Impact of Chronic Total Occlusion Revascularization Attempts on Subsequent Clinical Outcomes
Abstract: Objectives. We examined a contemporary, unselected cohort of patients with coronary chronic total occlusions (CTOs) to determine the impact of CTO revascularization on long-term outcomes. Methods. We retrospectively assessed the impact of CTO revascularization on clinical outcomes of consecutive patients found to have a CTO during coronary angiography performed at our institution during 2011 and 2012. The primary endpoint was the incidence of a major adverse cardiac event (MACE, defined as a composite of death, myocardial infarction, stroke, and target-vessel revascularization [TVR]). Survival analysis was performed in the overall and propensity-matched retrospective cohorts of patients stratified by prior coronary artery bypass graft (CABG) surgery. Propensity-adjusted hazard ratio (HR) and 95% confidence interval (95% CI) were calculated with Cox proportional hazards analysis. All analyses were by intention to treat. Results. Of 624 patients (319 without prior CABG and 305 with prior CABG) included in the present analysis, CTO revascularization (surgical or percutaneous) was attempted in 60% and 16% of patients without and with prior CABG, respectively. During a median follow-up of 26 months (range, 18-40 months), the incidence of MACE was 20.6%. CTO revascularization (achieved or attempted) was associated with lower incidence of MACE among patients without prior CABG (propensity-adjusted HR, 0.51; 95% CI, 0.27-0.94; P=.03), but not among prior CABG patients (propensity-adjusted HR, 1.38; 95% CI, 0.64-2.96; P=.41). Conclusion. In a large, unselected patient population with coronary CTOs, a CTO revascularization attempt was associated with lower incidence of subsequent MACE among patients without prior CABG, but not among prior CABG patients.
J INVASIVE CARDIOL 2016;28(12):E185-E192.
Key words: chronic total occlusion, unselected patient population, treatment strategy, prior CABG
Coronary chronic total occlusions (CTOs) are commonly found during coronary angiography.1,2 We recently demonstrated that at least one CTO was present in 31% and 89% of patients without and with prior coronary artery bypass graft (CABG) surgery, respectively.3 Patients with CTOs who present with an acute coronary syndrome have significantly higher mortality as compared with patients who do not have a CTO.3,4 Patients with ischemic cardiomyopathy and a CTO have been shown to have a higher incidence of appropriate cardiac defibrillator shocks, as compared with patients who do not have a CTO.5 Several studies and meta-analyses have demonstrated that patients in whom CTO percutaneous coronary intervention (PCI) failed had worse outcomes as compared with patients in whom CTO-PCI was successful.2,6
An important limitation of the aforementioned studies is that they included patients who had presented with a clinical event (such as an acute coronary syndrome, appropriate defibrillator shocks, or PCI attempt). Outcomes of unselected CTO patients and the frequency and impact of coronary revascularization have received limited study and formed the focus of our investigation.
Methods
Patient population. We retrospectively reviewed the charts of consecutive patients who underwent coronary angiography at our institution between January 2011 and December 2012, and were found to have a coronary CTO. The charts were also reviewed for outcomes between initial diagnostic angiography and May 2014. Analyses were stratified by prior CABG. Clinical outcomes were compared between patients who did and those who did not undergo a CTO revascularization attempt. Analyses were performed by “intention-to-treat,” ie, patients who underwent an unsuccessful CTO-PCI attempt were analyzed in the CTO revascularization group (Figure 1).

Definitions. CTO was defined as a total coronary artery occlusion of at least 3 months duration with Thrombolysis in Myocardial Infarction (TIMI) 0 flow. Procedural success of CTO-PCI was defined as achievement of <30% residual diameter stenosis within the treated segment and restoration of TIMI grade 3 antegrade flow. Chronic kidney disease was defined as a glomerular filtration rate of <60 mL/min/1.73 m2 for 3 months. Hyperlipidemia was defined based on the recommendations of the National Cholesterol Education Program Adult Treatment Panel III.7 Hypertension was defined as blood pressure of >140/90 mm Hg or >130/80 mm Hg in patients with diabetes mellitus. The primary outcome was the incidence of major adverse cardiac event (MACE). MACE included any of the following: cardiac death, myocardial infarction (MI), stroke, and repeat target-vessel revascularization (TVR). All deaths were considered to be cardiac, unless a definitive non-cardiac cause was established. Myocardial infarction was defined according to the Third Universal Definition of Myocardial Infarction.8 The Institutional Review Board of our institution approved the study.
Statistical analysis and propensity-score matching. Continuous parameters were presented as mean ± standard deviation and compared with the t-test or Wilcoxon rank sum, as appropriate. Nominal variables were presented as percentages and compared using the c2 of the Fisher’s exact test, as appropriate. The incidence of death and other adverse clinical events was calculated using the Kaplan-Meier method and compared with the log-rank test. To reduce selection bias related to the observational design of the study, we repeated analyses in a propensity-matched population. Propensity scores were calculated with an inclusive logistic regression model that included all baseline clinical and angiographic characteristics presented in Tables 1 and 2. Model diagnostics were performed with assessment of the receiver-operator characteristic curves and the Hosmer-Lemeshow statistic. Subsequently, propensity scores were matched using a “proximal neighbor match” algorithm and covariate balance was assessed with standardized differences (Cohen’s d-statistic for continuous variables and Cramer’s v-statistic for categorical variables). Values range from 0 to 1, with a value of 1 signifying a large effect size or association. Imputation of data was performed with the means replacement method, when necessary. In the matched population, propensity-adjusted ratios were calculated with a Cox proportional hazards model. A P-value <.05 was considered statistically significant. Statistical analyses were performed using JMP 11.0 (SAS Institute) and SPSS 21 (IBM Corporation) with R extension bundle (R version 2.14, R development core team).


Results
Patient characteristics. Of the 1699 patients who underwent coronary angiography at our institution during the study period, a total of 624 had at least one CTO and formed the study population. Of those 624 patients, 305 had undergone prior CABG. The clinical and angiographic characteristics of the study patients are shown in Tables 1-3. Follow-up was available for 99% of patients during a median duration of 26 months (range, 18-40 months).
Patients with vs without prior CABG. Prior CABG patients were older and more likely to have hypertension, dyslipidemia, history of congestive heart failure, prior MI, and prior PCI, but were less likely to be African-American and current smokers (Table 3). Prior CABG patients had more extensive coronary artery disease and were more likely to have an occlusion in the left anterior descending artery as compared with the right coronary or the circumflex coronary arteries (Table 3).

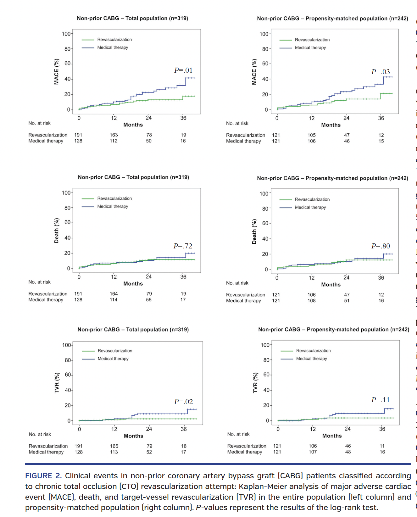
CTO patients without prior CABG. Among 319 patients without prior CABG, CTO revascularization was attempted in 191 patients (60%) with either CTO-PCI (n = 94) or CABG (n = 97). CTO-PCI was successful in 80 of 94 patients (85%). Patient characteristics were balanced in the two groups; however, patients who did not undergo CTO revascularization were more likely to have a history of heart failure, prior MI, and chronic kidney disease, but less likely to have had prior PCI (Table 1).
During a median follow-up of 23 months (range, 18-40 months), a major adverse event occurred in 127 patients (40%), as follows: death in 82 patients (26%); MI in 23 patients (7%); stroke in 10 patients (3%); TVR in 28 patients (9%); and non-TVR in 18 patients (6%) (Figure 2). Unadjusted hazard ratio (HR) with 95% confidence interval (CI) for patients who underwent CTO revascularization were as follows: MACE (HR, 0.50; 95% CI, 0.29-0.86; P=.01), death (HR, 0.88; 95% CI, 0.45-1.74; P=.72), MI (HR, 0.40; 95% CI, 0.10-1.67; P=.21), and TVR (HR, 0.27; 95% CI, 0.08-0.86; P=.03) (Table 4).

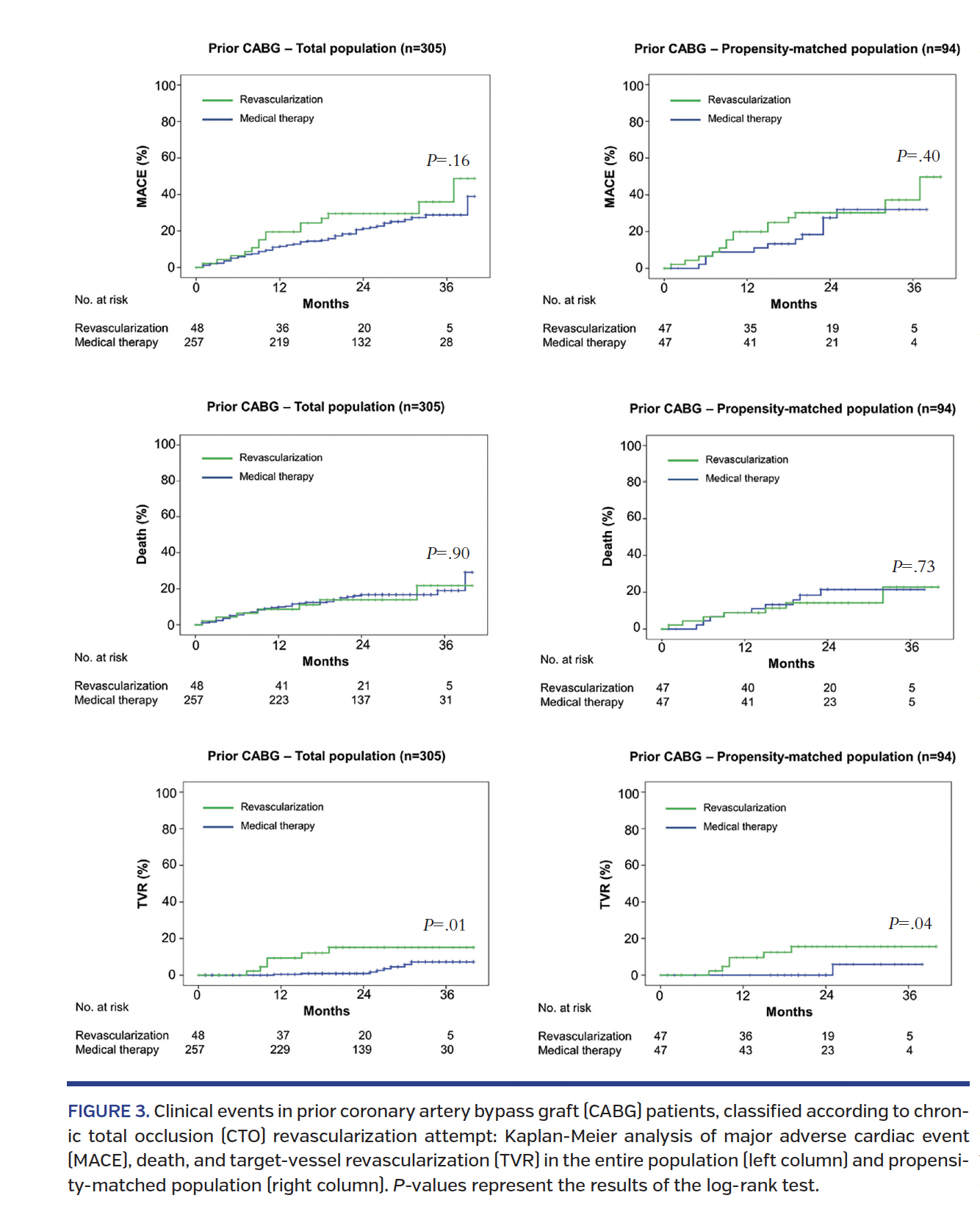
CTO patients with prior CABG. Among 305 patients who had undergone prior CABG and were found to have at least one CTO, 48 (16%) underwent a CTO revascularization attempt with PCI (n = 46) or redo CABG (n = 2). CTO-PCI was successful in 34 of the 46 patients (74%). Patients in whom CTO revascularization was attempted had similar characteristics to those who were treated with medical therapy alone (Table 2). During a median follow-up of 23 months (range, 17-31 months), a major adverse event occurred in 73 patients (24%), as follows: death in 48 patients (16%); MI in 15 patients (5%); stroke in 6 patients (2%); TVR in 14 patients (5%); and non-TVR in 7 patients (2%). Unadjusted HRs with 95% CIs were as follows: MACE (HR, 1.50; 95% CI, 0.85-2.65; P=.16); death (HR, 0.95; 95% CI, 0.43-2.12; P=.90), MI (HR, 0.40; 95% CI, 0.05-3.06; P=0.38); and TVR (HR, 4.52; 95% CI, 1.57-13.05; P=0.01) (Table 5).
Propensity-score matched patients without CABG. Following propensity-score matching, a total of 242 patients (121 pairs) without history of CABG were included in the present analysis. The propensity-score model demonstrated good calibration (Hosmer-Lemeshow Chi2, 6.43; P=.60) and discrimination (area under the curve, 0.743). Imbalances in individual patient characteristics between the treatment and control groups are shown in Table 1. In the propensity-matched population, the incidence of MACE was lower in the revascularization arm (HR, 0.51; 95% CI, 0.27-0.94; P=.03), although differences in individual endpoints did not reach statistical significance: death (HR, 0.91; 95% CI, 0.42-1.96; P=.80), MI (HR, 0.39; 95% CI, 0.08-2.03; P=.26), and TVR (HR, 0.40; 95% CI, 0.13-1.29; P=.13) (Table 4; Figure 2).
Propensity score-matched patients with CABG. Following propensity score matching, 94 patients (47 pairs) with history of CABG were included in the analysis. The propensity-score model demonstrated good calibration (Hosmer-Lemeshow Chi2, 5.09; P=.75) and discrimination (area under the curve, 0.685). Imbalances in individual patient characteristics between the treatment and control groups are shown in Table 2. In the propensity-matched population, no significant differences were found in subsequent clinical outcomes, including MACE (HR, 1.38; 95% CI, 0.64-2.96; P=.41), death (HR, 0.84; 95% CI, 0.31-2.26; P=.73), and MI (HR, 0.31; 95% CI, 0.03-3.05; P=.32); however, there was a trend for higher TVR (HR, 6.71; 95% CI, 0.81-55.84; P=.08) (Figure 3).

Discussion
The major finding of our study is that in a large, unselected patient population found to have a CTO on diagnostic coronary angiography, a CTO revascularization attempt was associated with lower incidence of subsequent MACE among patients without but not among those with prior CABG.
Although there is no published randomized controlled trial evaluating the benefit of CTO revascularization, a beneficial effect has been suggested by multiple observational studies. In a meta-analysis of 25 studies including 28,486 patients, successful CTO-PCI was associated with significantly lower mortality (odds ratio [OR], 0.52), less residual angina (OR, 0.38), lower risk for stroke (OR, 0.72), less need for subsequent CABG (OR, 0.18), and lower risk for MACE (OR, 0.59; 95% CI, 0.44-0.79)9 as compared with failed CTO-PCI. Moreover, patients with a coronary CTO who develop an acute coronary syndrome had significantly higher mortality as compared with patients who did not have a CTO.10 CTO revascularization after primary PCI for acute MI was associated with lower 3-year mortality, as compared with patients with failed or non-attempted CTO-PCI in one study. 11
Even in the presence of collateral circulation, CTO revascularization may be of significant benefit. In the Samsung Medical Center CTO registry, patients with coronary CTOs who underwent coronary revascularization were found to have lower incidence of cardiac death compared to those who were treated with medical therapy alone (HR, 0.29; 95% CI, 0.15-0.58; P<.01).12 Coronary revascularization was also associated with lower incidence of MACE (HR, 0.32; 95% CI, 0.21-0.49; P<.01) and these findings persisted after propensity-score matching. The benefit of coronary revascularization was observed even though all 738 study patients had well-developed collateral circulation (Rentrop grade 3), emphasizing the inability of collateral circulation to prevent ischemia in the CTO-supplied myocardial territory.13
There are several potential mechanisms that could explain the improved outcomes after coronary revascularization of patients with CTOs. Revascularization could improve left ventricular function,14,15 reduce the risk for arrhythmias,5 and improve exercise capacity. Moreover, complete revascularization (whether performed with PCI or CABG) can improve survival as compared with incomplete revascularization.16 In our study, a benefit with coronary revascularization was observed among patients without prior CABG, but not among prior CABG patients. This could be due to the higher baseline risk of prior CABG patients, who are typically older and have more comorbidities and advanced coronary artery disease as compared with patients who have not had prior CABG.17 Moreover, redo CABG was very infrequent (in only 2 of 305 patients), likely because of the increased risk associated with reoperation. CTO-PCI has been associated with lower success rates among patients without vs with prior CABG,18,19 although success has significantly improved in this challenging patient group with contemporary CTO-PCI techniques.20,21
Study limitations. As is typical in veteran populations, nearly all patients were men, limiting extrapolation to women. Given that this was a retrospective study, follow-up intervals and assessments were not prespecified, yet follow-up was obtained in 99% of patients. The decision about whether to pursue CTO revascularization or not and the type of revascularization (surgical or percutaneous) was at the discretion of the treating physicians. We could not ascertain the pre-PCI and post-PCI symptomatic status of the patients, and cannot exclude the potential for significant symptomatic improvement among revascularized patients even in the absence of difference in the incidence of MACE. Some imbalances were noted in patients without prior CABG after propensity-score matching, warranting cautious interpretation of long-term outcomes in this group. Discrepancies in mode of CTO management (revascularization vs medical therapy only) in the original population resulted in decrease of the propensity-matched population size, resulting in loss of power of the stratified Cox hazard models.
Conclusion
Chronic total occlusion revascularization was associated with lower risk for MACE among patients without but not among patients with prior CABG, suggesting a beneficial effect of CTO recanalization.
References
1. Fefer P, Knudtson ML, Cheema AN, et al. Current perspectives on coronary chronic total occlusions: the Canadian Multicenter Chronic Total Occlusions Registry. J Am Coll Cardiol. 2012;59:991-997.
2. Christofferson RD, Lehmann KG, Martin GV, Every N, Caldwell JH, Kapadia SR. Effect of chronic total coronary occlusion on treatment strategy. Am J Cardiol. 2005;95:1088-1091.
3. Jeroudi OM, Alomar ME, Michael TT, et al. Prevalence and management of coronary chronic total occlusions in a tertiary Veterans Affairs hospital. Catheter Cardiovasc Interv. 2014;84:637-643.
4. Grantham JA, Marso SP, Spertus J, House J, Holmes DR Jr, Rutherford BD. Chronic total occlusion angioplasty in the United States. JACC Cardiovasc Interv. 2009;2:479-486.
5. Nombela-Franco L, Mitroi CD, Fernandez-Lozano I, et al. Ventricular arrhythmias among implantable cardioverter-defibrillator recipients for primary prevention: impact of chronic total coronary occlusion (VACTO Primary Study). Circ Arrhythm Electrophysiol. 2012;5:147-154.
6. George S, Cockburn J, Clayton TC, et al. Long-term follow-up of elective chronic total coronary occlusion angioplasty: analysis from the U.K. Central Cardiac Audit Database. J Am Coll Cardiol. 2014;64:235-243.
7. National Cholesterol Education Program Expert Panel on Detection, Evaluation, Treatment of High Blood Cholesterol in Adults. Third Report of the National Cholesterol Education Program (NCEP) Expert Panel on Detection, Evaluation, and Treatment of High Blood Cholesterol in Adults (Adult Treatment Panel III) final report. Circulation. 2002;106:3143-3421.
8. Thygesen K, Alpert JS, Jaffe AS, et al. Third universal definition of myocardial infarction. J Am Coll Cardiol. 2012;60:1581-1598.
9. Christakopoulos GE, Christopoulos G, Carlino M, et al. Meta-analysis of clinical outcomes of patients who underwent percutaneous coronary interventions for chronic total occlusions. Am J Cardiol. 2015;115:1367-1375.
10. Claessen BE, van der Schaaf RJ, Verouden NJ, et al. Evaluation of the effect of a concurrent chronic total occlusion on long-term mortality and left ventricular function in patients after primary percutaneous coronary intervention. JACC Cardiovasc Interv. 2009;2:1128-1134.
11. Valenti R, Marrani M, Cantini G, et al. Impact of chronic total occlusion revascularization in patients with acute myocardial infarction treated by primary percutaneous coronary intervention. Am J Cardiol. 2014;114:1794-1800.
12. Jang WJ, Yang JH, Choi SH, et al. Long-term survival benefit of revascularization compared with medical therapy in patients with coronary chronic total occlusion and well-developed collateral circulation. JACC Cardiovasc Interv. 2015;8:271-279.
13. Sachdeva R, Agrawal M, Flynn SE, Werner GS, Uretsky BF. The myocardium supplied by a chronic total occlusion is a persistently ischemic zone. Catheter Cardiovasc Interv. 2014;83:9-16.
14. Baks T, van Geuns RJ, Duncker DJ, et al. Prediction of left ventricular function after drug-eluting stent implantation for chronic total coronary occlusions. J Am Coll Cardiol. 2006;47:721-725.
15. Kirschbaum SW, Baks T, van den Ent M, et al. Evaluation of left ventricular function three years after percutaneous recanalization of chronic total coronary occlusions. Am J Cardiol. 2008;101:179-185.
16. Garcia S, Sandoval Y, Roukoz H, et al. Outcomes after complete versus incomplete revascularization of patients with multivessel coronary artery disease: a meta-analysis of 89,883 patients enrolled in randomized clinical trials and observational studies. J Am Coll Cardiol. 2013;62:1421-1431.
17. Brilakis ES, Held C, Meier B, et al. Effect of ticagrelor on the outcomes of patients with prior coronary artery bypass graft surgery: insights from the PLATelet inhibition and patient outcomes (PLATO) trial. Am Heart J. 2013;166:474-480.
18. Teramoto T, Tsuchikane E, Matsuo H, et al. Initial success rate of percutaneous coronary intervention for chronic total occlusion in a native coronary artery is decreased in patients who underwent previous coronary artery bypass graft surgery. JACC Cardiovasc Interv. 2014;7:39-46.
19. Michael TT, Karmpaliotis D, Brilakis ES, et al. Impact of prior coronary artery bypass graft surgery on chronic total occlusion revascularisation: insights from a multicentre US registry. Heart. 2013;99:1515-1518.
20. Christopoulos G, Menon RV, Karmpaliotis D, et al. Application of the “hybrid approach” to chronic total occlusions in patients with previous coronary artery bypass graft surgery (from a Contemporary Multicenter US registry). Am J Cardiol. 2014;113:1990-1994.
21. Karmpaliotis D, Karatasakis A, Alaswad K, et al. Outcomes With the Use of the Retrograde Approach for Coronary Chronic Total Occlusion Interventions in a Contemporary Multicenter US Registry. Circ Cardiovasc Interv. 2016;9:e003434.
*Joint first authors.
From the 1VA North Texas Health Care System, Dallas, Texas and University of Texas Southwestern Medical School, Dallas, Texas; and 2Minneapolis Heart Institute, Minneapolis, Minnesota.
Disclosure: The authors have completed and returned the ICMJE Form for Disclosure of Potential Conflicts of Interest. BV Rangan reports grants from InfraRedx and Spectranetics Corporation. Dr Banerjee reports research support from Boston Scientific and Merck; consultant/speaker honoraria from CSI, Medtronic, and Gore; ownership in MDCare Global (spouse); intellectual property in HygeiaTel. Dr Brilakis reports research support from Boston Scientific and InfraRedx; consulting/speaker honoraria from Abbott Vascular, Asahi Intecc, Cardinal Health, Elsevier, and GE HealthCare; spouse is employee of Medtronic. The remaining authors report no conflicts of interest regarding the content herein.
Manuscript submitted June 6, 2016, provisional acceptance given June 8, 2016, final version accepted July 14, 2016.
Address for correspondence: Emmanouil S. Brilakis, MD, PhD, Minneapolis Heart Institute, 920 E 28th Street #300, Minneapolis, MN 55407. Email: esbrilakis@gmail.com


