Comparison of Non-Contrast Cardiovascular Magnetic Resonance Imaging to Computed Tomography Angiography for Aortic Annular Sizing Before Transcatheter Aortic Valve Replacement
Abstract: Background. Accurate measurement of aortic annulus is crucial before transcatheter aortic valve replacement (TAVR). Computed tomography (CT) angiography is the most commonly utilized method, but requires contrast administration. Cardiovascular magnetic resonance (CMR) imaging is a promising alternative modality to provide aortic annulus measurements. Few studies have compared the clinical feasibility and accuracy of non-contrast CMR to contrast-enhanced computed tomography (CT) angiography in order to provide a non-contrast alternative to CT annular sizing. Methods. Twenty-one consecutive patients (mean age, 85.7 ± 5.2 years) with severe aortic stenosis (mean aortic valve area, 0.6 ± 0.1 cm2) underwent pre-TAVR CT angiography and a non-contrast CMR at 1.5 T. CT measurements were performed during systole as the clinical non-invasive standard. CMR measurements were performed during systole and diastole and included three-dimensional (3D) and two-dimensional (2D) methods. Interobserver differences were assessed using intraclass correlation. We recorded scan time in each patient. Results. The mean systolic annular area was not significantly different between CT and 3D-CMR (480.0 ± 77.9 mm2 vs 479.4 ± 66.2 mm2; P=.98) in systole. There was no clinically relevant systematic difference between area measurements [mean difference, 0.6 mm2; limits of agreement -38.2 mm2; 39.3 mm2] using Bland-Altman analyses. Interobserver correlation was excellent. The diagnostic systolic 3D-CMR annular sizing scan was achieved in 4.4 ± 2.7 min. Conclusion. Non-contrast CMR protocol for the measurement of aortic annulus area is feasible and accurate. 3D-CMR could provide an alternative for annular sizing pre-TAVR assessment in patients who cannot undergo contrast-enhanced CT studies.
J INVASIVE CARDIOL 2017;29(7):239-245. Epub 2017 May 15.
Key words: TAVR, CMR, CT, annular sizing, aortic stenosis
Transcatheter aortic valve replacement (TAVR) is an alternative to surgical aortic valve replacement in high-risk patients with severe symptomatic aortic stenosis.1,2 The role of cardiac CT for precise assessment of aortic annular geometry, coronary height, and angle of deployment is well established. Accurate assessment of annulus is critical for selecting the appropriate prosthesis and size.3,4 In addition to providing comprehensive information about aortic annulus anatomy and geometry, CT allows for three-dimensional (3D) assessment of the aortic root and prediction of appropriate projection angles for prosthesis deployment,4,5 but with the inherent limitation of contrast administration, which may lead to worsening kidney injury in patients with compromised renal function. Patients with aortic valve stenosis who are non-surgical candidates often have associated multiple comorbidities, including about 50% of patients with mild chronic kidney disease (CKD), defined as estimated glomerular filtration rate (eGFR) of 60-90 mL/min/1.73 m2, and 30% with moderate to severe CKD (eGFR, 15-59 mL/min/1.73 m2).6
There are relatively few studies utilizing cardiovascular magnetic resonance (CMR) imaging for the assessment of aortic annular sizing for TAVR planning. CMR, especially in its non-contrast form, is a multifunctional imaging modality that is fully capable of aortic annular assessment, measurement of relative distance of the coronary ostia, evaluation for aortic regurgitation, as well as atherosclerosis of the aorta and peripheral vasculature assessment.7 Whole-heart 3D-CMR sequences with high spatial resolution implemented in clinical practice for coronary imaging are easily adaptable for aortic annular imaging. Two-dimensional (2D) high-resolution steady-state free-precession (SSFP) cine images also offers a wider field of view than transthoracic echocardiogram (TTE) and transesophageal echocardiogram (TEE), without losing annular boundary to calcium shadowing. Measurements of aortic root annulus could be made on 3D-CMR and 2D-CMR, with the advantages of no need for contrast administration and no radiation exposure. The purpose of this study was to compare the feasibility and accuracy of a fast 3D SSFP-slab CMR approach, 2D SSFP-cine CMR to contrast-enhanced CT in annular measurements.
Methods
Patient population. We prospectively screened consecutive patients referred for evaluation of TAVR between May 2014 and January 2016. Patients with severe renal disease (eGFR<30 mL/min/1.73 m2) were excluded from enrollment due to the requirement for comparison clinical-contrast TAVR-CT. Patients were also excluded if they had a defibrillator, pacemaker, or other contraindications to CMR. Our institutional review board approved this study and all patients signed informed consent. All patients underwent a non-contrast CMR and a clinical TAVR planning CT within 1 week of each other.
CT. All CT examinations were performed with a dual-source scanner (Somatom Definition Flash or Somatom Force; Siemens Healthcare) using a standardized imaging protocol with retrospective electrocardiogram (ECG) gating. The scan parameters were as follows: detector collimation with 64 × 0.6 mm; individually heart-rate adapted pitch ranging from 0.15-0.28; tube voltage 80-120 kV; rotation time 0.33 s; 120-220 mAs/rotation (depending on size); breath hold 5-10 s. Iopamidol contrast agent (Isovue 370; Bracco Diagnostics) was administered via a 20 G intravenous catheter in the antecubital vein at a rate of 4.5 mL/s. Contrast injection was followed by a saline chaser bolus at a flow rate of 4 mL/s. No beta-blockers were given. All phase images were reconstructed between 10% and 100% of the cardiac cycle. The ECG pulsing window was set to 35% for systole imaging.
3D-CMR of the aortic root. We performed all CMR imaging on a 1.5 T Avanto scanner (Siemens) using a 16-channel body-surface array anteriorly and portions of a 12-channel spine array posteriorly, with ECG gating. For assessment of aortic root dimensions, a non-contrast-enhanced navigator-gated, 3D, whole-heart acquisition was conducted using a SSFP-based sequence (repetition time/echo time 254 ms/1.22 ms; flip angle 80°; voxel size 0.7 × 0.7 × 1.4 mm3) covering the aortic root. We prescribed the imaging slab as perpendicular to the two orthogonal cine images of the left ventricular outflow track (LVOT) covering 1-2 cm below the aortic root to the sinotubular junction (Figure 1). The total slab thickness is about 4-5 cm depending on the patient. We chose each individual trigger delay time based on aortic valve opening for systolic imaging or captured cycle for diastolic imaging. We recorded the time that each 3D volume slab took, which was dependent on the navigator gating efficiency, heart rate, and ECG trigger.

2D-CMR of the aortic root. We obtained cine SSFP images in the entire short axis and three long-axis views. Additionally, we obtained a stack of cine slices with thickness of 5 mm and no gap centered at the annular plane with similar coverage to the 3D slab selection. The aortic annulus of the largest systolic opening and diastole are planimetered. Brief scanning parameters include TE = 1.33 ms; TR = 38.7 ms; bandwidth = 945 Hz/pixel; flip angle = 50°-60°; matrix = 192 × 156; and spatial resolution = 2.0 × 2.0 × 5 mm. Scan time was also recorded.
Image reconstruction and analysis of the aortic root. We performed all image analyses on separate computer workstations using the same software (Aquarius iNtuition; TeraRecon). We maneuvered coronal and sagittal oblique views to define the orientation on the aortic valve. The corresponding double-oblique transverse view was adjusted to transect through the most caudal attachments of all three native cusps, the virtual ring was reconstructed using CT as well as 3D-CMR data sets. Furthermore, we evaluated the distances between the annulus and the ostium of the left coronary artery as well as the right coronary in the coronal view using CMR and CT.
We measured the annulus at the lowest hinge point of the leaflets at the virtual basal plane during systolic phase reconstructions from 20%-45% of the R-R interval by CT. Both systolic phase and diastolic phase reconstructions were measured using 3D-CMR and 2D-CMR. We measured maximum and minimum diameters, cross-sectional area (CSA), perimeters, and area-derived average diameter by manually tracking the luminal contours on double-oblique transverse planes. We measured the distance from the aortic annulus to left main ostium and right coronary artery ostium in systole by CT and 3D-CMR.
Given the oval shape of the aortic annulus, we quantified the degree of deviation of the aortic annulus shape from a perfect circle using an eccentricity index (EI), which is defined as EI = 1 – (minimal diameter/maximum diameter).8 EI of zero represents a perfect circle, with higher EI indicating elliptical geometry.
Two independent readers blinded to the CT data conducted 3D-CMR measurements. One experienced independent reader blinded for the 3D-CMR data conducted CT measurements.
Statistical analysis. Continuous variables were expressed as mean value ± standard deviation (SD). Categorical data were shown as percentages. Student’s t-tests were used for comparisons of continuous variables. Pearson’s correlation coefficient and Bland-Altman analysis were performed between 3D-CMR and CT measurements of the aortic annulus parameters. To assess the agreement between the different imaging methods with regard to prosthesis sizing, kappa statistics were performed and interpreted according to Landis and Koch9 (0-0.2 = low agreement; 0.21-0.4 = moderate; 0.41-0.6 = good; 0.61-0.8 = substantial; and >0.81 = perfect agreement). Observer agreement was determined by intraclass correlation coefficient (ICC). A P-value <.05 was considered statistically significant. Statistical analyses were performed on SPSS 17.0 (SPSS, Inc).
Ethical approval. All procedures performed in studies involving human participants were in accordance with the ethical standards of the institutional and/or national research committee and with the 1964 Declaration of Helsinki and its later amendments or comparable ethical standards.
Results
Baseline characteristics (Table 1). We enrolled 21 patients (13 men; mean age, 85.7 ± 5.2 years). All patients had a trileaflet aortic valve and severe aortic valve stenosis with aortic valve area of 0.6 ± 0.1 cm2. Peak trans- aortic flow velocity was 3.9 ± 1.3 m/s and mean gradient was 48.7 ± 11.8 mm Hg by echocardiography. Patients had multiple comorbidities including coronary artery disease (80.9%), congestive heart failure (57.1%), hypertension (76.2%), hyperlipidemia (71.4%), atrial fibrillation (38.1%), and moderate CKD (33.3%). The left ventricular and right ventricular volumes and function measured by CMR are summarized in Table 1. The mean LVEF was 45.5 ± 16.3%.

3D-CMR and CT measurements. Aortic annulus dimensions assessed by 3D-CMR and CT are shown in Table 2 and Figure 2. We acquired 3D-CMR and CT image in systole successfully with sufficient image quality in all patients. For diastolic 3D-CMR, 4 patients (19%) were excluded due to poor quality as a result of navigator failure in the setting of pleural effusion (n = 1), ECG-gating failure in atrial fibrillation (n = 2), and incomplete diastolic plane (n = 1). Three cases of 2D-CMR (14%) were excluded due to the lack of an acquired imaging slice at the exact location of the aortic annulus.


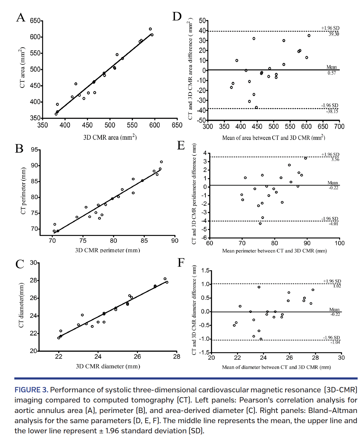
The mean systolic annular area was not significantly different between systolic CT and systolic 3D-CMR (P=.98). There was no significant systematic difference between area measurements for systolic CT and 3D systolic CMR, with mean difference of 0.57 mm2 (limits of agreement, -38.2 mm2, 39.3 mm2) using Bland-Altman analyses. Pearson’s analysis showed an excellent relationship between CT and 3D-CMR in systolic annular area (r=0.98; P<.01) (Figure 3). In addition, for perimeter and area-derived average diameter measurements using systolic CT and 3D systolic CMR, there were excellent correlations (r=0.97, P<.01; r=0.97, P<.01, respectively) and no significant difference between mean differences (-0.2 mm [limits of agreement, -4.0 mm, 3.6 mm]; -0.01 mm [limits of agreement, -1.0 mm, 1.0 mm], respectively).

The distance of the left main ostium to aortic annulus and right coronary ostium to aortic annulus measured by 3D-CMR and CT images also showed good correlation and good agreement. Intraobserver and interobserver agreements for systolic 3D-CMR annular area, perimeter, and area-derived average diameter measurements were excellent (Table 3).

Measurements during diastole and systole by 3D-CMR and 2D-CMR. There was no significant statistical difference between mean systolic and diastolic 3D-CMR annular area measurements (479.4 ± 66.2 mm2 vs 470.8 ± 71.2 mm2; P=.71) and 2D-CMR annular area measurements (479.2 ± 71.1 mm2 vs 465.2 ± 70.3 mm2; P=.56) (Figure 4A).
There was no significant difference in systolic area (479.4 ± 66.2 mm2 vs 479.2 ± 71.1 mm2; P=.99), perimeter (79.5 ± 5.6 mm vs 80.0 ± 6.3 mm; P=.77), and area-derived average diameter (24.6 ± 1.7 mm vs 24.6 ± 1.8 mm; P=.98) between 3D-CMR and 2D-CMR (Figures 4A, 4B, 4C). Eccentricity index was lower during systole and higher during diastole measured by 3D-CMR and 2D-CMR (Figure 4D).
Scan time by 3D-CMR and 2D-CMR. We used the whole-heart SSFP sequence to acquire 3D imaging slabs covering the aortic root. The acquisition times were 4.4 ± 2.7 min in systole and 4.9 ± 2.9 min in diastole. The entire time for 3D-CMR aortic annulus imaging was 9.2 ± 5.5 min. Annulus stack imaging using 2D-CMR was acquired in 1.7 ± 0.8 min. Cine imaging for short-axis function assessment was acquired in 2.3 ± 0.5 min. The total time used to acquire the set of imaging was 13.1 ± 5.2 min.

Discussion
We have demonstrated that 3D non-contrast CMR can offer comprehensive assessment of the aortic annulus including parameters of area, perimeter, area-derived average diameter, and the distance of coronary ostium to aortic annulus – similar to contrast-enhanced CT – and can be performed within a short amount of time. 3D systolic CMR is robust and accurate and was 100% successful in this cohort of elderly, frail patients with multiple comorbidities, compared to 3D diastolic CMR (19% unsuccessful) or 2D methods (14% unsuccessful). This technique can be offered as an alternative to contrast-enhanced CT for patients where iodinated contrast is contraindicated.
Adams et al10 reported a 13% prevalence of renal insufficiency in TAVR candidates precluding them from contrast administration. Our study did not enroll patients with renal failure, but our patient population had multiple comorbidities, with 33.3% of patients having moderate CKD. Acute kidney injury during TAVR, which can be exacerbated by previous contrast administration, is associated with subsequent mortality.11,12 Current CT imaging research has focused on contrast volume and radiation dose reduction (less relevant in this patient population) while providing high-quality images and greater renal protection.13 Our data demonstrate that CMR is an excellent alternative to contrast-enhanced CT for CKD patients.
Due to the complex anatomic structures of aortic annulus, finding the precise annular plane for calculation of annular area, perimeter, and diameter for optimal prosthesis sizing and minimizing perivalvular regurgitation is of critical importance. A plane defined by the most basal attachment points of all three cusps is preferred to measure the true size of the annulus in a CT setting.14 The same plane can be reconstructed via manipulating 3D-CMR and we were able to measure area, perimeter, and area-derived average diameter, similar to CT. Our data showed that non-contrast 3D-CMR could provide aortic annular measurements in a desired phase of the cardiac cycle as well as all annular parameters necessary for pre-TAVR measurements. The aortic annulus is a 3D structure and its shape is oval instead of circular, which was demonstrated in previous studies.15 Therefore, the aortic annular parameters are more accurately measured across several planes in 3D-CMR and CT. Few studies have demonstrated the ability of CMR for the assessment of the aortic annulus. Koos et al16 compared CMR and CT measurements of the aortic root diameter in reconstructed coronal view in 58 pre-TAVR patients and had an overall good correlation (r=0.86). Ruile et al17 demonstrated high reproducibility and high agreement between systolic 3D-MR angiography and systolic CT annular area measurements (mean difference, -3.1 mm2; limits of agreement, -44.4 mm2; 38.2 mm2). The dataset derived from 3D-CMR has low mean differences and good correlations with CT. TAVR sizing is based on multiple parameters, and we have shown that 3D-CMR measured area, perimeter, and area-derived average diameter have high agreement with CT (r=0.98, r=0.97, r=0.97, respectively).
CMR techniques to assess aortic annulus evolved from single plane and single parameter (diameter) by 2D echocardiography to multiple plane and multiple parameters by 3D-CT, TEE, and CMR, which allow for more accurate sizing. We are able to achieve a higher in-plane resolution (0.7 mm x 0.7 mm x 1.4 mm acquired resolution) as compared to Koos et al16 with 1.2 x 1.2 x 1.8 mm resolution or Ruile et al17 with a 1.25 mm x 1.25 mm x 1.3 mm resolution. In addition, our scans were faster because we used the whole-heart sequence but only obtained two imaging slabs covering the aortic root. This imaging slab approach reduced acquisition time to an average of 4.6 ± 2.6 min/slab as compared to 14 ± 4.2 min/slab by Ruile et al.17 We were able to obtain both slabs in a shorter amount of time (9.2 ± 5.5 min). Furthermore, if the first slab is performed with systolic imaging with sufficient quality, a diastolic imaging slab may not be necessary. The entire annular sizing study that we performed, including two sets of 3D slabs, two LVOT cines, an annulus 2D stack, and short-axis stack for LV function assessment, can be achieved within 20 min (mean, 13.1 ± 5.2 min). If only one systolic slab and LV function are desired, the total time can be reduced to an average of 15 min, with these two sequences taking 7.0 ± 3.0 min, in addition to scouts and two LVOT cine views.
Current studies using CT showed different magnitude of annular area and perimeter change between systole and diastole. Hamdan et al15 found the increased cross-sectional area (CSA) without substantial change in perimeter in systole. Murphy et al18 demonstrated that the change of CSA and perimeter was greater among patients without calcification and the smaller CSA measured in diastole had the implications for device sizing with potential for valve under-sizing. The aortic annulus assumes a more round shape in systole with a lower EI, which was shown by Blanke et al.19 These studies have led to the current clinical practice of using systolic CT imaging for valve sizing. The aortic annulus parameters in systole and diastole were evaluated using 3D-CMR and 2D-CMR in our study. There was no significant difference between systole and diastole in our measurements including CSA and perimeter, but we also find the numerical values of CSA and perimeter to be smaller in diastole. Lower EI during systole and higher EI during diastole were observed by 3D-CMR and 2D-CMR in our study (Figure 4). In addition, sequence failures were seen in diastole in situations such as atrial fibrillation. We therefore conclude that systolic imaging using 3D-CMR is the optimal method for valve sizing using CMR.
For the annular assessment, 3D-CMR is superior to 2D-CMR due to the more accurate data acquired in three dimensions. 2D-CMR data could be easily acquired as a level of internal check for 3D data in case 3D data were suboptimal due to respiration or other motion artifacts. Previous studies have demonstrated the efficiency of 2D-CMR for the assessment of the aortic root using 2D-SSFP sequences.20 Matthias et al21 also showed that the mean effective aortic annulus diameter was similar for 2D-SSFP and self-navigated 3D-CMR (26.7 ± 0.7 mm vs 26.1 ± 0.9 mm; P=.23).In the present study, we showed excellent agreement in the distance to the right or left coronary ostium between 3D CMR and CT during systole, confirming previous studies.17
Study limitations. The major limitation of our study is the small sample size. Nevertheless, we were able to demonstrate excellent correlations in all of the measured parameters between CMR and CT. There were cases of navigator failure in the setting of pleural effusion and ECG-gating failure in atrial fibrillation prevented accurate CMR measurements in diastole, but systolic imaging was not affected. This patient population with multiple co-morbidities brought forth these limitations of the CMR techniques, but the 3D navigator-gated SSFP sequence obtained in systole was robust despite these problems. Additional limitations include that our CMR study did not acquire images for the peripheral arteries, which could add additional time. Patients with pacemakers and defibrillators were excluded from CMR, and this patient population is still better served with alternative techniques such as TEE in the setting of renal failure.
Conclusion
The increasing use of TAVR in the treatment of aortic stenosis, including patients with significant co-morbidities such as renal insufficiency and contrast allergies, has raised concern over contrast-enhanced CT angiography. 3D-CMR systolic annular slab imaging provides fast and accurate dimension measurements similar to CT angiography. Non-contrast CMR can be offered as an alternative imaging modality for aortic annulus evaluation in patients with severe renal impairment.
References
1. Smith CR, Leon MB, Mack MJ, et al. Transcatheter versus surgical aortic-valve replacement in high-risk patients. N Engl J Med. 2011;364:2187-2198.
2. Genereux P, Head SJ, Wood DA, et al. Transcatheter aortic valve implantation 10-year anniversary: review of current evidence and clinical implications. Eur Heart J. 2012;33:2388-2398.
3. Genereux P, Head SJ, Hahn R, et al. Paravalvular leak after transcatheter aortic valve replacement: the new Achilles’ heel? A comprehensive review of the literature. J Am Coll Cardiol. 2013;61:1125-1136.
4. Blanke P, Schoepf UJ, Leipsic JA. CT in transcatheter aortic valve replacement. Radiology. 2013;269:650-669.
5. Apfaltrer P, Henzler T, Blanke P, Krazinski AW, Silverman JR, Schoepf UJ. Computed tomography for planning transcatheter aortic valve replacement. J Thorac Imaging. 2013;28:231-239.
6. Thourani VH, Keeling WB, Sarin EL, et al. Impact of preoperative renal dysfunction on long-term survival for patients undergoing aortic valve replacement. Ann Thorac Surg. 2011;91:1798-1806; discussion 1806-1797.
7. Holmes DR Jr, Mack MJ, Kaul S, et al. 2012 ACCF/AATS/SCAI/STS expert consensus document on transcatheter aortic valve replacement. J Am Coll Cardiol. 2012;59:1200-1254.
8. Doddamani S, Grushko MJ, Makaryus AN, et al. Demonstration of left ventricular outflow tract eccentricity by 64-slice multi-detector CT. Int J Cardiovasc Imaging. 2009;25:175-181.
9. Landis JR, Koch GG. The measurement of observer agreement for categorical data. Biometrics. 1977;33:159-174.
10. Adams DH, Popma JJ, Reardon MJ. Transcatheter aortic-valve replacement with a self-expanding prosthesis. N Engl J Med. 2014;371:967-968.
11. Nuis RJ, Van Mieghem NM, Tzikas A, et al. Frequency, determinants, and prognostic effects of acute kidney injury and red blood cell transfusion in patients undergoing transcatheter aortic valve implantation. Catheter Cardiovasc Interv. 2011;77:881-889.
12. Van Linden A, Kempfert J, Rastan AJ, et al. Risk of acute kidney injury after minimally invasive transapical aortic valve implantation in 270 patients. Eur J Cardiothorac Surg. 2011;39:835-842; discussion 842-833.
13. Kok M, Turek J, Mihl C, et al. Low contrast media volume in pre-TAVI CT examinations. Eur Radiol. 2016;26:2426-2435. Epub 2015 Nov 11.
14. Piazza N, de Jaegere P, Schultz C, Becker AE, Serruys PW, Anderson RH. Anatomy of the aortic valvar complex and its implications for transcatheter implantation of the aortic valve. Circ Cardiovasc Interv. 2008;1:74-81.
15. Hamdan A, Guetta V, Konen E, et al. Deformation dynamics and mechanical properties of the aortic annulus by 4-dimensional computed tomography: insights into the functional anatomy of the aortic valve complex and implications for transcatheter aortic valve therapy. J Am Coll Cardiol. 2012;59:119-127.
16. Koos R, Altiok E, Mahnken AH, et al. Evaluation of aortic root for definition of prosthesis size by magnetic resonance imaging and cardiac computed tomography: implications for transcatheter aortic valve implantation. Int J Cardiol. 2012;158:353-358.
17. Ruile P, Blanke P, Krauss T, et al. Pre-procedural assessment of aortic annulus dimensions for transcatheter aortic valve replacement: comparison of a non-contrast 3D MRA protocol with contrast-enhanced cardiac dual-source CT angiography. Eur Heart J Cardiovasc Imaging. 2016;17:458-466.
18. Murphy DT, Blanke P, AlaaCMR S, et al. Dynamism of the aortic annulus: effect of diastolic versus systolic CT annular measurements on device selection in transcatheter aortic valve replacement (TAVR). J Cardiovasc Comput Tomogr. 2016;10:37-43.
19. Blanke P, Russe M, Leipsic J, et al. Conformational pulsatile changes of the aortic annulus: impact on prosthesis sizing by computed tomography for transcatheter aortic valve replacement. JACC Cardiovasc Interv. 2012;5:984-994.
20. Jabbour A, Ismail TF, Moat N, et al. Multimodality imaging in transcatheter aortic valve implantation and post-procedural aortic regurgitation: comparison among cardiovascular magnetic resonance, cardiac computed tomography, and echocardiography. J Am Coll Cardiol. 2011;58:2165-2173.
21. Renker M, Varga-Szemes A, Schoepf UJ, et al. A non-contrast self-navigated 3-dimensional MR technique for aortic root and vascular access route assessment in the context of transcatheter aortic valve replacement: proof of concept. Eur Radiol. 2016;26:951-958.
From the 1Cardiovascular Division, Department of Medicine, Perelman School of Medicine of the University of Pennsylvania, Philadelphia, Pennsylvania; and the 2Department of Cardiology, PLA General Hospital, Beijing, China.
Disclosure: The authors have completed and returned the ICMJE Form for Disclosure of Potential Conflicts of Interest. Dr Herrmann reports grants from Abbott Vascular, Edwards Lifesciences, Medtronic, and Boston Scientific; personal fees from Edwards Lifesciences (outside the submitted work). Dr Han reports grants from GE Healthcare, Gilead Sciences (outside the submitted work). The remaining authors report no conflicts on interest regarding the content herein.
Manuscript submitted February 19, 2017, final version accepted February 27, 2017.
Address for correspondence: Yuchi Han, MD, MMSc, Assistant Professor of Medicine, Hospital of the University of Pennsylvania, Cardiovascular Division, Room 9022 East Gates, 3400 Spruce Street, Philadelphia, PA 19104-4283. Email: yuchi.han@uphs.upenn.edu


