the assessment of fractional flow reserve: intracoronary adenosine versus intracoronary sodium nitroprusside versus intravenous adenosine: the NASCI (Nitroprussiato versus Adenosina nelle Stenosi Coronariche Intermedie) study. JACC Cardiovasc Interv. 2012;5:402-408.
17. Dattilo PB, Prasad A, Honeycutt E, Wang TY, Messenger JC. Contemporary patterns of fractional flow reserve and intravascular ultrasound use among patients undergoing percutaneous coronary intervention in the United States: insights from the National Cardiovascular Data Registry. J Am Coll Cardiol. 2012;60:2337-2339.
18. Gudnason T, Gudnadottir GS, Lagerqvist B, et al. Comparison of interventional cardiology in two European countries: a nationwide Internet based registry study. Int J Cardiol. 2013;168:1237-1242.
19. Sen S, Escaned J, Malik IS, et al. Development and validation of a new adenosine-independent index of stenosis severity from coronary wave-intensity analysis: results of the ADVISE (ADenosine Vasodilator Independent Stenosis Evaluation) study. J Am Coll Cardiol. 2012;59:1392-1402.
20. Jeremias A, Maehara A, Genereux P, et al. Multicenter core laboratory comparison of the instantaneous wave-free ratio and resting Pd/Pa with fractional flow reserve: the RESOLVE study. J Am Coll Cardiol. 2014;63:1253-1261.
21. Berry C, van ‘t Veer M, Witt N, et al. VERIFY (VERification of Instantaneous Wave-Free Ratio and Fractional Flow Reserve for the Assessment of Coronary Artery Stenosis Severity in EverydaY Practice): a multicenter study in consecutive patients. J Am Coll Cardiol. 2013;61:1421-1427.
22. Spagnoli V, Amabile N, Dillinger JG, et al. Myocardial fractional flow reserve measurement using contrast media as a first-line assessment of coronary lesions in current practice. Can J Cardiol. 2016;32:739-746. Epub 2015 Sep 25.
23. Schampaert E, Mansour S, Palisaitis DA. Can we just rely on contrast? Can J Cardiol. 2016;32:717-719.
24. Johnson NP, Jeremias A, Zimmermann FM, et al. Continuum of vasodilator stress from rest to contrast medium to adenosine hyperemia for fractional flow reserve assessment. JACC Cardiovasc Interv. 2016;9:757-767.
25. Nolte F, van de Hoef TP, de Klerk W, et al. Functional coronary stenosis severity assessed from the mean pressure gradient-velocity relationship obtained by contrast medium-induced submaximal hyperaemia. EuroIntervention. 2014;10:320-328.
26. Lindstaedt M, Halilcavusogullari Y, Yazar A, et al. Clinical outcome following conservative vs revascularization therapy in patients with stable coronary artery disease and borderline fractional flow reserve measurements. Clin Cardiol. 2010;33:77-83.
27. Depta JP, Patel JS, Novak E, et al. Outcomes of coronary stenoses deferred revascularization for borderline versus nonborderline fractional flow reserve values. Am J Cardiol. 2014;113:1788-1793.
28. Pijls NH, van Schaardenburgh P, Manoharan G, et al. Percutaneous coronary intervention of functionally nonsignificant stenosis: 5-year follow-up of the DEFER study. J Am Coll Cardiol. 2007;49:2105-2111.
29. Tonino PA, De Bruyne B, Pijls NH, et al. Fractional flow reserve versus angiography for guiding percutaneous coronary intervention. N Engl J Med. 2009;360:213-224.
30. Lavi S, Rihal CS, Yang EH, et al. The effect of drug-eluting stents on cardiovascular events in patients with intermediate lesions and borderline fractional flow reserve. Catheter Cardiovasc Interv. 2007;70:525-531.
31. Adjedj J, De Bruyne B, Flore V, et al. Significance of intermediate values of fractional flow reserve in patients with coronary artery disease. Circulation. 2016;133:502-508.
From 1Western University, London, Ontario, Canada; and 2London Health Sciences Centre, London, Ontario, Canada.
Funding. This work was supported by The Program of Experimental Medicine in the Department of Medicine, Western University, London Ontario.
Disclosures: The authors have completed and returned the ICMJE Form for Disclosure of Potential Conflicts of Interest. The authors report no financial relationships or conflicts of interest regarding the content herein.
Manuscript submitted March 27, 2017 and final version accepted April 6, 2017.
Address for correspondence: Shahar Lavi, MD, Division of Cardiology, London Health Sciences Centre, 339 Windermere Road, P.O. Box 5339, London, ON, Canada N6A 5A5. Email: shahar.lavi@lhsc.on.ca


