The Better Treatment Option in Acute Massive Pulmonary Embolism — Comparison of Methods: A Meta-Analysis Strategy
Abstract
Objective. To identify the best therapeutic approach in acute massive pulmonary embolism, we reviewed the literature in order to compare 3 interventional options (endovascular mechanical fragmentation with local thrombolysis, systemic thrombolytic therapy, catheter-directed treatment) in a meta-analysis, reviewing 30-day mortality and significant bleeding. Methods. We analyzed the published trials in patients with acute massive pulmonary embolism treated with endovascular mechanical fragmentation with local thrombolysis, systemic thrombolytic therapy, and catheter-directed treatment. Results. By searching databases, 21 studies were included in the qualitative synthesis (the number of included articles on the levels of evidence Oxford 2011:1/2/3/4/5=6/1/6/6/2: total 21); 11 studies were included in the quantitative synthesis (meta-analysis, the number of included articles on the levels of evidence Oxford 2011:1/2/3/4/5=3/0/4/4/0). All studies, including a pool of 3934 patients, were analyzed (86 patients in the group endovascular mechanical frag-mentation with local thrombolysis; 1289 patients in the group systemic thrombolytic therapy; 2559 patients in the group catheter-directed treatment). The results demonstrate significant differences in 30-day mortality between systemic thrombolytic therapy vs endovascular mechanical fragmentation with local thrombolysis. In contrast, endovascular mechanical fragmentation with local thrombolysis vs catheter-directed treatment did not show significant differences. Conclusion. According to the criterion "early 30-day mortality", the pooled hazard ratio indicates significant benefit in the group endovascular mechanical fragmentation with local thrombolysis (P=.04), and according to the criterion "significant (major or intra-cranial) bleeding", the group endovascular mechanical fragmentation with local thrombolysis is preferable (P=.05).
VASCULAR DISEASE MANAGEMENT 2020;17(3):E72-E84
Key words: Endovascular mechanical fragmentation, pulmonary embolism, catheter-directed treatment
Introduction
Acute pulmonary embolism (PE) is a life-threatening disease with an estimated mortality ranging between 7 and 15%.1,2 In patients who present with acute massive PE, the 3-month mortality is 50%.2 Thrombolytic therapy is currently only recommended for patients with high-risk (or massive) PE, in absence of systemic arterial hypotension (systolic blood pressure <90 mmHg or a systolic drop ≥40 mmHg for >15 min). The maximum benefit for thrombolytic therapy has been observed when treatment is administered shortly after diagnosis.1 However, systemic thrombolysis carries an estimated 20% risk of major hemorrhage, including a 3 to 5% risk of hemorrhagic stroke.2 In comparison with anticoagulation alone, systemic thrombolysis is associated with an excess risk of major bleeding (9.2 vs 3.4%) and intracranial bleeding (2%).2 Catheter-directed treatment (CDT) has been suggested as a valid therapeutic alternative. In particular, CDT has been proposed in the latest European Society of Cardiology (ESC) guidelines on acute PE as rescue therapy when systemic thrombolysis has failed or is contraindicated.1 In fact, there is limited data supporting the use of CDT in massive and submassive PE for patients in whom systemic thrombolysis has either failed or is contraindicated.2,3
Pulmonary perfusion is restored by thrombolytic treatment of acute PE quicker than with the use of anticoagulation alone. Thrombolysis is associated with a reduction in mortality or recurrent PE in high-risk patients who present with hemodynamic instability. In patients with mobile right heart thrombi, the therapeutic benefits of thrombolysis remain controversial. The following approaches are suggested as alternative options:
(1) Local, catheter-delivered ultrasound-assisted thrombolysis using small doses of a thrombolytic agent;
(2) Embolectomy before hemodynamic collapse.
For patients with absolute contraindications to thrombolysis, CDT is recommended. CDT includes:
(1) Thrombus fragmentation with a pigtail/balloon catheter;
(2) Rheolytic thrombectomy with hydrodynamic catheter devices;
(3) Suction thrombectomy with aspiration catheters;
(4) Rotational thrombectomy.
For patients without absolute contraindications to thrombolysis, the use of CDT pharmaco-mechanical thrombolysis is the preferred approach. Major complications of CDT are death from worsening right ventricle (RV) failure, distal embolization, pulmonary artery perforation with lung hemorrhage, systemic bleeding, pericardial tamponade, heart block or bradycardia, hemolysis, contrast-induced nephropathy, and puncture-related complications. Patients having an episode of acute PE superimposed on long-lasting dyspnea and pulmonary hypertension are likely to suffer from chronic thromboembolic pulmonary hypertension. These patients should be transferred to an expert center for pulmonary endarterectomy.4
In the latest ESC guidelines, CDT has been proposed as rescue therapy for acute PE when systemic thrombolysis has failed or was contraindicated. In patients with hemodynamic instability (systolic blood pressure <90 mmHg or a systolic drop ≥40 mmHg for >15 min), available CDT must be administered as early as possible, which can include:
(1) Aspiration thrombectomy using manual, sustained suction with a large syringe;
(2) Ultrasound-accelerated thrombolysis;
(3) Rheolytic thrombectomy (hydrodynamic thrombectomy);
(4) Rotational embolectomy combined with catheter-directed thrombolysis;
(5) Catheter-directed thrombolysis (lower doses of the thrombolytic agent are used);
(6) Thrombus fragmentation (mechanical disruption of the thrombus into smaller fragments with also local thrombolysis).1,5-20
The 2014 ESC guidelines do not name a single reference method that should be used as a first-line therapy if there is evidence for percutaneous CDT. We recently published our own experience on this problem.21 We hypothesized that the method of endovascular mechanical fragmentation with local thrombolysis (EMFLT) could be the method of choice if there is evidence for percutaneous CDT. For verification of this hypothesis, our meta-analysis compares EMFLT vs systemic thrombolytic therapy (STT) vs CDT for the prevention of mortality and bleeding in patients with acute massive PE.
Material and Methods
Criteria for Considering Studies for This Review
In performing this meta-analysis, we stratified the main findings in terms of levels of evidence (Table 1, Appendix) and consolidated the results. All randomized clinical trials (RCT) and non-RCTs of individuals with acute massive PE (without duration or language restrictions) were included. Adults (>18 years) with acute massive PE were observed. Endovascular mechanical fragmentation with local thrombolysis (EMFLT), systemic thrombolytic therapy (STT), and catheter-directed treatment (CDT) were evaluated. Primary outcomes were in-hospital 30-day mortality and significant (major or intracranial) bleeding.
Search Methods for Identification of Studies
Two authors (EL and VS) conducted systematic searches in the following databases for any trials without language restrictions: Cochrane library (searched February 15, 2018); PubMed (searched February 16, 2018); ClinicalTrials.gov (www.clinicaltrials.gov, searched February 15, 2018). Two authors (EL and VS) modelled subject strategies for databases on the search strategy designed for MEDLINE. We checked the bibliographies of included studies and any relevant systematic reviews were identified for further references to relevant trials. Two authors (EL and VS) independently screened titles and abstracts, and retained studies and reviews that might include relevant data or information on trials. Studies that were not applicable were excluded. The same authors (EL and VS) independently assessed retrieved abstracts, and, if necessary, the full text of these studies, in order to determine which studies satisfied the inclusion criteria. Two authors (EL and VS) independently carried out data extraction using a standard electronic data extraction form, and independently assessed the quality for each study. The level of evidence for each study was heuristically assessed with the Oxford Centre for Evidence-Based Medicine 2011 Levels of Evidence (LoE) on a scale of 1 to 5.22 Level 1 evidence is derived from systematic reviews and/or meta-analyses; level 2 from random-ized trials; level 3 from nonrandomized, controlled cohort or follow-up studies with a sufficient duration of follow-up; level 4 from case series, case-control studies, or historically controlled studies; level 5 from a mechanism-based reasoning expert. Each included study was classified according to this schema.23 Each study was reviewed for quality using the Oxford Centre for Evidence-Based Medicine 2011 Levels of Evidence and assessed for its findings.
Two authors (VS and EL) independently assessed the following items using the ’risk of bias’ assessment tool (Table 2, Appendix). To determine measures of treatment effect, HR with 95% confidence intervals (CI) was calculated from relevant publications. For the assessment of heterogeneity, the I² statistic was used.24 I² values of 25%, 50%, and 75% were considered to correspond to low, medium, and high levels of heterogeneity. To assess reporting biases, funnel plots were constructed.25
All analyses were performed with Review Manager 5.3.5 (RevMan 5.3.5, Nordic Cochrane Center, Copenhagen, Denmark). The meta-analysis was performed with the construction of forest plots. We applied the generic inverse variance method to sum the calculated data. We performed subgroup analyses to explore possible sources of heterogeneity. If applicable, we planned sensitivity analyses to explore the influence of the following factors on effect size: repeating the analysis excluding any LoE(4).
Results
We systematically searched PubMed/Medline, Cochrane library, registries, and database results of publicly and privately supported clinical studies of human participants conducted around the world (ClinicalTrials.gov) for relevant studies with keyword search terms including: (endovascular[ti] OR fragmentation[ti]) AND (pulmonary[ti] AND embolism[ti]). We also searched reference lists of selected articles and conference proceedings for relevant citations. We screened ClinicalTrials.gov to ensure identification of relevant ongoing studies (Figure 1). Through searching databases, 21 studies were included in the qualitative synthesis (the number of included articles on the levels of evidence Oxford 2011:1/2/3/4/5=6/1/6/6/2: total 21); 11 studies were included in the quantitative synthesis (meta-analysis, the number of included articles on the levels of evidence Oxford 2011:1/2/3/4/5=3/0/4/4/0). In our research, 3934 patients were included (86 patients were in the EMFLT group; 1289 patients formed the STT group; 2559 patients were in the CDT group). The main conclusions based on the best evidence from studies included in the meta-analysis are presented in Table 3 (Appendix).
Meta-Analysis
EMFLT vs control STT group.
Heterogeneity (I2) was 1% in the sample with 86 patients in the EMFLT group and 1289 patients in the control STT group (Figure 2). The clinical outcome “in-hospital 30-day mortality” was determined (hazard ratio [HR] 0.36 [95 confidence interval 0.14-0.97]). There was significant difference between compared groups (P=.04). The pooled HR indicates significant favoring of the EMFLT group. A funnel plot of comparison was built: no evidence of publication bias was determined. I2 was 0% in the sample with 86 patients in EMFLT group and 1289 patients in control STT group (Figure 3). Clinical outcome “significant (major or intracranial) bleeding” was determined (HR 2.03[0.56-7.40]). There was no significant difference between compared groups (P=.28). A funnel plot of comparison was modeled: no evidence of publication bias was determined.
EMFLT vs control CDT group.
I2 was 0% in the sample with 86 patients in EMFLT group and 2559 patients in the control CDT group (Figure 4). Clinical outcome “in-hospital 30-day mortality” was determined (HR 1.89[0.70-5.06]). There was no significant difference between compared groups (P=.21). Funnel plot of comparison was constructed: there was no evidence of publication bias. I2 was 0% in the sample with 86 patients in EMFLT group and 2559 patients in control CDT group (Figure 5). Clinical outcome “significant (major or intracranial) bleeding” was carried out (HR 0.24[0.06-0.99]). There was significant difference between compared groups (P=.05). HR indicates significant favoring for the EMFLT group. Funnel plot of comparison was built: no evidence of publication bias was observed.
All included reports were assessed for risk of bias for outcomes. All 7 reports (100%) were considered to be at low risk of bias.
Bayesian Network Meta-Analysis
WinBUGS (the MS Windows operating system version of BUGS: Bayesian analysis Using Gibbs Sam-pling) was used to evaluate outcomes “in-hospital 30-day mortality” and “significant (major or intracranial) bleeding”, respectively. Forest plots, league tables, rankograms, and the surface under the cumulative ranking curve (SUCRA) were generated as the presentation of meta-analysis results. SUCRA would be 100% when a treatment is certain to be the best and 0% when the treatment is certain to be the worst. To evaluate the safety of the interventions under analysis, we generated SUCRA values for each outcome:
1. Outcome “in-hospital 30-day mortality” for EMFLT/CDT/STT was 0.93/0.55/0.02, respectively (Figure 6).
2. Outcome “significant (major or intracranial) bleeding” for EMFLT/CDT/STT was 0.88/0.58/0.04, respectively (Figure 7).
In network meta-analysis, the heterogeneity between studies of each pairwise treatment comparison can also be analyzed using forest plots. The forest plots illustrating outcomes “in-hospital 30-day mortality” for EMFLT/CDT/STT and “significant (major or intracranial) bleeding” for EMFLT/CDT/STT are presented in Figures 8 and 9, respectively.
In addition, league tables were generated to summarize all possible pairwise comparisons between the interventions. The league tables arrange the presentation of summary estimates by ranking the treatments in order of most pronounced impact on the outcome under consideration, based on SUCRA. The top left of the diagonal of the league table was associated with the most favorable SUCRA for outcome reduction, while the bottom right of the diagonal of the league table was associated with the least favorable results.
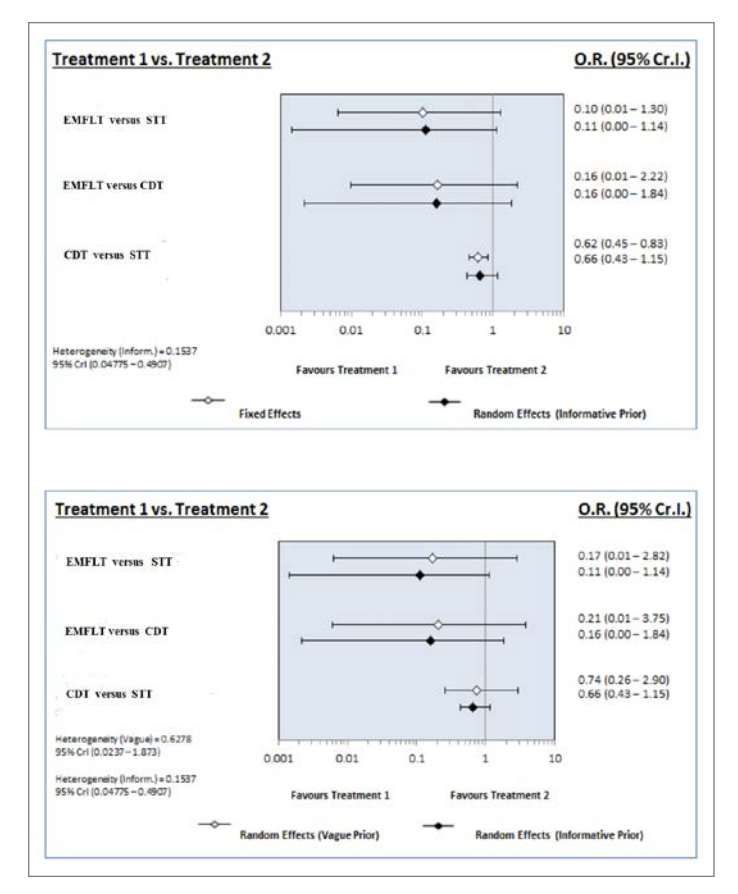
For outcome “in-hospital 30-day mortality”, EMFLT compared with CDT is associated with an odds ratio (OR) 0.16(0.01–2.22), suggesting it is trending towards superiority to CDT, whereas CDT vs STT is associated with OR 0.62(0.45–0.83) (Figure 10).
For outcome “significant (major or intracranial) bleeding”, EMFLT compared with CDT is associated with OR 0.39(0.01–3.54), suggesting it is trending towards superiority to CDT, whereas CDT vs STT is associated with OR 0.48(0.20–1.03) (Figure 11).
In rankograms, as the result of meta-analysis, each treatment is ranked first, second, and so on for a particular outcome (Figures 6-7).
Discussion
In the latest ESC guidelines and recent publications, there are no strict recommendations regarding methods of primary reperfusion (CDT or STT) as the first-line treatment of patients with massive PE. The main findings of the present study comparing EMFLT vs STT and EMFLT vs CDT are as follows. According to the criterion “early 30-day mortality”, the pooled HR indicates significant favoring of the EMFLT group (P=.04), and according to the criterion “significant (major or intracranial) bleeding”, EMFLT is preferable (P=.05).
The primary limitations are represented by the data obtainable from the included studies. As studies included in the meta-analysis were mainly focused on small populations, a meta-analysis with direct comparison was not possible; we thus decided to perform a meta-analysis using indirect comparison. We believed it to be a good option, as a meta-analysis with indirect comparison is utilized to evaluate the magnitude of treatment effects across studies, recognizing the limited strength of inference.5 Moreover, because all the included studies had a low risk of bias, we felt that bias would not have a major impact on our results. Points of strength of this meta-analysis are represented by a systematic search and risk of bias assessment completed independently by two authors, according to current methodological standards.
Summary of Main Results
We know that in patients with acute massive PE, when systemic thrombolysis is contraindicated or has failed in high-risk patients with hemodynamic instability (systolic blood pressure <90 mmHg or a systolic drop ≥40 mmHg for >15 min), catheter-directed treatment (CDT) has been proposed4 as rescue therapy and an available type of CDT must be administered as early as possible.
The main findings of our meta-analysis are the following:
• STT did not reduce HR of in-hospital 30-day mortality compared with EMFLT;
• EMFLT compared with all CDT has the same HR for in-hospital 30-day mortality and significantly lower HR for the criterion “significant (major or intracranial) bleeding” in patients with acute massive PE.
Potential Biases in the Review Process
Points of strength of this review are a systematic search of electronic databases, data extraction, analysis and risk of bias assessment completed independently by two authors, according to current methodological standards. The main limitation is that the data obtainable from the included studies are nonrandomized.
Agreements/Disagreements With Other Studies or Reviews
The authors confirmed the current lack of evidence supporting a widespread use of procedure EMFLT in clinical practice, advocating for future clinical trials with a longer observational period.
Conclusions
We found useful information concerning the development and improvement of endovascular devices that are used actively in area thrombus defragmentation, while at the same time preventing distal advancement of the small fragment(s). Such devices must provide auxiliary blood circulation through the area of the clot, until there is an active mixing of the fragmented parts with a minimum-dose thrombolytic.
Focused trials, powered for patient-centered instead of surrogate outcomes, with longer follow-up periods, larger sample sizes, more standardized procedural methods, and possibly examining particular subgroups of patients with acute massive PE are needed to clarify the optimal target population for this procedure. A study design providing a control procedure and blinded outcome assessors is indispensable for minimizing bias and improving the reliability of findings.
The authors have incorporated new, reliable information2,5,6,7,10,13,14,15,16,21 (not contained in the latest ESC guidelines and recent publications) about the undoubted advantage of one of the methods of treatment of patients with massive PE (ie, EMFLT).
Acknowledgements
We thank Mr. Darren Barlow for editing the grammar and syntax of the manuscript of this report. We thank the three peer reviewers and academic editor for their input in helping to improve the manuscript.
Disclosure: The authors report no conflicts of interest regarding the content herein. This research received no specific grant from any funding agency in the public, commercial, or not-for-profit sectors.
Contributions: Professor Karpenko formulated the idea of the study and helped design the study. Professor Lenko helped design the study, conducted the study, collected the data, analyzed the data, and prepared the manuscript. Dr Starodubtsev helped to conduct the study, collected the data, and prepared the manuscript. Dr Rigla helped to conduct the study and prepared the manuscript.
Manuscript submitted July 15, 2019, final version accepted December 12, 2019.
Address for correspondence: Vladimir Starodubtsev, Siberian Federal Biomedical Research Center, Ministry for Public Health, Rechkunovskaya str., 15, Novosibirsk, 630055, Russian Federation. Email: starodub@mail.ru
REFERENCES
1. Zuin M, Roncon L. Systemic thrombolysis in acute pulmonary embolism: also a matter of “time”. J Thromb Thrombolysis. 2017 Feb;43(2);279-282.
2. Mostafa A, Briasoulis A, Telila T, et al. Treatment of massive or submassive acute pulmonary embolism with catheter-directed thrombolysis. Am J Cardiol. 2016 Mar 15;117(6);1014-1020.
3. Guo J, Gu Y, Guo L, et al. AngioJet rheolytic thrombectomy combined with catheter fragmentation in a patient presenting with massive pulmonary embolism and cardiogenic shock. Technol Health Care. 2017;25(1);157-161.
4. Konstantinides SV, Torbicki A, Agnelli G, et al. Task Force for the Diagnosis and Management of Acute Pulmonary Embolism of the European Society of Cardiology (ESC). 2014 ESC guidelines on the diagnosis and management of acute pulmonary embolism. Eur Heart J. 2014 Nov 14;35(43);3033-3069.
5. Bloomer TL, El-Hayek GE, McDaniel MC, et al. Safety of catheter-directed thrombolysis for massive and submassive pulmonary embolism: results of a multicenter registry and meta-analysis. Catheter Cardiovasc Interv. 2017 Mar 1;89(4):754-760.
6. Lou BH, Wang LH, Chen Y. A meta-analysis of efficacy and safety of catheter-directed interventions in submassive pulmonary embolism. Eur Rev Med Pharmacol Sci. 2017 Jan;21(1);184-198.
7. Bajaj NS, Kalra R, Arora P, et al. Catheter-directed treatment for acute pulmonary embolism: system-atic review and single-arm meta-analyses. Int J Cardiol. 2016 Dec 15;225;128-139.
8. Kuo WT, Gould MK, Louie JD, et al. Catheter-directed therapy for the treatment of massive pulmonary embolism: Systematic Review and meta-analysis of modern techniques. J Vasc Interv Radiol. 2009 Nov;20(11);1431-1440.
9. Kucher N, Boekstegers P, Müller OJ, et al. Randomized, controlled trial of ultrasound-assisted catheter-directed thrombolysis for acute intermediate-risk pulmonary embolism. Circulation. 2014 Jan 28;129(4);479-486.
10. Patel N, Patel NJ, Agnihotri K, et al. Utilization of catheter-directed thrombolysis in pulmonary embolism and outcome difference between systemic thrombolysis and catheter-directed thrombolysis. Catheter Cardiovasc Interv. 2015 Dec 1;86(7);1219-1227.
11. Gao H, Huang GY, Ma LL, Wang LX. Combined catheter thrombus fragmentation and fibrinolysis for acute pulmonary embolism. Intern Med J. 2011 Sep;41(9);687-691.
12. Barbosa MA, Oliveira DC, Barbosa AT, et al. Treatment of massive pulmonary embolism by percutaneous fragmentation of the thrombus. Arq Bras Cardiol. 2007 Mar;88(3);279-284.
13. Kuo WT, Banerjee A, Kim PS, et al. Pulmonary embolism response to fragmentation, embolectomy, and catheter thrombolysis (PERFECT): initial results from a prospective multicenter registry. Chest. 2015 Sep;148(3);667-673.
14. Piazza G, Hohlfelder B, Jaff MR, et al; SEATTLE II investigators. A prospective, single-arm, multi-center trial of ultrasound-facilitated, catheter-directed, low-dose fibrinolysis for acute massive and sub-massive pulmonary embolism: the SEATTLE II study. JACC Cardiovasc Interv. 2015 Aug 24;8(10);1382-1392.
15. Fowler J, D’Auria S, Althouse A, et al. TCT-779 Catheter-directed thrombolysis vs. systemic thrombolysis in acute PE: a single center experience. J Am Coll Cardiol. 2016 Nov 1;68(18S);B315.
16. Yoo JW, Choi HC, Lee SJ, et al. Comparison between systemic and catheter thrombolysis in patients with pulmonary embolism. Am J Emerg Med. 2016 Jun;34(6);985-988.
17. Eid-Lidt G, Gaspar J, Sandoval J, et al. Combined clot fragmentation and aspiration in patients with acute pulmonary embolism. Chest. 2008 Jul;134(1);54-60.
18. Kuo WT, van den Bosch MA, Hofmann LV, et al. Catheter-directed embolectomy, fragmentation, and thrombolysis for the treatment of massive pulmonary embolism after failure of systemic thrombolysis. Chest. 2008 Aug;134(2);250-254.
19. Fuller TJ, Paprzycki CM, Zubair MH, et al. Initial experiences with endovascular management of submassive pulmonary embolism: is it safe? Ann Vasc Surg. 2017 Jan;38;158-163.
20. Kasper W, Konstantinides S, Geibel A, et al. Management strategies and determinants of outcome in acute major pulmonary embolism: results of a multicenter registry. J Am Coll Cardiol. 1997 Nov 1;30(5);1165-1171.
21. Klevanets J, Starodubtsev V, Ignatenko P, et al. Systemic thrombolytic therapy and catheter-directed fragmentation with local thrombolytic therapy in patients with pulmonary embolism. Ann Vasc Surg. 2017 Nov;45;98-105.
22. OCEBM Levels of Evidence Working Group. The Oxford Levels of Evidence 2. May 1, 2016. Oxford Centre for Evidence-Based Medicine. Available online at https://www.cebm.net/index.aspx?o=5653. Accessed April 10, 2020.
23. Howick J, Chalmers I, Glasziou P, et al. The 2011 Oxford CEBM Levels of Evidence (Introductory/ Background Document). Oxford Centre for Evidence-Based Medicine. Available online at https://www.cebm.net/2011/06/2011-oxford-cebm-levels-evidence-introductory-document/. Accessed April 10, 2020.
24. Higgins JP, Thompson SG, Deeks JJ, Altman DG. Measuring inconsistency in meta-analyses. BMJ. 2003;327;557-560.
25. Higgins JPT, Green S, eds. Cochrane Handbook for Systematic Reviews of Interventions. Version 5.1.0. [updated March 2011]. Available online at https://handbook-5-1.cochrane.org/. Accessed April 10, 2020.
26. Pulmonary Embolism Response to Fragmentation, Embolectomy, & Catheter Thrombolysis: PERFECT. ClinicalTrials.gov. Available online at https://ClinicalTrials.gov/show/NCT01097928. Accessed April 10, 2020.
27. Long Term Study Looking at the Effects of Treating Submassive Pulmonary Embolism With Ultrasound Accelerated Thrombolysis (SPEAR). ClinicalTrials.gov. Available online at https://ClinicalTrials.gov/show/NCT01899339. Accessed April 10, 2020.
28. Submassive Pulmonary Embolism Experience With EKOS (SPEEK). Clinical Trials.gov. Available online at https://ClinicalTrials.gov/show/NCT02926742. Accessed April 10, 2020.


