Contrast Minimization With the New-Generation DyeVert Plus System for Contrast Reduction and Real-Time Monitoring During Coronary and Peripheral Procedures: First Experience
Abstract: Background. Several strategies have been envisioned to reduce the risk of contrast-induced nephropathy, but the most modifiable approach for a treating physician is to minimize contrast administration. To date, there is no report on the use of Osprey Medical’s new-generation DyeVert Plus system in coronary or peripheral applications. We aimed to appraise the role of the DyeVert Plus system inclusive of contrast reduction and real-time monitoring in a consecutive series of patients undergoing coronary or peripheral invasive procedures. Methods. Baseline, procedural, and outcome details for patients undergoing coronary or peripheral invasive procedures were collected from our institutional database. We primarily focused on total and relative amount of contrast saved, as calculated and displayed by the DyeVert Plus system. Results. The DyeVert Plus system was used in 10 patients. All procedures were successfully completed with adequate and high-quality angioscopic and angiographic images. No adverse events occurred up to discharge in any patients, with the notable exception of 1 case of asymptomatic and uneventful contrast-induced nephropathy. Average contrast volume was 79.9 ± 48.8 mL (95% confidence interval [CI], 53.2 to 109.4), thanks to an absolute saving of 55.8 ± 31.9 mL (95% CI, 39.1 to 76.7; P<.05) and a relative saving of 41.8 ± 7.3% (95% CI, 37.5 to 46.4; P<.05). Comparison of contrast volume estimates between DyeVert Plus vs manual measurements showed a minimal difference of 1.6 ± 1.9 mL (95% CI, 2.9 to 0.5; P<.05). Conclusion. Use of the new-generation DyeVert Plus system inclusive of contrast reduction and real-time monitoring is feasible in both coronary and peripheral applications while significantly reducing contrast volume.
J INVASIVE CARDIOL 2017;29(8):259-262.
Key words: angiography, contrast, contrast-induced nephropathy, contrast reduction, contrast minimization, contrast monitoring, renal failure
Diagnostic and interventional coronary and endovascular procedures require the administration of radiopaque contrast, which may have adverse effects on renal function.1 Notwithstanding the many strategies proposed to manage the risk of contrast-induced nephropathy (CIN), the most modifiable approach for the treating physician rests on minimizing contrast volume.2
The DyeVert NG contrast reduction system (Osprey Medical) has demonstrated its potential to substantially reduce contrast volume during coronary procedures in preliminary reports and in a recent randomized trial.3,4 From this first-generation device, further developments have led to the new-generation DyeVert Plus system, which continues to exploit the contrast-saving feature of DyeVert NG, while adding the monitoring capability of smart syringes and sensors. The DyeVert NG and DyeVert Plus systems are illustrated in Supplemental Figures 1 and 2 (available at www.invasivecardiology.com). Both systems are cleared for clinical use by the United States Food and Drug Administration (FDA) and have Conformité Européenne (CE) mark. This is the first report on use of the DyeVert Plus system in coronary and peripheral applications.
We aimed to appraise the role of the DyeVert Plus system in a consecutive series of patients undergoing coronary or peripheral invasive procedures at our institution.
Methods
This is a retrospective analysis of an ethics committee-approved institutional clinical database. Patients provided written informed consent for data collection, archiving, and follow-up. The DyeVert Plus system was used for two consecutive days at our institution as per routine clinical practice, and we collected from our database baseline, procedural, and outcome details of patients undergoing coronary or peripheral invasive procedures where the DyeVert Plus system was used.
Briefly, diagnostic and interventional procedures were performed per our standard of care, using routine diagnostic and guiding catheters, guidewires, balloons, stents, and embolic protection devices. The DyeVert Plus system was connected to the contrast source and the manifold, enabling the diversion of excess contrast during injections through the pressure-compensating valve (Supplementary Figures 3 and 4, available at www.invasivecardiology.com). Contrast volume administered to the patient, as calculated and displayed by the DyeVert Plus system, was compared with manual measurements at the end of the procedure. Manual measurements were determined by a labor-intensive process of emptying all contrast from tubing used in the procedure into metered vials and subtracting this amount from the starting volume in the bottle.
As endpoints of interest, we focused on total and relative amounts of contrast saved, as calculated and displayed by the DyeVert Plus system. In addition, we compared manual measurements of contrast volume consumption with those calculated and displayed by the DyeVert Plus system. After the procedure, all patients underwent standard procedures for in-hospital management and clinical observation, including postprocedural measurement(s) of serum creatinine and troponin. At discharge, clinical outcomes such as death, myocardial infarction, renal replacement therapy, and CIN were sought by querying our institutional database.
Descriptive tabular results are reported, and continuous variables summarized as mean ± standard deviation. Inferential analysis for mean and median values with P-values and 95% confidence intervals (CIs) were obtained from percentile bootstrapping (1000 samples). Computations were performed with Stata 13 (StataCorp).
Results
The DyeVert Plus system was used in 10 consecutive patients, with coronary diagnostic procedures in 5 subjects, percutaneous coronary intervention in 3 patients, and peripheral interventions in 2 patients (Table 1). All procedures were successfully completed with adequate and high-quality angioscopic and angiographic images. No adverse events were collected up to discharge in any patients, excluding a single case of asymptomatic CIN in an 82-year-old gentleman with baseline moderate renal failure (glomerular filtration rate estimated with the Modification of Diet in Renal Disease formula, 51.6 mL/min/1.73 m2) who moved from a baseline serum creatinine of 1.4 mg/dL to a peak postprocedural serum creatinine of 2.0 mg/dL.5 This patient had undergone carotid angiography and angioplasty, and despite the transient increase in serum creatinine after the procedure, could be discharged uneventfully 3 days after the procedure, with serum creatinine levels returning to the baseline values.

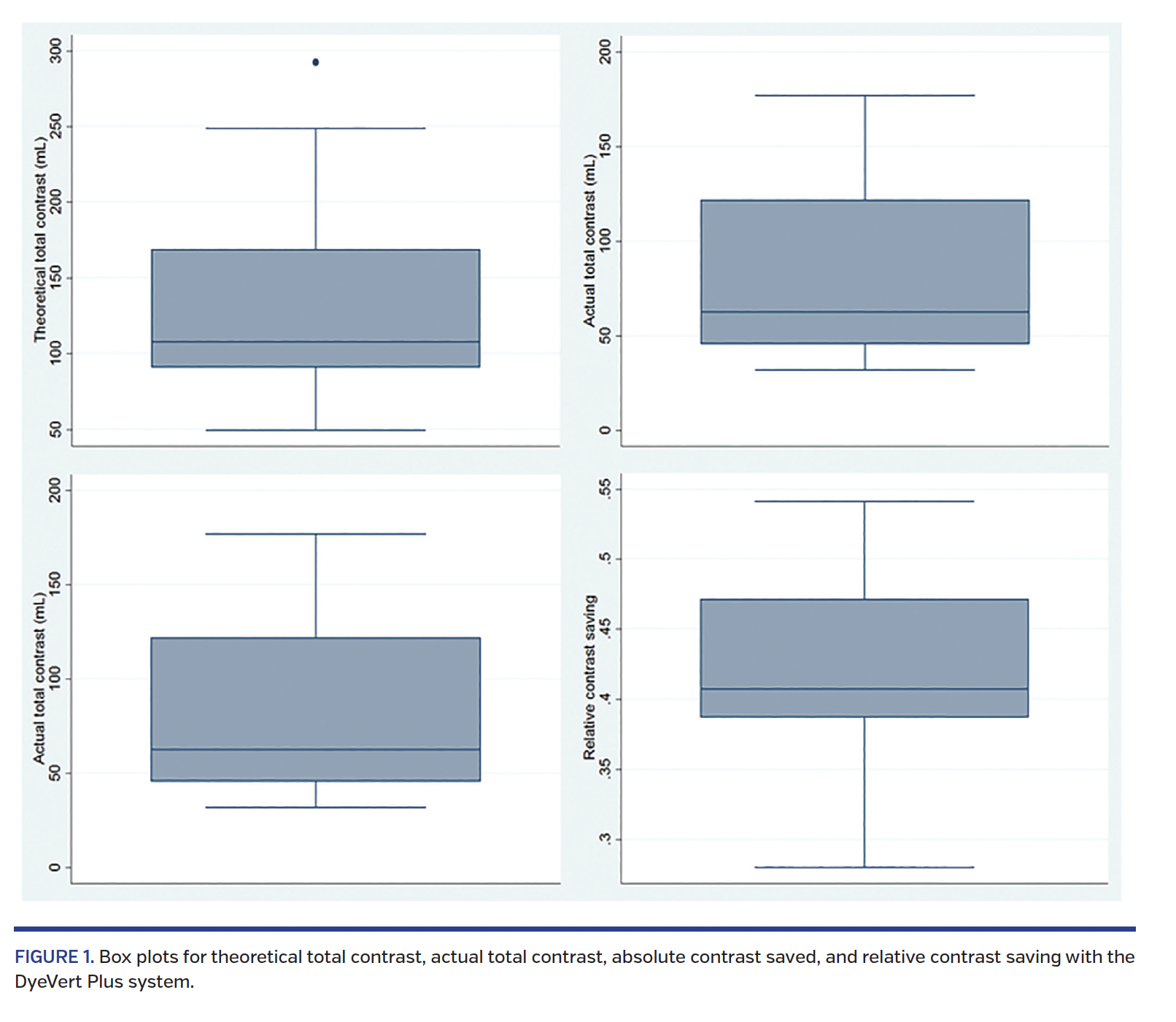
Analysis of actual total contrast volume yielded a mean of 79.9 ± 48.8 mL (95% CI, 53.2 to 109.4), thanks to a mean absolute saving of 55.8 ± 31.9 mL (95% CI, 39.1 to 76.7; P<.05) and a relative saving of 41.8 ± 7.3% (95% CI, 37.5 to 46.4; P<.05) (Table 2) (Figure 1). Accordingly, the mean theoretical total contrast volume was 135.7 mL (95% CI, 95.2 to 186.7). Exploratory comparison of contrast volume estimates between DyeVert Plus vs manual measurements showed an absolute difference of -1.6 mL (95% CI, -2.9 to -0.4; P<.05) and a relative difference of -1.9% (95% CI, -3.5 to 0.2; P>.05) (Table 3). Similar findings were obtained using median values instead of mean values for inferential analysis of all effect estimates.


Discussion
Invasive coronary and vascular procedures rely in the vast majority of patients on the administration of radiopaque contrast. While the safety of contrast media has improved substantially over the years,6 there are still non-negligible risks of adverse events following contrast administration. The main adverse effect of contrast administration is CIN, which is
largely dependent on total contrast volume.7
Several strategies to prevent or treat CIN have been developed, including hydration, N-acetyl-cysteine, statins, ascorbic acid, bicarbonate, aminophylline, forced diuresis, renal replacement therapy, and choice of low-osmolarity or alternative agents, but one of the most obvious means is to minimize contrast volume.1,2,8,9 The DyeVert system is a device aimed at contrast reduction that has evolved from the previous-generation embodiment (DyeVert NG) to its most recent one (DyeVert Plus), which adds the ability to set predetermined thresholds and real-time monitoring.3,4 In this work, we provide the first experience with the DyeVert Plus system, highlighting contrast savings and real-time monitoring. First, our results show that DyeVert Plus can substantially reduce total contrast volume in coronary and endovascular procedures, with an average contrast saving of 56 mL in absolute terms and of 42% in relative terms. Notably, in all cases the DyeVert Plus system was capable of achieving clinically relevant reductions in contrast (with a minimal saving of 28% in a patient undergoing a carotid procedure). The device was user friendly, requiring minimal preparation and training. All procedures were uneventful and hospital stays were devoid of complications. One case of CIN was observed, but was transient and required neither prolonged hospitalization nor aggressive treatment. These findings reinforce the continued evolution of this product family and prior favorable results from the DyeVert NG and support further research and clinical use of this promising non-invasive device to minimize CIN. It is important to highlight that this system is suitable for cath labs using standard manifolds as it is not compatible with automated injection systems.
Despite the favorable results, this remains a first experience in a small number of patients, providing limited additional human validity. Accordingly, dedicated trials are required to further confirm or disprove our results. Nonetheless, it is useful to note that a 96-patient randomized trial comparing DyeVert NG vs a standard injection technique has been recently presented extremely favorable results and effect estimates very similar to the present ones (relative contrast saving of 39% in the as-treated analysis and 41% in the per-protocol analysis).4 Similar to these findings, the same group had presented earlier a pilot experience with the DyeVert NG, highlighting its suitability for high-quality and adequate imaging in the vast majority of procedures and image acquisitions. The contrast savings components (ie, pressure compensating valve and reservoir function) of the DyeVert NG and the DyeVert Plus systems are identical. The only differences between the two devices are the electronic-related and software-related components added to the DyeVert Plus to enable contrast accounting.
Conclusion
The new-generation DyeVert Plus system, inclusive of contrast reduction and real-time monitoring, is feasible to use in both coronary and peripheral applications while significantly reducing contrast volume. In addition, it is easy to implement into the standard cath lab routine.
Supplemental Figures 1-4

References
1. Chalikias G, Drosos I, Tziakas DN. Prevention of contrast-induced acute kidney injury: an update. Cardiovasc Drugs Ther. 2016;30:515-524.
2. Honicker T, Holt K. Contrast-induced acute kidney injury: comparison of preventative therapies. Nephrol Nurs J. 2016;43:109-116.
3. Sapontis J, Sujith S, Cameron J, et al. A first-in-man evaluation of a novel contrast media saving device, the DyeVert system. EuroPCR – Book of Abstracts 2016. Toulouse: Europa Organisation; 2016.
4. Desch S. A novel system to save contrast during coronary angiography - the DyeVertTM Randomized Controlled Trial. Transcatheter Cardiovascular Therapeutics Annual Meeting, Washington, DC, 2016.
5. Levey AS, Bosch JP, Lewis JB, Greene T, Rogers N, Roth D. A more accurate method to estimate glomerular filtration rate from serum creatinine: a new prediction equation. Modification of Diet in Renal Disease Study Group. Ann Intern Med. 1999;130:461-470.
6. Biondi-Zoccai G, Lotrionte M, Thomsen HS, et al. Nephropathy after administration of iso-osmolar and low-osmolar contrast media: evidence from a network meta-analysis. Int J Cardiol. 2014;172:375-380.
7. Zhao JB, Liu Y, Wu DX, et al. Contrast volume to cystatin C-based glomerular filtration ratio predicts the risk of contrast-induced nephropathy after cardiac catheterization. Angiology. 2017;68:207-215.
8. Giordano A, Messina S, Polimeno M, et al. Peripheral diagnostic and interventional procedures using an automated injection system for carbon dioxide (CO2): case series and learning curve. Heart Lung Vessel. 2015;7:18-26.
9. Peruzzi M, De Luca L, Thomsen HS, et al. A network meta-analysis on randomized trials focusing on the preventive effect of statins on contrast-induced nephropathy. Biomed Res Int. 2014;2014:213239.
*Joint first authors.
From the 1Unità Operativa di Interventistica Cardiovascolare, Presidio Ospedaliero Pineta Grande, Castel Volturno, Italy; 2Unità Operativa di Emodinamica, Casa di Salute Santa Lucia, San Giuseppe Vesuviano, Italy; 3Department of Medico-Surgical Sciences and Biotechnologies, Sapienza University of Rome, Latina, Italy; 4Department of AngioCardioNeurology, IRCCS Neuromed, Pozzilli, Italy; and 5Cardiology and Coronary Care Unit, Presidio Ospedaliero S. Giuliano, Giugliano, ASL Napoli 2 Nord, Italy.
Disclosure: The authors have completed and returned the ICMJE Form for Disclosure of Potential Conflicts of Interest. Dr Biondi-Zoccai reports consultant fees from Abbott Vascular. The remaining authors report no conflicts of interest regarding the content herein.
Manuscript submitted March 29, 2017, final version accepted April 20, 2017.
Address for correspondence: Giuseppe Biondi Zoccai, MD, Department of Medico-Surgical Sciences and Biotechnologies, Sapienza University of Rome, Corso della Repubblica 79, 04100 Latina, Italy. Email: giuseppe.biondizoccai@uniroma1.it


