Appropriate Timing of Nitroglycerin Prior to Intravascular Ultrasound
Abstract: Objectives. To determine the time to maximal coronary dilation following intracoronary (IC) nitroglycerin (NTG) and whether the decrease in aortic pressure (AoP) is a surrogate marker for coronary vasodilatation. Background. Intravascular ultrasound (IVUS) facilitates assessment of coronary plaque severity and morphology and aids in stent sizing. NTG is often administered prior to IVUS to prevent catheter-induced spasm and to facilitate standardized and accurate vessel size measurements. The impact of dose, timing, and route of delivering NTG on vessel size remains undefined. Methods. Twelve patients undergoing IVUS-guided stent placement were studied. An IVUS catheter was positioned proximal to the target lesion and the following measurements made at baseline and 30 second (sec) intervals for 180 sec following 200 mcg IC NTG: AoP, IVUS-derived lumen diameter (Ld), lumen cross-sectional area (La), external elastic membrane diameter (EEMd) and EEM area (EEMa). Lumen and EEM measurements were compared at different time intervals and the relationship between time to max Ld and nadir AoP was analyzed. Results. All patients had a vasodilatory response to IC NTG. Increase from baseline to max Ld following IC NTG was statistically significant (mean change 0.31 ± 0.18 mm, P=.0001). Mean time to max Ld following IC NTG was 117 sec (range, 60-180 sec). No correlation between time to max Ld and AoP nadir was observed (r = 0.19). Conclusions. Our study suggests that administration of 200 mcg IC NTG results in a significant change in lumen diameter and area with maximal vasodilation occurring on average approximately 2 minutes following IC NTG administration. There was no significant correlation between AoP change and maximal NTG-induced coronary vasodilation.
J INVASIVE CARDIOL 2012;24(9):422-426
Key words: intravascular ultrasound, nitroglycerin
________________________________________________________
Over the last two decades, application of coronary imaging using intravascular ultrasound (IVUS) has helped improve our understanding of coronary atherosclerosis and facilitate the evolution of stent therapy.1-6 Commonly used as a clinical tool to optimize PCI, IVUS provides a detailed assessment of plaque severity and vessel remodeling, and aids optimal stent sizing.7-11 In addition, as a research tool, IVUS can quantify extent of plaque regression in response to therapy12-15 and explore mechanisms of disease, such as in-stent restenosis16-18 and stent thrombosis.19-22
While complications are rare, coronary spasm during IVUS may be seen in approximately 3% of patients.23 Intracoronary (IC) nitroglycerin (NTG) is commonly administered prior to IVUS catheter placement to lower the risk of IVUS catheter-induced coronary spasm and to optimize appropriate sizing of vessel segments. NTG results in epicardial coronary artery vasodilation and reduction is systemic pressure in a time-dependent manner.24,25 However, time to IVUS-derived maximal coronary vasodilation and the relationship between time to maximal vasodilation and reduction in systemic pressure following NTG administration remains unknown.
Therefore, we conducted a study to determine the time to peak coronary vasodilatation in response to IC NTG during IVUS and whether a drop in central aortic pressure (AoP) correlates with time to peak coronary dilatation.
Methods
Patient selection. A total of 13 consecutive patients referred for coronary angiography and/or percutaneous coronary intervention with adjunctive IVUS who had not received vasodilator therapy within 24 hours prior to angiography were enrolled. Patients with ST-elevation myocardial infarction and those with non-ST elevation myocardial infarction complicated by hemodynamic or electrical instability were excluded. The University of New Mexico Health Sciences Center Human Research Review Committee (HRRC) reviewed and approved the research protocol.
Cardiac catheterization and angiographic technique. Coronary angiography was performed by two experienced operators (MJR and MWS). Patients underwent standard preparation, were sedated using Fentanyl and Versed and locally anesthetized with 2% subcutaneous Lidocaine. Five Fr diagnostic catheters were used for selective coronary injections. Cineangiography was performed and digitally recorded in multiple orthogonal views to ensure adequate assessment of severity of atherosclerotic lesions using Philips Allura Xper FD equipment at 15 frames/sec.
Intravascular ultrasound protocol and measurements. Following diagnostic angiography, an IVUS catheter (20 MHz Volcano Eagle Eye) was positioned proximal to the lesion of interest via a 5 or 6 Fr guide catheter over a 0.014˝ angioplasty wire. Baseline IVUS measurements were made and AoP at the guide catheter tip was recorded. Care was taken to ensure that the pressure measured at the guide catheter tip while performing IVUS was free of damping or ventricularization and therefore represented central aortic pressure. Immediately following baseline IVUS imaging and recording AoP, 200 mcg of IC NTG was administered through the guide catheter and IVUS measurements were repeated for 5 cardiac cycles at 30 second intervals for 180 seconds. Systolic, diastolic, and mean AoP were recorded at corresponding times from the tip of the guide catheter. Stored IVUS images were subsequently evaluated by two experienced investigators (MJR and MWS). In order to blind image interpretation to the sequence of IVUS acquisition, the IVUS images were presented in random order. The following measurements were made: coronary minimal luminal diameter (min Ld); maximal luminal diameter (max Ld); lumen cross-sectional area (La); minimal external elastic membrane diameter (min EEMd); maximal external elastic membrane diameter (max EEMd); and EEM area (EEMa) at the diastolic phase of the cardiac cycle. Atheroma (plaque plus media) cross-sectional area was subsequently calculated using the formula: EEMa – La. Similarly, changes in AoP were plotted over each time interval for each patient.
Statistical analysis. Changes in IVUS measurements of interest and mean AoP measurements over specified time periods were calculated using MS Excel and ‘R’ software and data points compared using paired, two-tailed, unequal variance Student’s t-test. The relationship between time-to-max Ld and time-to-nadir AoP was analyzed using Pearson’s product-moment correlation and plotted using a box-and-whisker diagram.
Results
A total of 13 patients were enrolled and underwent the IVUS protocol; 1 was excluded from further analysis due to technical difficulties in acquiring appropriately timed IVUS images. Baseline demographics are shown in Table 1.
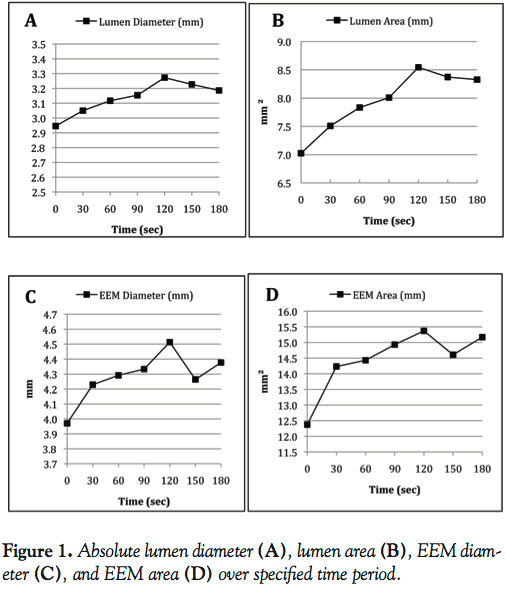
All 12 patients demonstrated a vasodilatory response to IC NTG (Table 2). Mean time to maximum Ld was 117 ± 37.2 sec (range, 60-180 sec) with 11 of 12 patients achieving maximum Ld dilatation by 150 sec after administration of IC NTG. Figures 1 and 2 show actual and mean changes in vessel dimension over the study period. There were significant mean changes in Ld (0.31 ± 0.18 mm; P=.0001) (Figure 2A), mean change in La (1.46 ± 0.78 mm2; P<.0001) (Figure 2B), mean change in EEMd (0.52 ± 0.54 mm; P=.007) (Figure 2C) and mean
change in EEMa (2.96 ± 2.78 mm2; P=.004) (Figure 2D) over the selected time intervals. Figure 3 shows percent change in mean values over each time interval highlighting the overall impact of nitroglycerin on vessel size. Atheroma area remained unchanged for each time point in each subject.
The mean AoP nadir (Figure 4) time was 70 ± 48 sec after NTG administration. Based on Pearson’s product-moment correlation analysis there was no relationship between time to maximum Ld and AoP nadir (r = 0.19) (Figure 5).
Discussion
Our study demonstrates that subsequent to administration of 200 mcg IC NTG, IVUS-derived coronary lumen and vessel dimensions increase and reach peak dilatation on average 2 minutes post IC NTG. In addition, we demonstrate that change in AoP is a poor surrogate marker for time to maximal coronary dilatation.
Routine use of NTG is officially endorsed by the American College of Cardiology Consensus Document on IVUS26 in order to avoid catheter-induced spasm. However, consideration is not given to NTG’s effect on measurements and rarely is the time interval between NTG delivery and IVUS imaging specified in research protocols. Given the expansion of IVUS as a clinical and research tool, standardized techniques to obtain intricate IVUS data are paramount. For example, the Thrombocyte activity evaluation and effects of Ultrasound guidance in Long Intracoronary stent Placement (TULIP) trial demonstrated that additional IVUS guidance was associated with a significant 0.30 ± 0.82 mm greater lumen diameter at 6 months10 — a magnitude of difference similar to the change in lumen diameter demonstrated 2 minutes following NTG administration in the current study. Similarly, in studies evaluating the impact of drug therapy on plaque regression using serial IVUS measurements, every 1% increase in percent atheroma volume (measured using difference between EEM area and lumen area) is associated with a 1.3-fold increase in incidence of major adverse cardiac events.27 These findings highlight the impact of accurately defining small changes in vessel size.
Our data show that IC NTG results in a time-dependent 10% (0.31 ± 0.18 mm) increase in lumen diameter and 20% (1.46 ± 0.78 mm2) increase in lumen area, which is maximal by 150 seconds in most subjects. Failure to make IVUS measurements at a standardized time and prior to maximal vasodilation may therefore introduce variation in IVUS-based measurements, which could impact both clinical outcomes and research endpoints. In addition, we show that AoP nadir is a poor surrogate for IC NTG response and that coronary vessels continue to dilate after the nadir in NTG-induced blood pressure lowering is achieved. Specifically, AoP reached nadir on average approximately 50 seconds prior to maximal coronary vasodilation.
Study limitations. Since just one dose of NTG (200 mcg) and one route of administration (IC) was used, these data may only be applicable to these circumstances. In addition, within our protocol of 180 seconds, we could not reliably conclude time to return of vessel size to baseline. This would be important when serial measurements after repeat injections of NTG are made. Insertion of the angioplasty wire and IVUS catheter prior to baseline measurements, while necessary for the protocol, may have affected baseline vessel size measurements by triggering vascular muscular constriction. Lastly, the possibility of statistical error inherent in such a small case series from a single center should be considered in the interpretation of this study.
Conclusion
Intracoronary administration of 200 mcg NTG results in a significant change in coronary lumen diameter and area with maximal vasodilation occurring on average approximately 2 minutes after IC NTG administration. There appears to be no significant correlation between AoP nadir and maximal NTG-induced coronary vasodilatation. In order to optimize the accuracy of IVUS measurements during both clinical and research studies in the future, consideration should be given to standardizing the timing of vessel measurements following NTG administration.
References
- Tobis JM, Mallery J, Mahon D, et al. Intravascular ultrasound imaging of human coronary arteries in vivo. Analysis of tissue characterizations with comparison to in vitro histological specimens. Circulation. 1991;83(3):913-926.
- Potkin BN, Keren G, Mintz GS, et al. Arterial responses to balloon coronary angioplasty: an intravascular ultrasound study. J Am Coll Cardiol. 1992;20(4):942-951.
- Laskey WK, Brady ST, Kussmaul WG, et al. Intravascular ultrasonographic assessment of the results of coronary artery stenting. Am Heart J. 1993;125(6):1576-1583.
- Cheneau E, Mintz GS, Leborgne L, et al. Intravascular ultrasound predictors of subacute vessel closure after balloon angioplasty or atherectomy. J Invasive Cardiol. 2004;16(10):572-574.
- Waksman R. Drug-eluting stents: from bench to bed. Cardiovasc Radiat Med. 2002;3(3-4):226-241.
- Frey AW, Hodgson JM, Muller C, Bestehorn HP, Roskamm H. Ultrasound-guided strategy for provisional stenting with focal balloon combination catheter: results from the randomized strategy for intracoronary ultrasound-guided PTCA and stenting (SIPS) trial. Circulation. 2000;102(20):2497-2502.
- Blasini R, Neumann FJ, Schmitt C, Bökenkamp J, Schömig A. Original studies: comparison of angiography and intravascular ultrasound for the assessment of lumen size after coronary stent placement: impact of dilation pressures. Cathet Cardiovasc Diagn. 1997;42(2):113-119.
- Schiele F, Meneveau N, Vuillemenot A, et al. Impact of intravascular ultrasound guidance in stent deployment on 6-month restenosis rate: a multicenter, randomized study comparing two strategies — with and without intravascular ultrasound guidance. RESIST study group. REStenosis after Ivus guided STenting. J Am Coll Cardiol. 1998;32(2):320-328.
- Russo RJ, Silva PD, Teirstein PS, et al. A randomized controlled trial of angiography versus intravascular ultrasound-directed bare-metal coronary stent placement (the AVID Trial). Circ Cardiovasc Interv. 2009;2(2):113-123.
- Oemrawsingh PV, Mintz GS, Schalij MJ, Zwinderman AH, Jukema JW, Van der Wall EE. Intravascular ultrasound guidance improves angiographic and clinical outcome of stent implantation for long coronary artery stenoses: final results of a randomized comparison with angiographic guidance (TULIP study). Circulation. 2003;107(1):62-67.
- Ricciardi MJ, Meyers S, Choi K, Pang JL, Goodreau L, Davidson CJ. Angiographically silent left main disease detected by intravascular ultrasound: a marker for future adverse cardiac events. Am Heart J. 2003;146(3):507-512.
- Carlier SG, Tanaka K. Studying coronary plaque regression with IVUS: a critical review of recent studies. J Intervent Cardiol. 2006;19(1):11-15.
- Chhatriwalla AK, Nicholls SJ, Nissen SE. The ASTEROID trial: coronary plaque regression with high-dose statin therapy. Future Cardiol. 2006;2(6):651-654.
- Dohi T, Miyauchi K, Okazaki S, et al. Plaque regression determined by intravascular ultrasound predicts long-term outcomes of patients with acute coronary syndrome. J Atheroscler Thromb. 2011;18(3):231-239.
- Jensen LO, Thayssen P, Pedersen KE, Stender S, Haghfelt T. Regression of coronary atherosclerosis by simvastatin: a serial intravascular ultrasound study. Circulation. 2004;110(3):265-270.
- Kasaoka S, Tobis JM, Akiyama T, et al. Angiographic and intravascular ultrasound predictors of in-stent restenosis. J Am Coll Cardiol. 1998;32(6):1630-1635.
- King SB, III. Restenosis: the mouse that roared. Circulation. 2003;108(3):248-249.
- Lima-Filho MO, Figueiredo GL, Foss-Freitas MC, Foss MC, Marin-Neto JA. Predictors of restenosis after percutaneous coronary intervention using bare-metal stents: a comparison between patients with and without dysglycemia. Braz J Med Biol Res. 2010;43(6):572-579.
- Cheneau E, Leborgne L, Mintz GS, et al. Predictors of subacute stent thrombosis: results of a systematic intravascular ultrasound study. Circulation. 2003;108(1):43-47.
- Miyazaki S, Hiasa Y, Kishi K. Very late thrombosis after subintimal sirolimus-eluting stent implantation during percutaneous coronary intervention for chronic total occlusion. J Invasive Cardiol. 2010;22(8):E162-E165.
- Moussa I, Di MC, Reimers B, Akiyama T, Tobis J, Colombo A. Subacute stent thrombosis in the era of intravascular ultrasound-guided coronary stenting without anticoagulation: frequency, predictors and clinical outcome. J Am Coll Cardiol. 1997;29(1):6-12.
- Tan HC. Stent thrombosis after percutaneous coronary intervention for bifurcation lesions. J Interv Cardiol. 2009;22(2):114-116.
- Hausmann D, Erbel R, Ibelli-Chemarin MJ, et al. The safety of intracoronary ultrasound: a multicenter survey of 2207 examinations. Circulation. 1995;91(3):623-630.
- Fam WM, McGregor M. Effect of nitroglycerin and dipyridamole on regional coronary resistance. Circ Res. 1968;22(5):649-659.
- Harrison DG, Bates JN. The nitrovasodilators. New ideas about old drugs. Circulation. 1993;87(5):1461-1467.
- Mintz GS, Nissen SE, Anderson WD, et al. American College of Cardiology clinical expert consensus document on standards for acquisition, measurement and reporting of intravascular ultrasound studies (IVUS): A report of the American College of Cardiology Task Force on Clinical Expert Consensus Documents developed in collaboration with the European Society of Cardiology endorsed by the Society of Cardiac Angiography and Interventions. J Am Coll Cardiol. 2001;37(5):1478-1492.
- Nicholls SJ, Hsu A, Wolski K, et al. Intravascular ultrasound-derived measures of coronary atherosclerotic plaque burden and clinical outcome. J Am Coll Cardiol. 2010;55(21):2399-2407.
________________________________________________________
From the 1Division of Cardiology and 2Department of Mathematics & Statistics University of New Mexico School of Medicine, Albuquerque, New Mexico.
Disclosure: The authors have completed and returned the ICMJE Form for Disclosure of Potential Conflicts of Interest. Dr Bina Ahmed reports a grant from Gilead Pharmaceuticals. The authors report no conflicts of interest regarding the content herein.
Manuscript submitted January 10, 2012, provisional acceptance given February 7, 2012, final version accepted March 21, 2012.
Address for correspondence: Mark J. Ricciardi, MD, FAHA, FACC, FSCAI, Division of Cardiology, ACC5, MSC10-5550, 1 University of New Mexico, Albuquerque, NM 87131. Email: mricciardi@salud.unm.edu


