Toe-Flow Model Implementation in the Vascular Surgery Department: Spanish Experience
VASCULAR DISEASE MANAGEMENT 2021;18(8):E131-E138
Abstract
Introduction. Diabetic foot (DF) is a complication of diabetes mellitus (DM) with a devastating natural history including ischemia, infection, amputation, and death. A multidisciplinary approach has shown better results limiting its health impact. Methods. The aim of this study is to present the results of the first 3 years in a diabetic foot unit (DFU) at the Vascular Surgery Department, University Hospital Foundation Alcorcón in Madrid, Spain immediately after the inclusion of a podiatrist to create a toe-flow model, from November 2009 to September 2012, including DM patients with active ulcer or no ulceration. Our primary aim was to collect descriptive results about the following: (1) neuropathic and vascular screening; (2) biomechanical study; and (3) long-term follow-up, including ulcer, amputation, healing, and/or death. Our secondary aims were to describe: (1) results per the University of Texas staging system for DF ulcers; (2) cumulative probability of all wound healing of injury limb; and (3) accumulated survival free of amputation. Results. We included 288 patients during a total of 5205 office visits (18.1 ± 19.9 visits); 73.5% of these patients were male. The average age was 68.0 ± 12.4 years and 69.2% of cases were ischemic. During the study period, 239 patients (83.0%) had at least 1 ulcer. A total of 124 revascularizations were performed in 97 limbs (16.8%) of 89 patients (30.9%). Open revascularization was performed in 29 endovascular procedures (23.4%), endovascular procedures were performed in 89 patients (71.8%), and hybrid procedures were performed in 6 patients (4.8%). The average duration of follow-up was 509 ± 309 days and median duration was 485.5 days. During the study period, 77.2% of ulcers were healed, with 84.6 ± 97.5 days until healing. Twenty major amputations (7.5%) were performed during the follow-up period. No follow-up was obtained in 17 patients (5.9%). Conclusion. With the inclusion of a podiatrist, the creation of a DFU based on the toe-flow model at our hospital allowed us to improve patient care by creating a comprehensive care model based on the coordination of vascular surgery and podiatry as the main specialties, favoring the multidisciplinary treatment of this pathology. The inclusion of the podiatrist resulted in greater control of the off-loading treatment, implementation of conservative surgery, and prevention of reulceration in the diabetic patient.
Introduction
Diabetes mellitus (DM) is one of the main health problems worldwide; its prevalence has increased in recent times, mainly due to population aging, with an estimated 366 million people diagnosed over the next decade.1 In Spain, according to the National Health Survey, the reported prevalence of DM in the population over 16 years old increased from 4.1% in 1993 to 6.4% in 2006.2
Diabetic foot (DF) is one of the most significant complications of DM, with an estimated prevalence between 1.3%-4.8%.3 Between 15%-25% of diabetic people will develop a DF ulcer, with an annual risk in developed countries of 5% (25 times greater risk than in non-diabetic patients).4 After healing, 34%, 61%, and 70% of patients will develop a new ulcer at 1 year, 3 years, and 5 years of follow-up, respectively.5 Between 7%-20% will require major or minor amputation.6 Survival at 3 years after undergoing a major amputation is only 50%, and survival at 5 years is 32%-40%.6,7 In addition, at 5 years post amputation, about 15% will undergo a reamputation of the same limb,8 with amputation of the contralateral limb in at least half of the patients.8,9 Therefore, it is crucial to clinically manage these patients with a focus on reducing the incidence of ulcers, as well as the rates of reulceration and amputation.
DF has multiple etiopathogeneses, including neuropathy, peripheral arterial disease, and musculoskeletal-dermal disorders. Accordingly, DF management requires a multidisciplinary approach that allows the physician to act on the different factors that determine its appearance and its complications.10 The aim of the present article is to present the 3-year results after implementing a diabetic foot unit (DFU) at the University Hospital Foundation Alcorcón (UHFA) in Madrid, Spain immediately after the inclusion of a podiatrist to create a toe-flow model.
Methods
In November of 2009, a project was launched at the UHFA to create a collaborative management protocol for DF based on the “toe and flow” model. The UHFA was the first hospital in Madrid to incorporate the active collaboration of a DF-specialized podiatrist in a gatekeeper role and included in the Vascular Surgery Department. The DFU comprises the specialized podiatrist, 7 vascular surgeons, and 2 nurses. This DFU is enriched through close collaboration with other specialty departments, such as internal medicine, infectious disease, and endocrinology.
Design. This is a descriptive study of the activity and results of the DFU of the Vascular Surgery Department of the UHFA. Patients were treated according to a multidisciplinary care protocol based on international guides,11 where follow-up was established until ulcer healing, affected limb amputation, or death.
Inclusion criteria. All patients treated in the DFU-UHFA, with or without DF ulcer, during the period between November 2009 and September 2012 were included.
Collection of data and variables. Data were stored in a database designed for this purpose with Microsoft Access software for Windows. Basal characteristics, social and life habits, comorbidities, and previous history of revascularization, ulcer, and minor or major amputations were collected at the first visit.
If ulceration (both in the first visit or in successive visits) was recorded, we noted the following: start date of treatment in the DFU-UHFA, affected limb, location (digital, metatarsal, midfoot, and heel), time of evolution, size, characteristics of the wound bed, and type/amount of exudate. The ulcer was classified according to the University of Texas (UT) staging system,17 including the result of the probe to bone (PTB) test, and type of infection according to the Infectious Diseases Society of America (IDSA) classification.18 Microbiological cultures were recorded with results, antibiogram, and prescribed antibiotic treatment, as well as the type of wound care (wet, dry, and use of negative pressure therapy) and the reason for the end of the ulcer study (minor or major amputation or death). If there was >1 ulcer in the same location, the ulcer with the worst prognosis was recorded. These data were also collected for any reulcerations or new ulcers that occurred during the follow-up. The presence of deformities and previous amputations were recorded in all patients.
Neuropathic and vascular screening at first visit were performed in all patients. In non-ulcerated or healed patients, a complete biomechanical study was performed as well (Table 1).
According to the DFU-UHFA protocol, after healing and biomechanical study, customized orthotic treatment was performed, eg, customized insoles, adequate footwear, and customized silicone orthotics if indicated. Follow-up was monitored through protocolized biomechanical reviews. Customized recommendations for foot care and diabetes education were provided to all patients.
A descriptive study of the baseline characteristics and patient exploration was performed, and included ulcers (first ulcer and reulcerations) and healing; biomechanical study; customized orthotic treatment; and revascularizations performed during the follow-up period (type, patients, and revascularized limbs). Each limb treated was classified into the following categories: (1) non-ischemic; (2) ischemic; or (3) revascularized. Patients were considered non-ischemic when the ankle-brachial index was normal (≥0.9 and <1.3) and there was at least a conserved pedal pulse (posterior tibial or dorsalis pedis).
Statistical analysis. The data were analyzed at 4 levels depending on whether the patient, ulcer, limb, or revascularization was considered the unit of analysis. Categorical variables are presented as percentages and continuous variables as mean ± standard deviation. Kaplan-Meier survival analysis was utilized as follows: (1) at the level of the ulcer, the cumulative probability of healing; (2) at the limb level, the cumulative healing probability of all ulcers; (3) cumulative survival free of major amputation; and (4) cumulative survival free of death. All hypothesis tests were carried out in two tails and with a significance level of alpha = .05. SPSS, version 22 (IBM) was used for all statistics.
Results
A follow-up of 288 patients was performed, including a total of 5205 visits (18.1 ± 19.9 visits). The average duration of follow-up was 509 ± 309 days and median duration was 485.5 days. Baseline characteristics are shown in Table 2. Social characteristics and life habits are presented in Table 3.
A high rate of patients had history of hypertension (80.4%), hypercholesterolemia (72.1%), retinopathy (66.7%), and/or cardiovascular disease (52.3%), while 50.2% of patients had a history of ulceration, 25.6% had undergone some type of amputation, 18.8% had previous endovascular revascularization, and 10.3% had history of revascularization with bypass.
Results of neuropathic and vascular screening are shown in Table 4 and Table 5, respectively, while complete biomechanical study (performed in all healed patients) is shown in Table 6.
During the study period, 239 patients (83.0%) had at least 1 ulcer; 217 had an ulcer on their first visit, while 22 developed it during the follow-up period. The digital location was the most common (64.9%), followed by metatarsal (25.7%), heel (18.8%), and midfoot (7.3%). The total number of ulcers treated was 404 (1.69 ± 0.98 ulcers per patient). In 84 of the 239 patients with ulcers (35.1%), there was at least 1 reulceration during follow-up. A total of 154 reulcerations were treated (1.84 ± 1.20 per patient with reulceration and 0.65 ± 1.13 per patient with ulcer). If all ulcers were taken into account (ulceration + reulceration), 558 lesions were treated (Table 7).
The UT classification (n = 556) is shown in Table 8. Bone involvement is more frequent when there is an infectious component (50% with only infection and 61.3% with ischemia and infection). Table 8 also presents the UT classification according to ulcer location.
Seventeen patients had incomplete information about the vascular screening in any of their limbs, therefore the vascular status was available in 559 patients. In 387 (69.2%), the member was classified as ischemic (74.6% of patients); 45 of these patients (20.9%) had ischemia in only 1 limb and the 171 remaining patients (79.1%) were diagnosed with ischemia in both limbs. Ischemia was not diagnosed in 172 members (30.8%; 34.7% of patients). At least 1 ulcer was present in 308 limbs (55.1%) during follow-up.
A total of 124 revascularizations were performed in 97 limbs (16.8%) in 89 patients (30.9%). Of these, 29 (23.4%) were open revascularization, 89 (71.8%) were endovascular, and 6 (4.8%) were hybrid procedures.
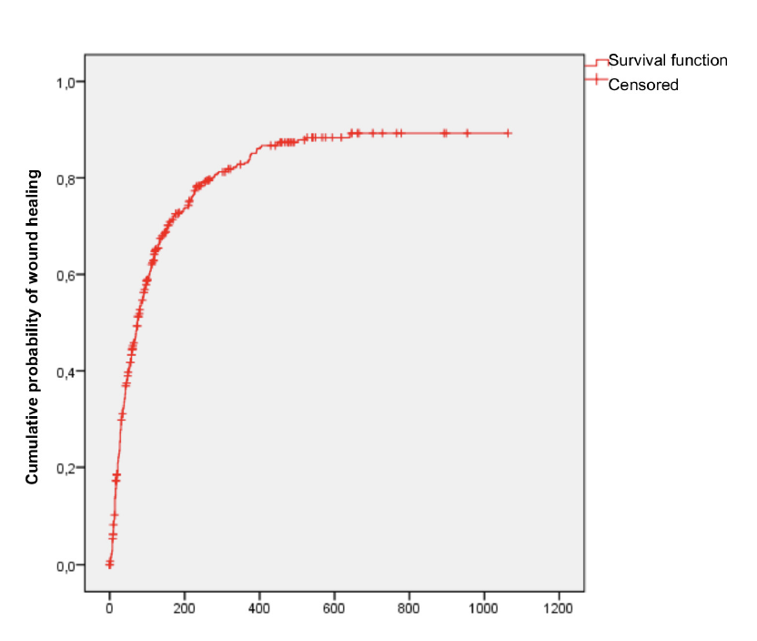
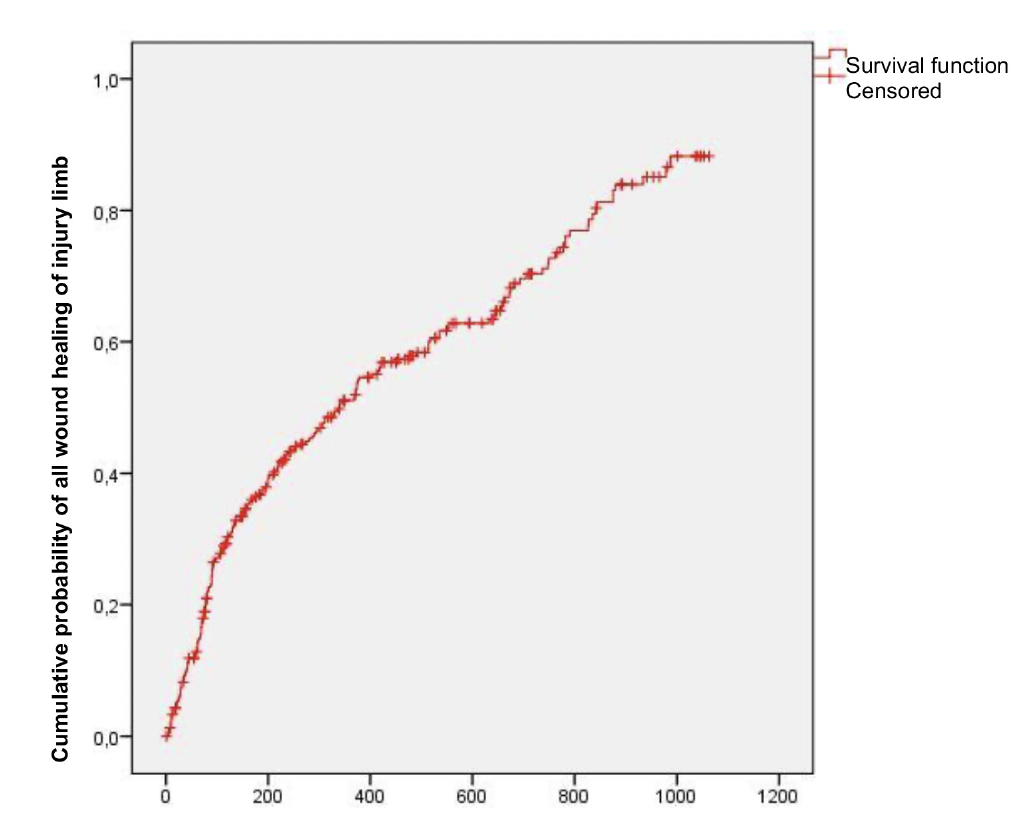
During the study period, 77.2% of the ulcers healed, with an average 84.6 ± 97.5 days until healing (Table 7). Figure 1 shows the function of cumulative healing probability of the ulcers. Healing of all limb ulcers was achieved in 64.3% of the 308 ulcerated limbs. Figure 2 shows the cumulative healing function of all limb ulcers.
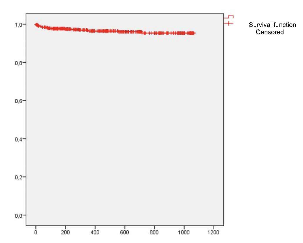
Twenty major amputations (7.5%) were performed during the follow-up, with 495.3 ± 311.5 days from the start of follow-up in the DFU until the amputation. The cumulative survival chart free of amputation is shown in Figure 3. There were 17 exits from the study (5.9%), with an average of 265 ± 192.1 days from the start of follow-up in the DFU.
Discussion
According to its multiple etiopathogenesis, DF management requires a multidisciplinary approach to act upon the different factors that determine its appearance and the development of its complications.11 Several studies have shown how multidisciplinary units to address DF treatment have achieved a reduction in the amputation rate between 58% and 82%, improving the healing rates as well.12-15 Although the composition of the team members is a variable in the different studies, the current tendency is to consider as a basic team the dual vascular surgeon-podiatrist (“toe and flow”) model.16 This structure was adopted in our unit because all DF complications in our hospital, regardless of ischemia status, were previously assumed by the vascular surgery department. Obtaining a specialized podiatrist was the only factor needed to complete this basic binomial to create the DFU and integrate the model into our hospital structure.
The treatment of DF patients does not end with an adequate revascularization of the limb; the complexity of healing the ulcers and achieving efficient walking, along with the high rate of reulceration, make it necessary to provide specialized podiatric care, which has been demonstrated vital in the management of this pathology.
The relationship between DF complications and poor control of cardiovascular risk factors is known. Striking data in our population include the high percentages of patients with hypertension, dyslipidemia, ischemic heart disease, and retinopathy. These data give us an idea of the medical complexity of these patients, and the subsequent difficulty in carrying out complete follow-up in all study patients, which is reflected in some incomplete data in our results. One of the most important factors in the development of this pathology is the time of exposure to the disease. The mean time of evolution of DM is >16 years in our patient population. We cannot ignore the poor general control of glycemia and the low cultural level of the study population, which are recognized risk factors in the diabetic patient.19
Another fact that indicates the complexity of the treated population is the high number of patients with a history of ulceration and/or previous amputation (half of the patients). The greatest risk factor for the appearance of an ulcer in the foot is a history of previous ulceration, so these patients have the highest level of risk (category 3) according to the International Working Group on the Diabetic Foot.11
One-fifth of the patients had previous history of revascularization in the lower limbs. In fact, 70% of the patients associated some degree of ischemia. This high percentage has its logic because the unit is built in a vascular department. The presence of concomitant ischemia and ulcerated foot is associated with a worse rate of healing, a higher rate of amputation, and a higher mortality than non-ischemic patients.20 Ischemia is the worst prognostic factor in this pathology, which is associated with greater clinical severity and comorbidity.21
It has long been known that the prognostic factors of an ulcer are its depth, the presence of infection, and the association of ischemia. The UT staging system is validated for this purpose, classifying the lesions according to their depth and the presence or absence of the aforementioned aggravating factors, assigning a prognosis to the limb.17 More than 70% of the ulcers treated in our series were classified as types C (associated ischemia) and D (ischemia + infection) in the UT scale, which is another indicator of the great complexity of our study population.
Despite the complexity of our patients, the healing rate obtained was 77% (by 84.6 ± 97 days), with an amputation rate of 7.5%. These data are comparable to other published series, but the percentage of ischemic patients in our series is higher. In the EURODIALE study,22 which included multiple European centers, a healing rate of 77% was also obtained at 1-year follow-up, with an amputation percentage >8%; however, the percentage of ischemic patients was 49%, which is much lower than in the present patient population.
One of the main challenges of this pathology is the high recurrence rate of ulcers, which can reach 50%-80% after 5 years if proper care is not followed. Our reulceration rate was 35% at 3 years, a result comparable to those described by other authors in series that presented a lower percentage of ischemic patients.23-25 In any case, we consider that this percentage is still high and should be improved. In part, it could be explained by the complexity of our population and the low adherence to the treatment.
The mortality rate was 5.9% (17 patients) at 3 years of follow-up, which we consider low when compared with other studies, although our follow-up is shorter in duration.22 It is demonstrated that patients who undergo follow-up through the DFU improve morbidity rate and their life expectancy. In 2008, Young et al published the results of 5-year mortality in patients undergoing follow-up in a specialized DFU and cardiovascular risk control compared with patients with the same characteristics who did not undergo follow-up supervision in the DFU, obtaining a mortality rate of 27% and 48%, respectively.26
The results obtained in our DFU-UHFA are comparable to those described in the literature, especially if we consider the large number of ischemic patients with such a high level of comorbidities. These results justify the creation of the DFU based on the “toe and flow” model.
Unfortunately, we do not have patient follow-up data prior to the implementation of the DFU; therefore, we cannot compare our before and after results, but our results are similar to those described in other DFUs.
The toe and flow model based on a vascular surgery department is due to the reasoning that the vascular surgeon is the most experienced specialist in the treatment of the most devastating complication of this syndrome, ie, ischemia. Likewise, this experience is extensive in the implementation of minor and major amputations, such as complex debridement of the infected foot, and other coadjuvant techniques that will facilitate the reconstruction and final healing of the process. This association between vascular surgeon and specialized DF podiatrist16 manages all the tools that the complete treatment of a patient suffering from DF needs:
(a) Prevention and screening (Specialized Podiatrist).
(b) Gait analysis and biomechanical follow-up (Specialized Podiatrist).
(c) Management of temporal and definitive off-loading therapy as well as the prescription of specialized footwear (Specialized Podiatrist).
(d) Vascular evaluation and revascularization (Vascular Surgeon).
(e) Surgical debridement and drainage of complex infection (Specialized Podiatrist and Vascular Surgeon).
(f) Postoperative follow-up of the high-risk foot (Specialized Podiatrist and Vascular Surgeon).
(g) Long-term follow-up of vascular reconstruction (Vascular Surgeon).
(h) Prophylactic, curative, and reconstructive foot surgery (Specialized Podiatrist).
(i) Medical management of peripheral arterial disease (Vascular Surgeon).
(j) Local management of diabetic foot ulcer (Specialized Podiatrist and Vascular Surgeon).
To complete this management, we must add the participation, as consultants, of different medical specialties seeking excellent metabolic control of these patients, eg, internists, infectious disease specialists, and endocrinologists.
Currently in Spain, this method of DF management is starting to be implemented in vascular surgery departments with great success, but if we compare ourselves with the countries of our environment, there are still very few specialized centers. It is estimated that only 25% of the Spanish population would have access to a DFU.27 In our country, an important barrier to adherence to a “toe and flow” model is that the participation of the podiatrist is not included in health insurance coverage. This omission is making the implementation of this protocol very difficult. Importantly, this work demonstrates that specialized podiatry care is one of the milestones of successful treatment.
Conclusion
It is necessary to coordinate the different medical specialties and integrate the podiatric specialist into the team. Now, our job is to convince the authorities that investing in this DFU model is cost effective, as demonstrated by many studies published in the medical literature. The healed patient is much less burdensome to the healthcare system than the patient who loses their limb, not to mention the terrible personal, family, and social burden that it represents.
We need to improve DF care, making patients, healthcare providers, and government aware of the real magnitude of this disease. Therefore, the creation of a national network of specialized DF teams should be one of the priorities to fight against the current reliance on amputations.
Funding: Abbott Vascular initially funded the creation of the Diabetic Foot Unit at Vascular Surgery Department, University Hospital Foundation Alcorcón in Madrid, Spain.
Disclosure: The authors have completed and returned the ICMJE Form for Disclosure of Potential Conflicts of Interest. The authors report no conflicts of interest regarding the content herein.
Manuscript accepted July 8, 2021.
Address for correspondence: Sandra Vicente Jiménez, MD, C/Budapest s/n, Alcorcon (Madrid). Email: Svicente@fhalcorcon.com
REFERENCES
1. Wild S, Roglic G, Green A, Sicree R, King H. Global prevalence of diabetes estimates for the year 2000 and projections for 2030. Diabetes Care. 2004;2:1047-1053.
2. Encuesta Nacional de Salud 2006. [citado 15 Enero 2021]. Available at http://www.ine.es/jaxi/menu.do?type=pcaxis&path=/t15/p419&file=inebase&L=0
3. Boulton AJ, Vileikyte L, Ragnarson-Tennvall G, Apelqvist J. The global burden of diabetic foot disease. Lancet. 2005;366:1719-1724.
4. Reiber Ge, LeMaster JW. Epidemiology and economic impact of foot ulcers and amputations in people with diabetes. In: Bowker JH, Pfeifer MA, eds. Levin and O’Neal’s The Diabetic Foot. 7th ed. Philadelphia, PA: Mosby Elsevier; 2008:3-22.
5. Glover JL, Weingarten MS, Buchbinder DS, Poucher RL, Deitrick GA 3rd, Fylling CP. A 4-year outcome-based retrospective study of wound healing and limb salvage in patients with chronic wounds. Adv Wound Care. 1997;10:33-38.
6. Larsson J, Agardh CD, Apelqvist J, Stenstrom A. Long-term prognosis after healed amputation in patients with diabetes. Clin Orthop Relat Res. 1998;350:149-158.
7. Levin ME. Preventing amputation in the patient with diabetes. Diabetes Care. 1995;18:1383-1394.
8. Izumi Y, Satterfield K, Lee S, Harkless LB. Risk of reamputation in diabetic patients stratified by limb and level of amputation: a 10-year observation. Diabetes Care. 2006;29:566-570.
9. Reiber GE, Boyko EJ, Smith DG. Lower extremity foot ulcers and amputations in diabetes. In: Harris MI, ed. Diabetes in America. 2nd ed. Washington, DC: NIDDK;1995:409-427.
10. Sumpio BE, Armstrong DG, Lavery LA, Andros G. The role of interdisciplinary team approach in the management of the diabetic foot: a joint statement from the Society for Vascular Surgery and the American Podiatric Medical Association. J Vasc Surg. 2010;51:1504-1506.
11. Schaper NC, Van Netten JJ, Apelqvist J, et al. Practical guidelines on the prevention and management of diabetic foot disease (IWGDF 2019 update). Diabetes Metab Res Rev. 2020;36(Suppl 1):e3266.
12. Ortegon MM, Redekop WK, Niessen LW. Cost-effectiveness of prevention and treatment of the diabetic foot: a Markov analysis. Diabetes Care. 2004;27:901-907.
13. Van Gils CC, Wheeler LA, Mellstrom M, Brinton EA, Mason S, Wheeler CG. Amputation prevention by vascular surgery and podiatry collaboration in high-risk diabetic and nondiabetic patients. the operation desert foot experience. Diabetes Care. 1999;22:678-683.
14. Krishnan S, Nash F, Baker N, Fowler D, Rayman G. Reduction in diabetic amputations over 11 years in a defined U.K. population: benefits of multidisciplinary team work and continuous prospective audit. Diabetes Care. 2008;31:99-101.
15. Hartemann-Heurtier A, Ha Van G, Danan JP, et al. Outcome of severe diabetic foot ulcers after standardised management in a specialised unit. Diabetes Metab. 2002;28:477-484.
16. Rogers LC, Andros G, Caporusso J, Harkless LB, Mills JL Sr, Armstrong DG. Toe and flow: essential components and structure of the amputation prevention team. J Vasc Surg. 2010;52:23S-27S.
17. Armstrong DG, Lavery LA, Harkless LB. Validation of a diabetic wound classification system. The contribution of depth, infection, and ischemia to risk of amputation. Diabetes Care. 1998;21:855-859.
18. Lavery LA, Armstrong DG, Murdoch DP, Peters EJ, Lipsky BA. Validation of the Infectious Diseases Society of America’s diabetic foot infection classification system. Clin Infect Dis. 2007;44:562-565.
19. Prompers L, Huijberts M, Apelqvist J, et al. High prevalence of ischaemia, infection and serious comorbidity in patients with diabetic foot disease in Europe. Baseline results from the Eurodiale study. Diabetologia. 2007;50:18-25.
20. Nather A, Siok Bee C, Wong KL, et al. Socioeconomic profile of diabetic patients with and without foot problems. Diabet Foot Ankle. 2010;1:5523.
21. Dolan NC, Liu K, Criqui MH, et al. Peripheral artery disease, diabetes and reduced lower extremity functioning. Diabetes Care. 2002; 25:113-120.
22. Prompers L, Schaper N, Apelqvist J, et al. Prediction of outcome in individuals with diabetic foot ulcers: focus on the differences between individuals with and without peripheral arterial disease. The EURODIALE study. Diabetologia. 2008;51:747–755.
23. Edmons MP, Blundell M, Morris E, et al. Improved survival of the diabetic foot: the role of a specialised foot clinic. Q J Med. 1986;60:763-771.
24. Sinacore DR. Managing the diabetic foot. Rehab Manag. 1998;11:60-64.
25. Moulik PK, Mtonga R, Gill GV. Amputation and mortality in new-onset diabetic foot ulcers stratified by etiology. Diabetes Care. 2003;26:491-494.
26. Young MJ, McCardle JE, Randall LE, Barclay JI. Improved survival of diabetic foot ulcer patients 1995-2008: possible impact of aggressive cardiovascular risk management. Diabetes Care. 2008;31:2143-2147.
27. Rubio JA, Aragón-Sánchez J, Lázaro-Martínez JL, et al. Diabetic foot units in Spain: knowing the facts using a questionnaire. Endocrinol Nutr. 2014;61:79-86.


