Catheter Ablation of Focal Atrial Tachycardia Using Remote Magnetic Navigation
Abstract
Objectives. The outcomes of catheter ablation in focal atrial tachycardia (AT) using remote magnetic navigation (RMN) are still controversial. The objectives of this study were to assess the acute and long-term outcomes of catheter ablation in focal AT using RMN. Background. A total of 53 patients with focal AT who underwent catheter ablation using RMN were included. Thirty-six patients had structural heart disease, including previous atrial fibrillation ablation and heart surgery (abnormal group), and the remaining 17 patients had no structural heart disease (normal group). Methods. In 53 patients, a total of 56 atrial foci were found. Acute success of the primary ablation was obtained in 52 patients (98%). Mean procedure duration was 109 ± 35 min, ablation duration was 401 sec (interquartile range [IQR], 332 sec), and fluoroscopy time was 5.0 min (IQR, 3.0 min). After a mean follow-up of 31 ± 18 months, 47 patients (89%) were free from focal AT. No major complications were observed. In the abnormal group, age and target atrium volume were higher and the left ventricular ejection fraction was lower when compared to the normal group. However, there were no significant differences in procedure duration (normal group 106 ± 31 min vs abnormal group 111 ± 37 min); ablation duration (normal group 457 sec [IQR, 412 sec] vs abnormal group 378 sec [IQR, 217 sec]); fluoroscopy time (normal group 4.2 min [IQR, 3.0 min] vs abnormal group 5.4 min [IQR, 3.3 min]); acute success rate (normal group 100% vs abnormal group 97%); and long-term success rate (normal group 88% vs abnormal group 89%) between the two groups (P>.05). Conclusion. Our study has demonstrated that catheter ablation of focal AT using RMN is safe and effective, with low fluoroscopy exposure.
Key words: focal atrial tachycardia, remote magnetic navigation, ablation
Focal atrial tachycardia (AT) accounts for 5%-17% of supraventricular tachycardias.1 In 2001, a joint expert working group established the current consensus for the classification of atrial tachycardia (AT) according to the underlying electrophysiological mechanism. In this classification, focal AT was defined as atrial activation originating from a discrete focus, arbitrarily defined as <2 cm in diameter, radiating centrifugally.2 Focal AT may occur in the absence of heart disease, as demonstrated by non-invasive and invasive examination. Focal AT is relatively frequent in young people or children. Focal AT is also seen in diseases such as cardiomyopathy, post heart surgery, post catheter ablation, or in the elderly in the setting of bradycardia-tachycardia syndrome.3,4 Due to the poor short-term and long-term efficacy of pharmacologic therapy, catheter ablation tends to be the first-line treatment.5 Focal AT ablation series have reported acute success rates between 69% and 100%.6 According to previous studies, the radiofrequency ablation procedure of focal AT relies on an accurate mapping of the site of origin. Patients with older ages, other cardiac diseases, and multiple foci have a higher risk of recurrence.7 As the life expectancy of the population, the number of patients referred for cardiac surgery, and catheter ablations of atrial fibrillation (AF) increase, the prevalence of focal AT patients in advanced age having multiple diseases and complex anatomy is also gradually increasing. The occurrences of more complex arrhythmias and anatomical substrates have driven technological advancements that optimize catheter contact and minimize procedural complications. Remote magnetic navigation (RMN) is an advanced adjunctive tool, facilitating the treatment of complex electrophysiology procedures. Numerous publications have evaluated the RMN system. These studies demonstrate an excellent efficacy and safety profile for a variety of arrhythmias as well as for other applications in interventional cardiology.2,8,9 However, limited data describing the radiofrequency ablation of focal AT using RMN are available. The aim of this study was to investigate the value of RMN in focal AT ablation.
Methods
Patient characteristics. In this retrospective observational study, a total of 53 consecutive patients undergoing radiofrequency ablation for focal AT at Rigshospitalet, University of Copenhagen between April 2009 and April 2015 were analyzed. All patients were assessed utilizing clinical examinations, echocardiography, ambulatory electrocardiogram monitoring, and laboratory evaluations. All antiarrhythmic agents were withheld at least five drug half-lives before the procedure. All patients gave informed consent.
Electrophysiological study. A 6 Fr steerable Inquiry catheter (St. Jude Medical, Inc.) and a 5 Fr quadripolar catheter (Medtronic, Inc.) were positioned in the coronary sinus and in the apex of the right ventricle via the left femoral vein, respectively. An open-irrigated, magnetic-ablation Navistar Thermocool-RMT catheter (Biosense Webster, Inc.) was introduced into the target atrial cavity through a straight or SL0 sheath (St. Jude Medical, Inc.) via the right femoral vein. Transseptal puncture was performed under hemodynamic pressure and fluoroscopic monitoring. Surface electrocardiogram (ECG) and endocardial electrograms were continuously monitored and recorded. Stable tachycardia or frequent atrial ectopic beats were required to commence mapping. If there was no spontaneous ectopic atrial activity, atrial pacing maneuvers and isoproterenol infusion were performed in an attempt to induce the tachycardia. The following criteria were used to confirm the diagnosis of AT:10 (1) tachycardia induction and maintenance independent of atrioventricular (AV) nodal conduction or presence of anterograde AV block during tachycardia; (2) inability to advance atrial activation by ventricular premature beats delivered during tachycardia at a time of His bundle refractoriness; and (3) electrogram sequence immediately after ventricular paced beats showing an “atrial-atrial-ventricular” pattern. RMN-guided ablation is the preferred technique for focal AT ablation in our center. No procedure of focal AT ablation was performed manually during the period.
RMN system and mapping. The ablation catheter was connected with the CARTO RMT system (Biosense Webster, Inc.), the RMN Niobe II system, and starting in 2011, the RMN Niobe ES system (Stereotaxis, Inc.) and the EP-recording system to perform mapping and ablation. RMN controlled the direction of the catheter tip. The QuikCAS catheter-advancing system (Stereotaxis, Inc.) was used to control remote catheter advancement and retraction. The CARTO system transferred real-time catheter tip location to the screen. The Odyssey solution system (Stereotaxis, Inc.) unified the display of the CARTO RMT system, EP-recording system and x-ray. Once the AT was induced, activation mapping was performed for the differential diagnosis of focal AT and macroreentrant AT. If the AT was localized to the right atrium (RA), an RA map alone was created. If the chamber of origin was in question, separate activation maps of the RA, the left atrium (LA), and in some cases the coronary sinus, were created. Focal AT was characterized by atrial activation originating in a small area (focus) from which it was conducting centrifugally. Precise localization was achieved through detailed mapping of the relevant area; therefore, a complete detailed map of the entire target atrium was not necessary. Generally, an activation time of >20 ms before the onset of the P’-wave was observed at successful sites. If the onset of the P’-wave was difficult to define, the activation time was measured from the onset of the local electrogram to a stable intracardiac fiducial point, such as the CS ostium, with a known relationship to the P’-wave onset.
Radiofrequency catheter ablation for focal AT using RMN system. Radiofrequency catheter ablation was performed at the earliest site recorded by the ablation catheter local electrogram during focal AT. Radiofrequency energy was delivered in the temperature-control mode, with a target tip temperature of <45°. During the ablation, power output was limited between 30-40 W and an irrigation rate of 10 mL/min. If the focus was close to the His bundle or within the coronary sinus, output was limited to 15-25 W. If the tachycardia was not affected within the first 20 sec, energy delivery was discontinued; otherwise, 60-120 sec of radiofrequency energy was delivered. Acute procedural success was defined as normal sinus rhythm and non-inducibility of the focal AT after ablation despite infusion of isoproterenol (heart rate up to 120 beats/min) and burst atrial pacing.
Follow-up. All patients were routinely evaluated in the outpatient clinic, by their local cardiologist, 2-3 months after discharge. Twelve-lead ECGs, event recordings, or Holter recordings were performed in patients with symptomatic palpitations. Recurrence was defined as symptomatic and/or asymptomatic episodes of AT(s) confirmed by ECG, event recorder, or Holter recordings. Long-term success was defined as a lack of electrocardiographically evident AT. A second procedure was recommended if symptomatic recurrence was documented.
Complications. Complications were divided into two categories: major and minor. Major complications consisted of acute myocardial infarction, stroke, major bleeding, cardiac tamponade, and atrial-esophageal fistula. Minor complications included pericarditis and inguinal hematoma.
Statistical analysis. Normally distributed continuous variables are expressed as mean ± standard deviation and skewed continuous variables as median (interquartile range [IQR]). Categorical variables are presented as percentages. Patients were divided into two groups according to whether they had structural heart disease or not. The patients in the normal group had no structural heart disease and had preserved left ventricular ejection fraction (LVEF) with a normal LA diameter. The remainder of the patients (the abnormal group) had structural heart disease. Other ways of grouping, including age and location of foci, were also analyzed. An unpaired Student’s t-test or non-parameter test was used to compare the continuous variables between the two groups. Categorical data were analyzed using Chi-square test or Fisher’s exact test. For the long-term outcomes, survival functions were estimated by Kaplan-Meier analysis. To estimate the robustness of the results, multivariate analysis with logistic regression was used to control the effect of other factors, such as gender, arrhythmic types, multiple foci, and left ventricular ejection fraction <50%. A P<.05 was considered statistically significant. Parameters obtained from the registry were analyzed using SPSS 19.0. For the purpose of analysis, multiple procedures within the same patient were assumed to be independent. In such cases, only the period after the last procedure was assessed for freedom from arrhythmia.
Results
Baseline patient characteristics. The baseline patient characteristics are listed in Table 1 (normal, n = 17; abnormal, n = 36). In the abnormal group, a total of 5 patients had undergone previous heart surgery, 1 with Ebstein’s anomaly with surgical correction, 1 with an atrial septal defect closure, 1 with a ventricular septal defect closure, 1 with a patent ductus arteriosus closure, and 1 patient had undergone coronary artery bypass graft surgery. Six patients were previously ablated for AF. Two of them had paroxysmal AF and the other 4 had persistent AF. Of the remaining patients, 12 were affected by hypertensive cardiomyopathy, 8 by coronary artery disease, 2 by dilated cardiomyopathy, 1 by arrhythmogenic right ventricular cardiomyopathy, 1 by muscular dystrophy cardiomyopathy, and 1 by cardiac sarcoidosis. Seventeen patients presented with ventricular dysfunction (LVEF <50%) in the abnormal group.
Characteristics of ablation procedures. Procedure data, including mean total procedure duration (calculated from puncture to introducer withdrawal), ablation duration (calculated from mapping conclusion to last time ablation finished), fluoroscopy time, and radiation dose are listed in Table 2. For the entire study populations, mean total procedure duration was 109 ± 35 min, ablation duration was 401 sec (IQR, 332 sec), and fluoroscopy time was 5.0 min (IQR, 3.0 min). For the normal group, mean total procedure duration was 106 ± 31 min, ablation duration was 457 sec (IQR, 412 sec), and fluoroscopy time was 4.2 min (IQR, 3.0 min). For the abnormal group, mean total procedure duration was 111 ± 37 min, ablation duration 378 sec (IQR, 217 sec), and fluoroscopy time was 5.4 min (IQR, 3.3 min). For the RA procedures, fluoroscopy time was 3.6 min (IQR, 3.0 min) and fluoroscopy dose was 2.6 Gy•cm2 (IQR, 2.5 Gy•cm2). For the LA procedures, fluoroscopy time was 6.2 min (IQR, 5.0 min) (P=.01 compared with RA procedures) and fluoroscopy dose was 5.9 Gy•cm2 (IQR, 5.0 Gy•cm2) (P=.01 compared with RA procedures). No major complications were related to the procedures. Three minor complications were all groin hematomas.
Location of foci and ablation target points. A total of 56 foci were identified and the characteristics of these foci in different patients are listed in Table 3. Among the 53 patients, 3 patients had 2 foci and all of them were in the abnormal group. In the normal group, foci in the RA were localized at the crista terminalis in 3 patients, at the tricuspid annulus in 2 patients, and the CS in 1 patient. The foci in the LA were in the pulmonary veins in 4 patients, at the mitral annulus in 2 patients, in the appendage in 3 patients, and in the septum in 2 patients. In the abnormal group, 39 foci were found; 19 of the foci were located in the RA. Ten originated from the crista terminalis, 1 from the CS, 2 from the para-Hisian area, 1 from the superior cava vena, 2 near the tricuspid annulus, 2 from the right appendage, and 1 near the surgical incision scar. Twenty of the foci were located in the LA. Six were localized in the pulmonary veins, 4 near the mitral annulus, 3 within the left appendage, and 7 at the left septum.
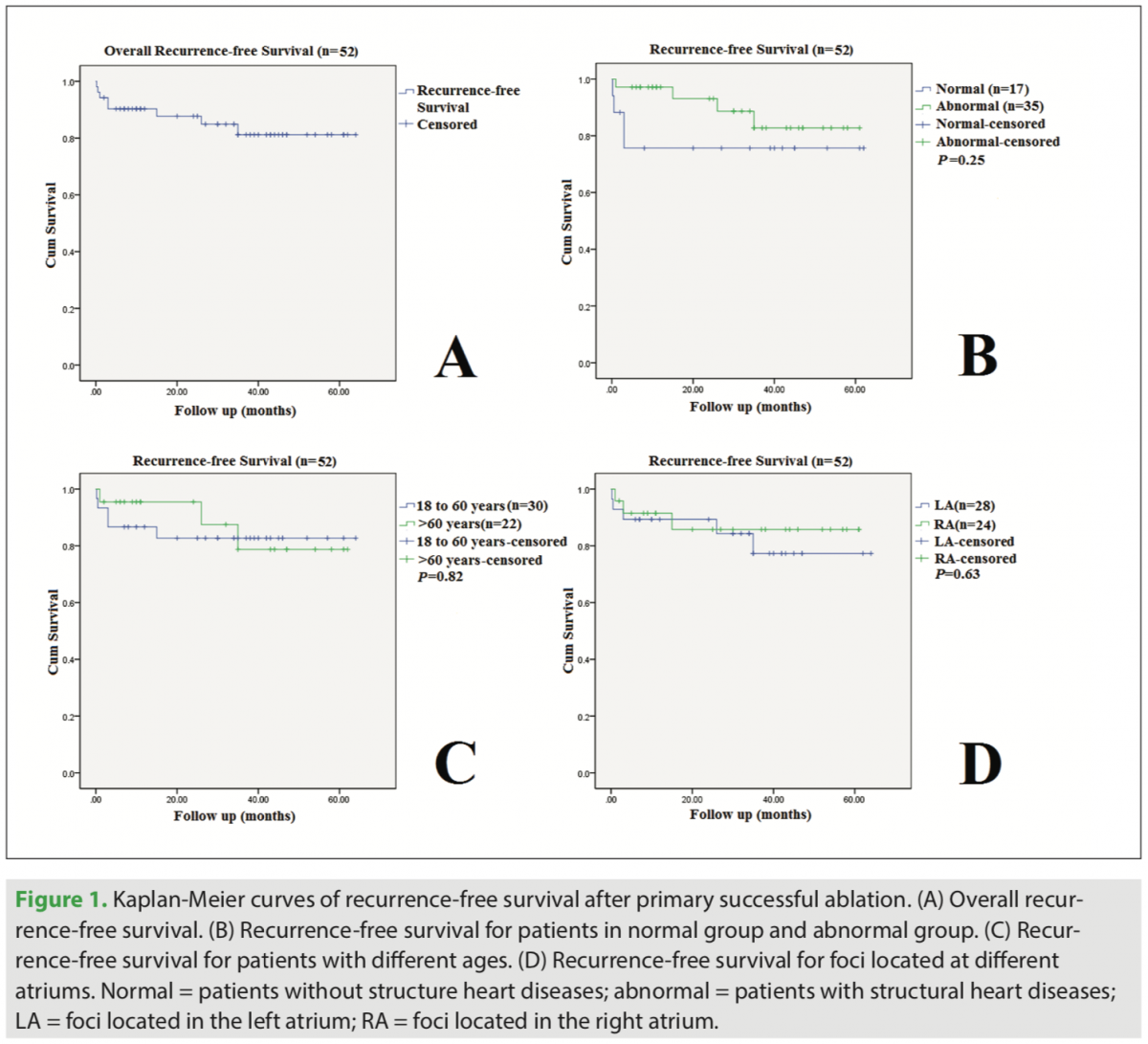
Acute results and long-term follow-up. Acute results and long-term follow-up are presented in Table 4 and Figure 1. Overall, acute ablation success was achieved in 52/53 patients (55/56 foci). After a mean follow-up of 31 ± 18 months, long-term success was achieved in 47/53 patients (50/56 foci). In the normal group, all patients had acute success. Four patients in the normal group had recurrence of arrhythmias, and 2 of them had a repeat ablation. Patients with repeat ablation had both acute and long-term success. In the abnormal group, 1 patient had a failed ablation. In the failed case, the “earliest activation point” could not be found, but a small earliest activation area appeared. The earliest activation area was located at the RA near the crista terminalis. The earliest potential of radiofrequency catheter in this area was only 10 msec before the onset of the P’-wave. This focal AT could not be ablated endocardially. It suggested the focus was located at the epicardial surface. However, this patient refused to be ablated epicardially. Four patients in the abnormal group had a recurrence of arrhythmias. One of them had a repeat ablation; this patient had both acute and long-term success. All repeat procedures found that the recurrence focal AT was in the same location. The 6 patients without freedom from focal AT were treated with antiarrhythmic drugs. In the normal group, patients with no recurrence stopped taking all antiarrhythmic drugs. In the abnormal group, some patients used beta-blocker for the treatment of primary heart diseases.
Effects of age (age 18-60 years were termed “young” and age >60 years were termed “old”) and focus location (in the RA or LA) on acute success, recurrence, and long-term success were analyzed. Comparisons of Kaplan-Meier curves for recurrence-free survival between the two age groups are shown in Figure 1. Acute success was achieved in 30/30 young patients and in 22/23 old patients. Long-term success was achieved in 27/30 young patients and in 20/23 old patients. There were 5 recurrences during follow-up in young patients and 3 in old patients. Comparisons of Kaplan-Meier curves for recurrence-free survival between the two location groups are also shown in Figure 1. Acute success was achieved in 25/25 of the right-sided foci and in 30/31 of the left-sided foci. Long-term success could be achieved in 23/25 of the right-sided foci and in 27/32 of the left-sided foci. There were 5 recurrences during follow-up in left-sided foci and 3 in right-sided foci.
Multivariate analysis with logistic regression. Age, gender, right-sided location, paroxysmal type, multiple foci, and LVEF <50% were used for multivariate analysis with logistic regression. None of the parameters were associated with AT recurrence after initial successful radiofrequency catheter ablation.
Discussion
Main findings. To the best of our knowledge, this is the first study focusing on catheter ablation using an RMN system for focal AT. In this study, our main findings are as follows. First, focal AT ablation using RMN was found to be safe and to provide a high acute success rate with a good long-term outcome. Second, the exposure of fluoroscopy was low. Third, the impact of unfavorable factors such as old age, structural heart disease, and complex anatomy were handled successfully with RMN. Fourth, RMN ablation was efficient in treating these complex cases, without an increase of the procedural time or radiation dose. Consequently, we recommend the application of RMN-guided ablation for patients with old age, previous surgery, and/or other structural heart disease.
Comparison to previous studies. Catheter ablation of focal AT is very successful and has become the preferred treatment strategy for symptomatic patients.3 Although the manual-catheter technology based ablation procedure with electroanatomical mapping technique provides a high success rate for the treatment of focal AT, it has limitations that may affect the success of the procedure, such as difficult catheter manipulation resulting in inadequate mapping and inability to reach target sites for ablation, prolonged procedure time, and fluoroscopy exposure.11,12 Previous studies have shown that the RMN system improves safety and favorable outcomes, with low fluoroscopy exposure for the ablation of various arrhythmias.8-10,13 However, these studies analyzed patients with focal AT and patients with other arrhythmias together. To the best of our knowledge, this is the first study showing the results of RMN ablation in a group of patients only with focal AT. According to previous manual ablation studies, the acute success rate varies between 69% and 100% and the long-term success rate varies between 70% and 96%.6,12 In the present study, the acute success rate of focal AT ablation was 98% and the long-term success rate was 89%. Although the use of RMN in our study was not compared to manual navigation, the relatively higher success rate provided conclusive clinical evidence of efficacy for focal AT ablation using RMN. It is well known that ablation using RMN can reduce the exposure to fluoroscopy. However, there are no comparative data available evaluating the fluoroscopy time and radiation dose of RMN ablation over conventional ablation in a consecutive dataset of patients who underwent catheter ablation of focal AT.13 In a recent study, Szegedi et al12 reported a fluoroscopy time of 11 ± 6 min for focal AT ablation with manual use of the CARTO system. Christoph et al14 reported that fluoroscopy-integrated three-dimensional mapping contributed to a dramatic reduction in radiation exposure, and the fluoroscopy time for manual ablation of focal AT was 9.7 ± 1.7 min in their study. In this study, the fluoroscopy time was 5.0 min (IQR, 3.0 min). Although it does not suggest that RMN ablation can reduce the exposure to fluoroscopy, in terms of numerical value, the exposure to fluoroscopy was still relatively low. In addition, our results showed that compared with RA procedures, LA procedures had longer mean fluoroscopy times and higher fluoroscopy doses. It suggested that transseptal puncture is increasing our fluoroscopy time and dose. If the fluoroscopy time and dose of a conventional operation were ignored, the radiation exposure during RMN mapping and ablation may be negligible. Based on data of prior publications, the range of procedure duration of focal AT ablation was from tens of minutes to hundreds of minutes.12,14 The mean procedure duration of our study was 109 ± 35 min. Our results suggest that catheter ablation of focal AT using RMN may not prolong the procedure duration. In addition, no major complications were encountered in our study, which substantiates the safety of RMN ablation.
Clinical implications of our study. A previous study indicated that focal AT located in the RA was the only significant predictor of successful radiofrequency catheter ablation.7 Elderly patients and those with structural heart disease and multiple foci were at increased risk of recurrence.7 It is noteworthy that the prevalence of patients with higher age, multiple diseases, and complex anatomy is gradually increasing.4 The use of RMN has overcome some of the difficulties faced by the electrophysiologist in these patient groups. In previous studies, electrophysiologists attempted to use RMN in patients with complex anatomy; for example, in congenital heart disease patients with various arrhythmia types.15-18 However, these early reports had significant limitations. None of them specifically addressed focal AT, so that limited data described the success rate and no data described the procedural duration and fluoroscopy time in focal AT ablation. They failed to find the advantages of RMN for focal AT ablation.
This study is the first to focus on focal AT ablation using RMN in complex cases. Compared to patients without structural heart disease, the patients with structural heart diseases were older and had larger atrial volumes, more complex anatomy, and worse LV function, which could adversely affect the procedural outcome. However, our data showed that there were no significant differences in acute success rate, long-term follow-up success rate, and re-occurrence rates between the two groups. There were also no significant differences in procedure duration, ablation duration, and x-ray time and dose between the two groups. These findings suggest that there were no increases in fluoroscopy exposure or procedure duration when using RMN in complex cases for focal AT ablation.
In addition, we analyzed acute success rate, long-term follow-up success rate, and re-occurrence rates from other aspects, including age and origin of the foci. These parameters were similar not only in the two age groups, but also between the patients with left- and right-sided foci. These results reflected that RMN offers distinct advantages both for the procedure itself, and for the outcomes when performing complex ablation procedures. Consequently, we believe that RMN ablation may provide precise and stable catheter positioning (Figure 2), a reduction in the incidence of major complications, and a reduction of exposure to fluoroscopy.19,20
Study limitations. There are some important limitations to our study. First, our sample size was small by virtue of its single-center nature. Second, it is important to recognize the heterogeneity in the abnormal group. We could not exclude the possible influences of other clinical characteristics (bias). Conducting this study in several centers would increase the accuracy of the results; however, this might also introduce greater variability in the nature of the ablation procedures.
Reprinted with permission from J Invas Cardiol 2018;30(14):126-132. Epub 2017 Dec 15.
Disclosure: Dr. Liu reports honoraria from the Scientific Research Foundation from Health and Family Planning Commission of Wuxi for the Youth (NO. Q201652). The remaining authors report no conflicts of interest regarding the content herein.
References
- Klersy C, Chimienti M, Marangoni E, Comelli M, Salerno JA. Factors that predict spontaneous remission of ectopic atrial tachycardia. Eur Heart J. 1993;14:1654-1656.
- Saoudi N, Cosío F, Waldo A, et al. Working Group of Arrhythmias of the European of Cardiology and the North American Society of Pacing and Electrophysiology. A classification of atrial flutter and regular atrial tachycardia according to electrophysiological mechanisms and anatomical bases; a statement from a Joint Expert Group from The Working Group of Arrhythmias of the European Society of Cardiology and the North American Society of Pacing and Electrophysiology. Eur Heart J. 2001;22:1162-1182.
- García-Cosío F, Pastor Fuentes A, Núñez Angulo A. Arrhythmias (IV). Clinical approach to atrial tachycardia and atrial flutter from an understanding of the mechanisms. Electrophysiology based on anatomy. Rev Esp Cardiol (Engl Ed). 2012;65:363-375.
- Pap R, Kohári M, Makai A, et al. Surgical technique and the mechanism of atrial tachycardia late after open heart surgery. J Interv Card Electrophysiol. 2012;35:127-135.
- Roberts-Thomson KC, Kistler PM, Kalman JM. Atrial tachycardia: mechanisms, diagnosis, and management. Curr Probl Cardiol. 2005;30:529-573.
- Roberts-Thomson KC, Kistler PM, Kalman JM. Focal atrial tachycardia II: management. Pacing Clin Electrophysiol. 2006;29:769-778.
- Chen SA, Tai CT, Chiang CE, Ding YA, Chang MS. Focal atrial tachycardia: reanalysis of the clinical and electrophysiologic characteristics and prediction of successful radiofrequency ablation. J Cardiovasc Electrophysiol. 1998;9:355-365.
- Wood MA, Orlov M, Ramaswamy K, Haffajee C, Ellenbogen K; Stereotaxis Heart Study Investigators. Remote magnetic versus manual catheter navigation for ablation of supraventricular tachycardias: a randomized, multicenter trial. Pacing Clin Electrophysiol. 2008;31:1313-1321.
- Kim SH, Oh YS, Kim DH, et al. Long-term outcomes of remote magnetic navigation for ablation of supraventricular tachycardias. J Interv Card Electrophysiol. 2015;43:187-192.
- Bauernfeind T, Akca F, Schwagten B, et al. The magnetic navigation system allows safety and high efficacy for ablation of arrhythmias. Europace. 2011;13:1015-1021.
- Kang KT, Etheridge SP, Kantoch MJ, et al. Current management of focal atrial tachycardia in children: a multicenter experience. Circ Arrhythm Electrophysiol. 2014;7:664-670.
- Szegedi N, Zima E, Clemens M, et al. Radiofrequency ablation of focal atrial tachycardia: Benefit of electroanatomical mapping over conventional mapping. Acta Physiol Hung. 2015;102:252-262.
- Kim AM, Turakhia M, Lu J, et al. Impact of remote magnetic catheter navigation on ablation fluoroscopy and procedure time. Pacing Clin Electrophysiol. 2008;31:1399-1404.
- Christoph M, Wunderlich C, Moebius S, et al. Fluoroscopy integrated 3D mapping significantly reduces radiation exposure during ablation for a wide spectrum of cardiac arrhythmias. Europace. 2015;17:928-937.
- Suman-Horduna I, Babu-Narayan SV, Ueda A, et al. Magnetic navigation in adults with atrial isomerism (heterotaxy syndrome) and supraventricular arrhythmias. Europace. 2013;15:877-885.
- Wu J, Pflaumer A, Deisenhofer I, Hoppmann P, Hess J, Hessling G. Mapping of atrial tachycardia by remote magnetic navigation in postoperative patients with congenital heart disease. J Cardiovasc Electrophysiol. 2010;21:751-759.
- Ueda A, Suman-Horduna I, Mantziari L, et al. Contemporary outcomes of supraventricular tachycardia ablation in congenital heart disease: a single-center experience in 116 patients. Circ Arrhythm Electrophysiol. 2013;6:606-613.
- Akca F, Bauernfeind T, Witsenburg M, et al. Acute and long-term outcomes of catheter ablation using remote magnetic navigation in patients with congenital heart disease. Am J Cardiol. 2012;110:409-414.
- Proietti R, Pecoraro V, Di Biase L, et al. Remote magnetic with open-irrigated catheter vs. manual navigation for ablation of atrial fibrillation: a systematic review and meta-analysis. Europace. 2013;15:1241-1248.
- Ernst S, Ouyang F, Linder C, et al. Initial experience with remote catheter ablation using a novel magnetic navigation system: magnetic remote catheter ablation. Circulation. 2004;109:1472-1475.


