Alteration of Biomechanical Properties of Skin During the Course of Healing of Partial-thickness Wounds
Abstract
The incidence of partial-thickness wounds is high and, until recently, little was known about the alteration of the biomechanical properties of the skin in these wounds during the course of healing. The aim of this study was to demonstrate the biomechanical changes in skin elasticity. Materials and Methods. Fourteen standardized skin defects were created on the back of fourteen adult male Lewis rats (Charles River Laboratories International, Inc, Wilmington, MA) using a skin dermatome. Biomechanical properties of the skin were determined every 10 days over a period of 3 months using a skin elasticity measurement device (Cutometer MPA 580, Courage and Khazaka, Cologne, Germany). Calculated elasticity (UE), firmness of skin (R0), and overall elasticity (R8) were assessed. In addition, histological evaluation was performed in regard to quality of skin. Results. After an initial decrease of UE, R0, and R8 until 30 days after surgery, the values of R0 and R8 increased between day 50 and day 60. Starting on day 60, a further decrease of values was indicated. Conclusion. The alteration of biomechanical properties of skin is a function of tissue structure. The presented results demonstrate the complex changes of skin biomechanical properties in the course of healing of partial-thickness wounds. This study could serve as a model to compare the effectiveness of different wound dressings in regard to skin elasticity.
Introduction
Acute trauma, burn injuries, and chronic diseases often lead to skin defects. Partial-thickness skin defects play an important role in wound management because of their high incidence. These wounds are commonly treated with a broad range of wound dressings1-6 that protect the wound from further damage, promote healing, improve functional and aesthetic outcomes, and reduce hospitalization time and medical costs.7 Wound dressings imitate important features of natural skin, such as the releasing of water vapor, acting as a microbial barrier, and providing elasticity8 to accelerate epithelialization and wound healing while avoiding dehydration of the wounds. Every type of wound, whether acute, chronic, dry, or moist, requires a specific kind of dressing.9 Synthetic as well as biological substances, such as collagen, are used for wound coverage.10 The choice of the best wound dressing is still challenging and an objective determination of the outcomes is difficult.
Skin elasticity and skin plasticity are indicators for biological age of skin. Changes in biomechanical properties of skin may be due to trauma, ultraviolet light, mechanical and chemical strain, nicotine, alcohol, genetic predispositions, diseases, and others. Stiff and clustered networks of collagen and elastic fibers may influence skin quality.11 Many factors may influence wound healing, and thus also influence the quality of newly formed skin. The authors think choice of wound dressing is a major factor that influences skin quality. In this context, the aim of the present study was to demonstrate the process of changes in biomechanical properties of skin during the course of healing of partial-thickness wounds.
Materials and Methods
Animals. Fourteen adult male Lewis rats (Charles River Laboratories International, Inc, Wilmington, MA), with an initial mean body weight of 280 g ± 12 g, were used for this study. Experiments were carried out after approval from the local animal care committee in Tuebingen, Germany.
Surgery. Surgery was performed under narcosis, using a secure anesthesia, which requires a single intraperitoneal injection of a combination of fentanyl (0.005 mg/kg bw, Ratiopharm, Ulm, Germany), medetomidine (0.15 mg/kg, Albrecht GmbH, Aulendorf, Germany), and midazolam (2 mg/kg, Ratiopharm, Ulm, Germany).12 The back of each animal was shaved carefully with a shearing machine (Aesculap Favorita II, B. Braun, Suhl, Germany). One partial-thickness wound was created on the back of each rat in a standardized manner using a skin dermatome.13 All of the harvested grafts were 2 cm x 2.5 cm (0.79 in x 0.98 in) and the depth was set to 0.3 mm (0.01 inches). Thus, the skin samples contained the epidermis and the papillary dermis. All wounds remained untreated and were covered with paraffin gauze dressing and sterile foil for 10 days to prevent contamination.
Measuring apparatus. Biomechanical properties of skin (skin elasticity) were determined using the Cutometer MPA 580 (Courage and Khazaka, Cologne, Germany),14 a trusted device in dermatology and cosmetology for the measurement of skin elasticity. The device measures elasticity of the upper skin layer using negative pressure, which deforms the skin mechanically and is based on the suction method. It consists of a main unit and a hand held probe with a suction head of 6 mm. Negative pressure is created in the suction head and the skin is drawn into the aperture. Inside the suction head the penetration depth of skin is determined by a non-contact optical system (light source and light receptor). The resistance of skin to the negative pressure is measured as firmness of skin (R0); its ability to return into its original position is measured as overall elasticity (R8). The results are displayed as a real time curve (penetration depth in mm/time) during measurement.
For the measurements in the current study, the time-strain mode (Modus 1) was used with an application of 300 mbar load for 3 seconds (ie, on-time) followed by a relaxation time of another 3 seconds (ie, off-time). For skin elasticity analyses, 2 directly measured parameters (R0 and R8) and 1 calculated parameter (calculated elasticity [UE]) were considered. The R0 parameter represents the passive behavior of the skin to force. Lower values represent higher firmness. The R8 parameter represents complete relaxation of the skin after the pressure is cut off. With an approximation towards 0, elasticity increases. The UE parameter is not displayed numerically by the device and therefore needs to be calculated ([R7 x R0]/R5). This represents the first part of the curve and is considered as the elastic component, the thickness of skin, and skin rigidity.
Measurements were performed by the same investigator and under the same environmental conditions after 10, 20, 30, 40, 50, 60, 70, and 84 days. As a reference value, untreated skin beside the wound was also measured.
Statistical Analysis
The Mann-Whitney U test was used to compare values for statistical analysis. Statistical significance was set at 5% (P ≤ 0.05). Analysis was performed with SPSS software version 20.0 (IBM, Armonk, NY) to compare healthy and wounded skin.
Histological Evaluation. Biopsies for histological evaluation were taken 84 days after generation of wounds. Five paraffin-fixed slides, each 1 µm-thick, were prepared and stained with hematoxylin and eosin. Epidermal thickness (from stratum basale to stratum corneum) and the total amount of epidermal cells within a section of 100 µm width in the center of the former wound were evaluated using ZEN 2011 software (Carl Zeiss AG, Jena, Germany).
Results
Within the experimental period of 84 days, complete wound healing could be detected at the macroscopic level for all wounds.
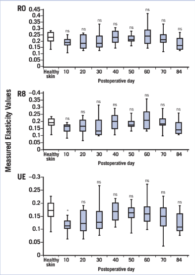
Skin elasticity. Measurement of skin elasticity parameters were performed every 10 days from day 10 to day 70, with additional measurements taken on day 84. Compared to healthy skin, UE, R0, and R8 showed an initial decrease of elastic parameters 10 days after surgery. This trend continued until day 30. Between days 30 to 40, and days 50 to 60, values of R0 and R8 increased and almost reached values of untreated healthy skin. Starting on day 60, a further decrease in values was indicated. The calculated UE demonstrated a continuous decrease of value starting at day 40.
Compared to healthy skin, statistically significant differences were observed only on day 10 for UE (P < 0.05). Figure 1 presents the changes of skin elasticity in regard to R0, R8, and UE in the course of healing of the wounds. (Figure 2)

Figure 1. A visual demonstration of the changes of biomechanical properties of skin in the course of healing of partial-thickness wounds from day 10 to day 84. Firmness of skin(R0), overall elasticity (R8), and calculated elasticity (UE)were assumed to be the most representative values for skin elasticity.*statistically significant change sns: no statistically significant changes compared to healthy skin.

Figure 2. A visual demonstration of the elasticity measurement device skin deformation-time curve with an application of 450mbar load for 3 seconds (ie, on-time) followed by a relaxation time of another 3 seconds (ie, off-time). For this measurement, the time-strain mode (Modus 1) and a measuring probe with an aperture of 6 mm were used. Calculated elasticity (UE), firmness of skin (R0), and overall elasticity (R8) were generally assumed to be the most representative values for skin elasticity.
Compared to healthy skin, at the last measurement taken 84 days after treatment, skin elasticity was lower in treated wounds.
Histology. The histological evaluation of skin 84 days after injury showed complete wound healing and wound epithelialization in all wounds. Untreated, healthy skin demonstrated a median epidermal thickness of 22.19 µm (± 8.46 µm) and untreated wounds of 9.52 µm (± 7.66 µm). Untreated, healthy skin demonstrated a median epidermal cell count of 56.5 cells/100 µm (± 21.5) whereas untreated wounds had a median epidermal cell count of 26 cells/100 µm (± 11).
Compared to healthy skin, statistical analysis displayed significant differences (P ≤ 0.05) for epidermal thickness and epidermal cell count.
Discussion
Wound healing involves the synthesis of tissue such as collagen and elastic fibers, and scar formation. Thus, wound dressing choices and application techniques may influence newly formed tissue and as well as the quality of newly formed skin. The alteration of biomechanical properties of skin is a function of tissue structures. Firmness of skin and UE are dependent on alterations in the ground substance glycosaminoglycan and collagen of the dermis.15 Changes in biomechanical skin properties are well described for scars and keloids.16,17 Also, it is known that cutaneous scarring is dependent upon wound healing time and wound treatment modalities.18 Measuring the biomechanical properties of wounds provides objective data of skin pliability and thus permits an accurate insight of functional outcomes.17,19 However, until recently, little was known about the early changes in skin regeneration in the early course of wound healing when wounds were treated with different dressings. Since measurement of skin elasticity and skin plasticity are indicators for biological age of skin, and different wound dressings consist of different components that influence wound healing, the authors hypothesize that measurement of biomechanical properties of skin lesions may be an indicator for skin quality.
In the present study, skin elasticity parameters in the course of wound healing of untreated partial-thickness wounds by means of the skin elasticity measurement device were evaluated objectively. The results demonstrate the complex changes of biomechanical properties of skin in these wounds and may serve as a baseline to compare different therapeutic strategies in regard to skin elasticity.
Calculated elasticity, R0, and R8 generally were assumed to be the most representative values for skin elasticity analysis.20,21 Calculated elasticity and R0 represent the thickness of skin and skin rigidity. These values are associated with the stretching of elastic and collagen fibers.22,23
In the current study, an initial increase of elastic parameters from day 10 to day 30 was observed. However, statistically significant differences in skin elasticity measurement analysis only were observed on day 10 for the UE parameter. This may reflect the incomplete formation of newly formed epidermis. From day 30 to day 60, R0 and R8 values increased. This may be due to an increasing depth of skin within the scope of wound healing and scar formation.
Wound closure of partial-thickness skin defects is usually completed within 2-3 weeks. A follow-up period of 84 days was chosen to obtain more insight into the complex structural changes of skin in macroscopically healed wounds. However, skin elasticity and an effect on the dermis in terms of scar formation are primarily detected in long-term follow-up as scar formation can take up to 2 years.24,25 Injured epidermal structures influence the dermis and play an important role in scarring. In order to clarify this decrease of elasticity and its potential effect on scar formation, skin elasticity should be evaluated in a longer follow-up study to gain further knowledge regarding the long-term course of changes in skin elasticity.
In correlation with the changes in skin elasticity, statistical analysis displayed significantly thinner epidermis and significantly lower epidermal cell count for untreated wounds 3 months after wounding. As a follow-up study to these results, comparison of different wound dressings would be of high interest.
A variety of wound dressings that have been developed for and applied to the treatment of superficial and partial-thickness wounds.1-3,26 As described in recent work, no statistically significant differences of skin elasticity parameters of partial-thickness wounds treated with different wound dressings could be detected after 3 months.27
Since economic concerns and effectiveness of wound dressings play an important role in the treatment of wounds, the efficacy and cost-effectiveness of the dressings are important issues, as well as the expenses of dressing changes, complications, and the length of hospital stay. These factors should be considered for future study.
Conclusion
Based on the findings of this study, this wound healing model could serve to objectively compare the effectiveness of different wound dressings and wound treatment approaches at different time points in regard to skin elasticity. As rat skin does not closely mimic human skin, additional clinical work should be done in this field. The authors intend to conduct a future study to compare the biomechanical properties of skin for commonly used temporary skin dressings during the course of healing of partial-thickness wounds in a human model.
Acknowledgments
Manuel Held, MD; Jens Rothenberger, MD; Dascha Tolzmann; Wiebke Petersen, MD; Prof. Hans-Eberhard Schaller; Prof. Afshin Rahmanian-Schwarz are from the BG-Trauma Center, Eberhard Karls University, Tuebingen, Germany
Address correspondence to:
Manuel Held, MD
ManuelHeld@hotmail.com
Disclosure: The authors disclose no financial or other conflicts of interest. Funding for this study was provided solely by Eberhard Karls University, Tueingen, Germany.
References
1. Balasubramani M, Kumar TR, Babu M. Skin substitutes: a review. Burns. 2001;27(5):534-544. 2. Sheridan RL, Tompkins RG. Skin substitutes in burns. Burns. 1999;25(2):97-103. 3. Vogt PM, Kolokythas P, Niederbichler A, Knobloch K, Reimers K, Choi CY. Innovative wound therapy and skin substitutes for burns [in German]. Chirurg. 2007;78(4):335-342. 4. Rahmanian-Schwarz A, Beiderwieden A, Willkomm LM, Amr A, Schaller HE, Lotter O. A clinical evaluation of Biobrane and Suprathel in acute burns and reconstructive surgery. Burns. 2011;37(8):1343-1348. 5. Rahmanian-Schwarz A, Held M, Knoeller T, et al. In vivo biocompatibility and biodegradation of a novel thin and mechanically stable collagen scaffold. J Biomed Mater Res A. 2014;102(4):1173-1179. 6. Twohey SM, Mellonig JT, Towle HJ 3rd, Gray JL. Use of a synthetic skin substitute as a physical barrier to enhance healing in human periodontal furcation defects. Int J Periodontics Restorative Dent. 1992;12(5):383-393. 7. Schwarze H, Kuntscher M, Uhlig C, et al. Suprathel, a new skin substitute, in the management of partial-thickness burn wounds: results of a clinical study. Ann Plast Surg. 2008;60(2):181-185. 8. Schwarze H, Kuntscher M, Uhlig C, et al. Suprathel, a new skin substitute, in the management of donor sites of split-thickness skin grafts: results of a clinical study. Burns. 2007;33(7):850-854. 9. Boateng JS, Matthews KH, Stevens HN, Eccleston GM. Wound healing dressings and drug delivery systems: a review. J Pharm Sci. 2008;97(8):2892-2923. 10. Chern PL, Baum CL, Arpey CJ. Biologic dressings: current applications and limitations in dermatologic surgery. Dermatol Surg. 2009;35(6):891-906. 11. Ryu HS, Joo YH, Kim SO, Park KC, Youn SW. Influence of age and regional differences on skin elasticity as measured by the Cutometer. Skin Res Technol. 2008;14(3):354-358. 12. Rahmanian-Schwarz A, Held M, Knoeller T, Amr A, Schaller HE, Jaminet P. The effect of repetitive intraperitoneal anesthesia by application of fentanyl-medetomidine and midazolam in laboratory rats. J Invest Surg. 2012;25(2):123-126. 13. Rahmanian-Schwarz A, Knoeller T, Held M, Amr A, Schaller HE. A new, rapid, standardized method for harvesting split skin grafts in rodents. Plast Reconstr Surg. 127(4):1494-1497. 14. Kim YJ, Kim MY, Lee PK, Kim HO, Park YM. Evaluation of natural change of skin function in split-thickness skin grafts by noninvasive bioengineering methods. Dermatol Surg. 2006;32(11):1358-1363. 15. Takema Y, Yorimoto Y, Kawai M, Imokawa G. Age-related changes in the elastic properties and thickness of human facial skin. Br J Dermatol. 1994;131(5):641-648. 16. Dobrev H. Non-invasive monitoring of the mechanical properties of keloids during cryosurgery. Acta dermato-venereologica. 1999;79(6):487-488. 17. Fong SS, Hung LK, Cheng JC. The cutometer and ultrasonography in the assessment of postburn hypertrophic scar--a preliminary study. Burns. 1997;23(Suppl 1):S12-S18. 18. Converse JM, Robb-Smith AHT. The healing of surface cutaneous wounds: its analogy with the healing of superficial burns. Ann Surg. 1944;120(6):873-885. 19. Rennekampff HO, Rabbels J, Reinhard V, Becker ST, Schaller HE. Comparing the Vancouver Scar Scale with the cutometer in the assessment of donor site wounds treated with various dressings in a randomized trial. J Burn Care Res. 2006;27(3):345-351. 20. Draaijers LJ, Botman YA, Tempelman FR, Kreis RW, Middelkoop E, van Zuijlen PP. Skin elasticity meter or subjective evaluation in scars: a reliability assessment. Burns. 2004;30(2):109-114. 21. van Zuijlen PP, Vloemans JF, van Trier AJ, et al. Dermal substitution in acute burns and reconstructive surgery: a subjective and objective long-term follow-up. Plast Reconstr Surg. 2001;108(7):1938-1946. 22. Edwards C, Marks R. Evaluation of biomechanical properties of human skin. Clin Dermatol. 1995;13(4):375-380. 23. Barel A, Courage W, Clarys P, eds. Suction method for measurement of skin mechanical properties: the Cutometer. In: Serup J, Jemec GBE, eds. Handbook of Non-Invasive Methods and the Skin. Boca Raton, Florida: Informa Healthcare; 1995:335-340. 24. van der Wal MB, Vloemans JF, Tuinebreijer WE, et al. Outcome after burns: an observational study on burn scar maturation and predictors for severe scarring. Wound Repair Regen. 2012;20(5):676-687. 25. Chun Q, Zhiyong W, Fei S, Xiqiao W. Dynamic biological changes in fibroblasts during hypertrophic scar formation and regression. Int Wound J. 2014. doi: 10.1111/iwj.12283. [Epub ahead of print] 26. Sari E, Eryilmaz T, Tetik G, Ozakpinar HR, Eker E. Suprathel -assisted surgical treatment of the hand in a dystrophic epidermolysis bullosa patient. Int Wound J. 2014;11(5):472-475. 27. Rahmanian-Schwarz A, Ndhlovu M, Held M, et al. Evaluation of two commonly used temporary skin dressings for the treatment of acute partial-thickness wounds in rats. Dermatol Surg. 2012;38(6):898-904.



