A Retrospective Study Examining Pre-Pandemic Activity in Three UK Regional Cardiac Centers
Is There Potential for Improvement in the Efficient Use of Operating Facilities for Cardiology Procedures?
Is There Potential for Improvement in the Efficient Use of Operating Facilities for Cardiology Procedures?
Background
In 2019, the United Kingdom’s (UK) National Health Service (NHS) introduced its Long-Term Plan, identifying key strategies to meet the challenges faced in service provision.1 Subsequently, management of the COVID pandemic involved reduced provision of routine care, and an analysis of NHS digital information by the British Medical Association reported that between April 2020 and March 2022, compared to pre-COVID averages, there were 4.55 million fewer elective procedures and 30.92 million fewer outpatient attendances*. This has exacerbated existing problems. Services have seen a substantial rise in demand and waiting times, with the number of people in the UK waiting for consultant-led elective care increasing from 4.43 million in February 2020 to 6.48 million in April 2022.2 Previous studies have highlighted the potential for gain with more efficient use of key treatment facilities such as operating theatres.3,4
Contemporary cardiovascular care involves the performance of a range of procedures performed in cardiac catheterization laboratory (cath lab) facilities, akin to operating theatres. We performed a retrospective study to examine the pre-pandemic utilization of cath lab facilities in three UK regional cardiac centers.

Methods
Center Selection. The Liverpool Heart and Chest Hospital has previously reported improved efficiency and patient experience, secured with changes in working practices and with use of an information technology system to facilitate scheduling and real-time communication of list changes and patient status.5,6
Three other hospitals, interested in this work, agreed to participate in a benchmarking exercise to describe pre-pandemic activity. The centers are therefore to some extent self-selected by their status as potential early adopters of new methods. In all other respects, however, they are typical of UK regional cardiac centers, operating multiple cath labs and offering a typical and comprehensive range of cardiac procedures.
Observation Period and Inclusion Criteria. We studied the calendar year 2019 to avoid the impact of the COVID pandemic, which began to affect activity in the first quarter of 2020. The analysis was restricted to routine working hours, excluding cases performed at weekends, on bank holidays, and any case starting outside normal operating hours for the cath lab in which it was performed.
Data Sources and Outcome Measures. Centers provided information about their facilities and the normal hours of operation for each cath lab. In addition, each center provided a structured download for all cath lab procedures, in spreadsheet format, with each row describing an individual procedure. Spreadsheets were obtained from institutional IT systems capturing data for scheduling or patient movement between clinical areas. Patient identifiers were removed prior to data transfer to the analysis team at the Liverpool Heart and Chest Hospital. Records were checked for duplicates and for missing data in key fields. For duplicates, we deleted the record with the least complete data. Simple formulae were used to identify cases for exclusion from the analysis because the case was started outside routine hours. Eligible cases were sorted by date, cath lab area, and procedure start time to determine the case sequence in each cath lab on a particular working day. We used the ‘time in’ and ‘time out’ of the cath lab for each procedure to calculate the case duration.
The primary outcome measure was the ‘touch time’ for each center. Touch time is the proportion of available cath lab operating time during which a patient was present in a cath lab area. The observed value was compared to a target of 85%, identified as an optimum performance figure by demand-capacity analysis (or ‘queuing theory’).7 Touch time was calculated at the sum of case duration of eligible cases over the year, divided by the potential available cath lab time (number of working days x number of labs x working hours (minutes) per day).
To provide insight into reasons for unused cath lab time, we calculated secondary outcome measures:
• Unused cath lab days: the proportion of available days in which no case was performed.
• Delayed starts: the number of minutes, after the official lab start time, that the first scheduled patient in that lab, on that day, enters the cath lab.
• Early finishes: the number of minutes before (or after) the official lab finish time that the last patient in that lab, on that day, leaves the cath lab.
• Turnaround time: for sequential cases in the same lab on the same day, the number of minutes between one patient leaving the lab and the next one entering.
Data analysis was performed with SPSS version 26 (IBM). Outcome descriptive statistics are presented as proportions, or with box and whisker plots and percentile charts. For the results, the participating centers have been identified only as Hospital 1, 2, or 3, and the sample sizes in each individual analysis have been withheld to preserve center anonymity.
Results
The participating centers (in alphabetical order) were the regional cardiology units in Blackpool, Leeds, and Stoke. Table 1 shows the number of cath lab procedure episodes recorded for each center in 2019 and the number and proportion of these included in the analysis.
Procedure Duration. The observed values were very similar for the three centers and typical for UK practice, with a median time of about 60 minutes (mins). Figure 1 shows the range of procedure duration.
Touch Time: Primary Outcome Measure. The calculated touch time values were 68%, 66%, and 48% for the three hospitals. As shown in Figure 2, there is potential for improved use of the cath lab facilities, perhaps treating more patients within existing real estate and staffing resources.
A consideration of the secondary outcomes may allow centers to better identify and target areas for improvement.
Delayed Start Time for the First Case of the Day. Observations are based on the first case in each lab, on each of the working days (956, 973, and 1319 observations, presented in ascending order and not reflecting Hospitals 1, 2, and 3). The median (interquartile range [IQR]) delay was 20 (12 to 40) mins, 25 (15 to 40) mins, and 35 (20 to 50) mins. Figure 3 shows the distribution.
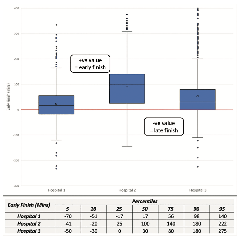
Finish Times. If a cath lab finished early, then potential for extra activity is lost. Unplanned overruns with late finishes can create different problems; for example, with staffing, coordination with day care ward closures, and in the management of emergency cases. The results are based on 956, 965, and 1226 observations in the three centers. Unused time at the end of each lab day has been calculated as the difference between the end time of the final procedure and the scheduled time of the end of the working day. The positive (+ve) times show procedure finish before planned time, the negative (-ve) times finish after planned time (Figure 4).
The median (IQR) time for the 3 centers was 17 (-17 to 56) mins, 100 (25 to 140) mins, and 30 (0 to 80) mins. In all centers, there were more early than late finishes, with some variation in the proportion running over the declared end of the working day (in the range of 10%-30%).
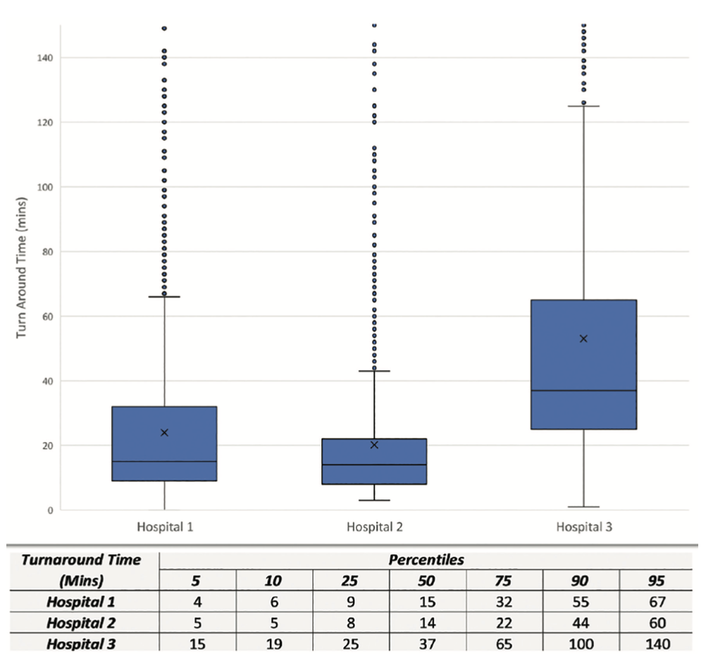
Turnaround Time Between Consecutive Cases. The results are based on 3169, 3325, and 3940 observations (distribution in Figure 5). The median (IQR) turnaround times were 15 (9 to 32) mins, 14 (8 to 22) mins, and 37 (25 to 65) mins.
Days Without Any Cath Lab Activity. We explored the proportion of labs without any cath lab activity. The results were 4%, 5%, and 13% of the total lab days available in each center. Essential maintenance and clinical audits need to be scheduled, and could explain some but perhaps not all unused cath lab sessions.
Discussion
These results suggest that for the participating centers there may be the potential to perform additional cath lab activity within current overhead and staffing resource provision. There appears to be an opportunity to better utilize otherwise lost time by reducing unused sessions, late starts, and turnaround time between cases. The ‘problem’ of early finishes may be another area for gain, but this requires special consideration and will be discussed below. This study yields results that are consistent with the NHS Improvement report on operating theatre productivity3 and with current data available through the Model Healthcare Project.8
We have used a target touch time of 85% as an accepted, optimum standard. In a response to the NHS Improvement report on operating theatres, J.J. Pandit references work performed by himself and others (supported by work in demand-capacity modelling and mathematical models of queuing) to justify this value.7 It is mathematically impossible to have full utilization of a resource and no queue or waiting list. The only way to have zero waiting is to accept a substantial amount of unused capacity. The realities of this type of healthcare provision means that a system will have to cope with unexpected events, changes in patient status, and problems associated with unexpected variation in the duration of individual procedures. UK cath labs also provide primary percutaneous coronary intervention (PPCI) in which patients experiencing a heart attack are brought directly to the treatment area by emergency response ambulance crews. Notice of an impending arrival is usually in the range of 5-45 mins. The UK national standard is for immediate progression to the cath lab and to have reopened the blocked heart artery within 20 mins of ambulance arrival. To meet this requirement, centers will often hold a cath lab empty for a period to await an inbound emergency, extending the apparent turnaround time. The volume of PPCI case activity may explain some of the difference in apparent efficiency between centers.
Nevertheless, it makes sense to avoid wasted time and substantial improvements have been reported.5 Annualized job plans, with flexible working and rotation patterns that better match service demands can eliminate the loss of case times resulting from poor staffing levels. Scheduling must be realistic and planning should involve the operators. Lists should be reviewed on a rolling schedule, perhaps considering activity due in 6, 4, and 2 weeks, and any activity planned for the immediate next few days. In the cath lab environment, there may be advantage in scheduling elective work for only a proportion of the working day to allow flexible accommodation of urgent and emergency cases. This real-time scheduling presents a specific challenge, and may involve adjusting plans and moving cases between lists to better accommodate the case load in the evolving reality of cath lab availability.
Better planning and improved communication with ward areas can help to reduce late starts and turnaround time. Clear identification of the most appropriate ‘first case’ in terms of admission date and time, case preparation needs, and other logistics will reduce the potential for otherwise preventable delays. The creation of nursing care and recovery areas adjacent to, and ideally part of, the cath lab team has proven effective.5 Other ideas include a dedicated transfer team for patient movement and collecting the patient early, with use of a forward wait area to ensure that patients are immediately available as soon as a cath lab becomes free.
Minimizing lost time at the end of the working day is important, but solutions are potentially more complex. Unplanned late finishes are unpopular with patients and staff, and are disruptive to ward schedules, particularly when patients are being managed as planned day cases. When the ongoing activity becomes the responsibility of the nominated on-call team, this can compromise their ability to respond to emergent cases. If a center seeks to avoid running late, then early finishes will have to be accepted. Maximizing available time will be easier if some cases can be scheduled (or made available) that are of shorter duration and if operators are willing to move cases between labs and operators. It may be possible to arrange planned staffing to secure extended working in 1 or 2 of the cath labs, perhaps for 30 or 60 minutes, securing the performance of an additional case that might otherwise have been cancelled for fear of a modest overrun.
Study Limitations. This study has some important limitations and it is possible that all three centers are more efficient than might be suggested by the primary outcome results:
• The sample size is small, involving only three centers, and this may limit external validity;
• Data is from 2019 and may not reflect current practice;
• The analysis is based on routine data, collected on hospital systems not specifically designed for research activity (with some missing data) and may contain errors;
• We make no allowance for planned closure for routine servicing or for breakdown of equipment;
• All three centers are involved in the provision of emergency care to patients with acute myocardial infarction and this can be very disruptive to schedules;
• NHS standards do not apply touch time metrics to lists with more than half the time period devoted to emergency care,8 but we did not have sufficient data to be able to apply this approach.
Future work is required to confirm our findings and to examine for change over time. Cardiac centers will need to collaborate to identify tools and best practice approaches to deliver improvement.
The authors can be contacted via Professor R. H. Stables at rod.stables@lhch.nhs.uk
References
1. National Health Service. NHS Long Term Plan. [Online] 2019. Accessed December 13, 2022. https://www.longtermplan.nhs.uk/wp-content/uploads/2019/08/nhs-long-term-plan-version-1.2.pdf
2. British Medical Association. NHS Delivery and Workforce; Backlog Data Analysis. [Online] June 2022. Accessed December 13, 2022. https://www.bma.org.uk/advice-and-support/nhs-delivery-and-workforce/pressures/nhs-backlog-data-analysis
3. NHS Improvement. Operating theatres: opportunities to reduce waiting lists. February 2019. Accessed December 13, 2022. https://allcatsrgrey.org.uk/wp/download/surgery/Theatre_productivity_report__Final.pdf
4. Briggs TWR. The NHS Improvement report on operating theatres: surgeons’ personal experience vs. data analysis. Anaesthesia. 2019 Jul; 74(7): 940-941. doi: 10.1111/anae.14684
5. Stables W, Broome J, Mars C, Stables RH. In pursuit of excellence for cardiovascular intervention at the Liverpool Heart and Chest Hospital: operational efficiency, patient safety and collaboration with the CareCube platform. Cath Lab Digest. 2021 May; 29(5): 36-39.
6. Directorate, NHS Transformation. An integrated digital solution for scheduling and delivering cardiovascular procedures in real time. NHS Transformation Directorate. [Online] 2022. Accessed December 13, 2022. https://www.nhsx.nhs.uk/key-tools-and-info/digital-playbooks/cardiology-digital-playbook/An-integrated-digital-solution-for-scheduling-and-delivering-cardiovascular-procedures-in-real-time
7. Pandit JJ. The NHS Improvement report on operating theatres: really ‘getting it right first time’? Anaesthesia. 2019 Jul; 74(7): 839-844. doi: 10.1111/anae.14645
8. NHS Improvement. Model Health System. [Online] 2022. Accessed December 13, 2022. https://model.nhs.uk
Keep Reading:
Spotlight: Ochsner LSU Health Shreveport – Heart & Vascular Institute


