Effects of Screening Hemoglobin A1C on Complications in Implant-Based Breast Reconstruction
© 2024 HMP Global. All Rights Reserved.
Any views and opinions expressed are those of the author(s) and/or participants and do not necessarily reflect the views, policy, or position of ePlasty or HMP Global, their employees, and affiliates.
Abstract
Background. Many institutions have implemented universal hemoglobin A1c (HbA1c) screening for all preoperative patients in an effort to reduce rates of surgical complications. However, the usefulness of HbA1c screening for predicting complications after implant-based breast reconstruction has yet to be determined. The purpose of this study was to investigate the predictive value of HbA1c screening on postoperative complications following implant-based breast reconstruction.
Methods. A retrospective cohort study of patients who underwent implant-based breast reconstruction at a single institution was conducted. All patients required an HbA1c screening preoperatively. Patients were categorized into 2 groups: normal HbA1c (<5.7%) or abnormal HbA1c (≥5.7%). The 2 groups were propensity score matched for baseline characteristics and compared for complication rates after the first- and second-stage procedures.
Results. In this study, 203 patients who underwent first-stage breast reconstruction were divided into normal HbA1c (n = 135) and abnormal HbA1c (n = 68) cohorts. A propensity score weighted analysis demonstrated increased risk of incisional dehiscence in the abnormal group (P = .050). Ninety-nine patients who underwent second-stage breast reconstruction were divided into normal HbA1c (n = 55) and abnormal HbA1c (n = 44) cohorts. The abnormal HbA1c group demonstrated marginally higher rates of implant loss (P = .059). Otherwise, no statistically significant differences were noted in rates of surgical site infection, seroma or hematoma formation, or implant rupture.
Conclusions. Patients with abnormal HbA1c on preoperative screening demonstrated higher rates of incisional dehiscence after first-stage breast reconstruction and higher rates of implant loss following second-stage breast reconstruction. Obtaining routine preoperative HbA1c screening should be considered as an adjunct to guide discussions about surgical risk for patients undergoing breast reconstruction.
Introduction
Implant-based reconstruction is the most common type of breast reconstruction performed in the United States.1 Despite its pervasiveness, this treatment modality is associated with high complication rates.2 It is crucial for both patients and plastic surgeons to understand the relative risks of common preexisting conditions in order to guide clinical decision making and to mitigate the probability of these complications. Certain comorbidities, such as obesity, hypertension, diabetes, and tobacco use, have been associated with increased rates of perioperative complications in implant-based breast reconstruction.3,4,5
The American Diabetes Association (ADA) reports 37.7 million (11.3%) Americans have diabetes, and an estimated 38% of adults are considered prediabetic. This prevalence is expected to increase.6,7 Poor glycemic control is linked to increased rates of postoperative complications in various surgical specialties,8-11 whereas appropriate perioperative glycemic control is associated with decreased postoperative infections.12 Additional studies demonstrate that elevated HbA1c is associated with poor wound healing after surgery.13-16 One study demonstrated that for every 1.0% increase in HbA1c, wound surface area healing rates decreased by 0.028 cm2 per day.15
Given the perioperative risks associated with poor glycemic control, many institutions have implemented universal HbA1c screening for all preoperative patients in an effort to reduce rates of surgical complications. The benefits of this screening tool have previously been demonstrated for patients undergoing elective joint replacement surgery.17,18 The rationale for this screening tool is to identify patients with poorly controlled diabetes, intervene before surgery to optimize their medical condition, and thereby limit the risk of higher surgical complication rates. This practice, although risk-reducing, can lead to delays in surgical timing to address patients' glycemic index. Unlike elective surgery patients, breast cancer patients often do not have the luxury of time. Postponing surgery would inevitably delay their care and potentially impact their oncologic outcomes. Certain procedures, such as elective carpal tunnel release, have demonstrated minimal impact of screening HbA1c levels on surgical outcomes. Therefore, the recommendation is to proceed with surgery in patients with elevated HbA1c as the surgical benefits outweigh the low risk of complications.19
The usefulness of HbA1c screening for predicting complications after implant-based breast reconstruction has yet to be determined. The purpose of this study was to investigate the predictive value of HbA1c screening on postoperative complications following implant-based breast reconstruction in order to guide clinical decision making and inform patients of their relative risk of complications.
Methods
An institutional review board–approved retrospective cohort study was conducted on all patients who underwent implant-based breast reconstruction at a single institution between March 2013 and October 2020. Patients were identified using Current Procedural Terminology codes for tissue expander placement in breast reconstruction (19357), replacement of tissue expander with a permanent implant (11970), and removal of an intact breast implant (19328). All patients required a documented preoperative HbA1c within 3 months of surgery, in accordance with institutional policy for all patients undergoing procedures with general anesthesia. A chart review was performed to obtain demographic information, including patient age, body mass index (BMI), and relevant comorbid conditions. Additional variables such as sentinel lymph node biopsy or axillary lymph node dissection performed at the time of surgery, neoadjuvant and/or adjuvant therapies, preoperative HbA1c levels, and postoperative complications were recorded.
Patients who received a preoperative screening HbA1c prior to both stages of implant-based breast reconstruction were included in the study. Patients who only underwent HbA1c screening prior to the first stage of reconstruction (tissue expander placement) but who did not undergo screening prior to the second stage of reconstruction (tissue expander exchange for implant) were excluded from analysis for the secondary implant exchange procedure.
Patients were categorized into 2 groups by HbA1c level in concordance with the ADA as either normal (<5.7%) or abnormal (≥5.7%). Postoperative complications were defined as surgical site infection requiring antibiotic therapy, hematoma formation requiring operative drainage, seroma formation requiring in-office percutaneous drainage, seroma formation requiring operative drainage, dehiscence requiring local wound care, dehiscence requiring operative intervention, exposure of prosthesis, and loss of prosthesis. Postoperative complications were evaluated in relation to HbA1c values obtained prior to both initial tissue expander placement and subsequent exchange operations.
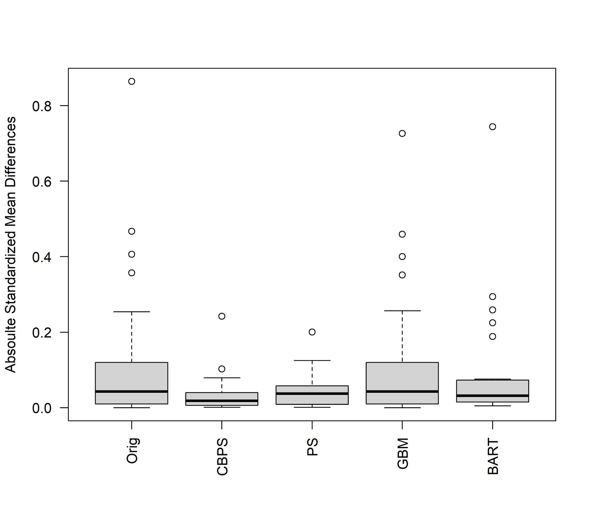
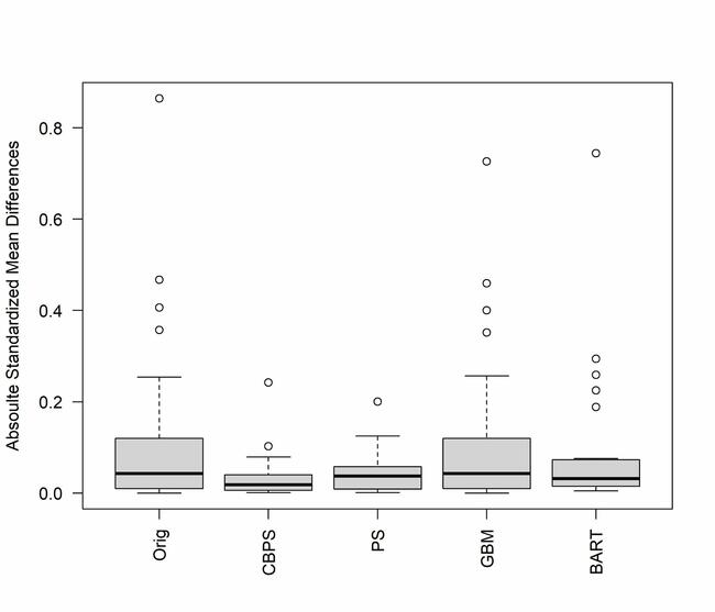
A variety of propensity score weighting methods were used to balance the HbA1c groups with respect to several potentially confounding variables, including patient age, race, weight, BMI, hypertension, smoking status at time of operation, smoking history, sentinel lymph node biopsy, axillary lymph node dissection, laterality, radiation therapy prior to operation, radiation therapy after operation, chemotherapy prior to operation, chemotherapy after operation, and preoperative blood sugar glucose. These methods included propensity score weighting (PS), covariate balancing propensity score weighting (CBPS), propensity score weighting using generalized boosted modeling (GBM), and propensity score weighting using Bayesian additive regression trees (BART). Propensity scores represent the estimated probabilities of patients being in the abnormal vs normal HbA1c groups, conditional upon the set of observed covariates. Side-by-side boxplots were used to compare the original dataset with the weighted datasets for each method. Love plots comparing absolute standardized mean differences (ASMDs) for covariates before and after weighting were used to assess model diagnostics, where an ASMD <0.10 is desirable for all variables after weighting.20,21
Patient demographic and clinical characteristics were evaluated before and after weighting in relation to HbA1c levels during the first stage of reconstruction. Postoperative complications were evaluated after weighting in relation to HbA1c levels after both stages of reconstruction using means, standard deviations, medians, interquartile ranges, ranges for continuous variables, and frequencies and percentages for categorical variables. Associations with HbA1c levels were estimated using 2 sample t tests or Wilcoxon rank-sum tests for continuous variables and chi-square tests or Fisher exact tests for categorical variables, as appropriate.
All statistical analyses were performed using SAS 9.4 (SAS Institute Inc) and R (Version 4.3.1, packages used for weighting [WeightIt, cobalt]). Statistical significance was taken at the P < .05 level and did not account for multiplicity.
Results
A total of 203 patients who underwent first-stage breast reconstruction with placement of tissue expanders were included in the study. These patients were divided into normal HbA1c (n = 135) and abnormal HbA1c (n = 68) cohorts. Of these, 99 patients received a second preoperative screening HbA1c prior to the second-stage surgery and were thus included in the study. Prior to weighting, the 2 groups demonstrated statistically significant differences in patient age, race, BMI, hypertension, history of radiation, and preoperative blood glucose levels (Table 1A). The cohorts were subsequently balanced using a covariate balancing propensity score weighting (CBPS) method (Figure 1), adjusting for baseline differences between the 2 groups. Compared with the original data, absolute standardized mean difference (ASMD) for each covariate was close to 0 for CBPS weighted data, indicating a good balance across the cohorts (Figure 2). After weighting, all covariates that demonstrated statistically significant differences in Table 1A were eliminated (Table 1B). Based on the results described above, we can assume that the impact of the confounding variables was largely reduced using the CBPS weighting method.

Table 1A. Unweighted Patient Demographics

Table 1B. Weighted Patient Demographics

Figure 1. Boxplots comparing weighting methods to original data.

Figure 2. Comparing original data with covariate balancing propensity score (CBPS) weighted data.
Following tissue expander placement, the abnormal HbA1c group demonstrated significantly higher rates of dehiscence requiring local wound care (18.6% in the abnormal group vs 9.0% in the normal group, P = .050). Otherwise, no other statistically significant differences in complication rates were observed between the 2 cohorts (Table 2). Following replacement of the tissue expander with a silicone implant, the abnormal HbA1c group demonstrated marginally significantly higher rates of implant loss (9.7% in the abnormal group vs 1.5% in the normal group, P = .059). Otherwise, no statistically significant differences were noted in rates of incisional dehiscence, surgical site infection, seroma or hematoma formation, implant exposure, or implant rupture (Table 3).

Table 2. Complications Following First-stage Breast Reconstruction, CBPS Weighted

Table 3. Complications Following Second-stage Breast Reconstruction, CBPS Weighted
The optimal cutoff of HbA1c to predict any complication was estimated after tissue expander placement and after tissue expander exchange for permanent implant using receiver operating characteristic (ROC) curves and the Youden Index. For tissue expander placement, the optimal cutoff point for HbA1c is 5.7, which is exactly the cut point used by the ADA to define the normal and abnormal level of HbA1c. For replacement of the tissue expander with a silicone implant, the optimal cutoff point for HbA1c is 5.6.
Discussion
It is imperative for surgeons to understand both modifiable and nonmodifiable risk factors to appropriately counsel patients about their relative surgical risks. It has previously been demonstrated that patients with a diagnosis of diabetes have worse surgical outcomes following implant-based breast reconstruction. Notably, diabetic patients are at increased risk for wound healing problems, surgical site infection, and implant loss, all of which are significant contributing factors to reconstructive failure.22,23 HbA1c serves as a critical marker for long-term glycemic control, reflecting average blood glucose levels over a period of 2 to 3 months. Elevated HbA1c levels are indicative of poorly managed diabetes or impaired glucose metabolism. Previous studies have demonstrated a correlation between higher HbA1c levels and an increased risk of postoperative complications; HbA1c screening has subsequently become a target for preoperative risk assessment and optimization.13-16 Indeed, preadmission HbA1c testing has become the standard of care for patients undergoing total hip and knee arthroplasty. Multiple studies within the orthopedic surgery literature have documented the benefit of universal HbA1c screening to identify patients with undiagnosed diabetes or prediabetes, appropriately counsel patients about their surgical risk, intervene before surgery to optimize their medical condition, and limit the risk of higher surgical complication rates.17-18
This study aimed to investigate the utility of universal preoperative HbA1c screening prior to implant-based breast reconstruction to identify patients with abnormal HbA1c who have not previously been diagnosed as diabetic or prediabetic. This study demonstrated a marginally increased risk of incisional dehiscence requiring local wound care following first-stage breast reconstruction and a marginally increased risk of implant loss following second-stage implant-based breast reconstruction in patients with abnormal screening HbA1c. While these did not reach statistical significance, they may be considered clinically significant. It is likely that the differences in complication rates did not reach statistical significance due to the relatively small sample size of the study population.
It would be optimal to delay surgery until a patient's other health conditions can be optimized. Unlike the elective orthopedic population, however, it is not advisable for breast cancer patients to delay oncologic surgery until their underlying medical conditions can be addressed. While it is certainly possible to delay the first stage of breast reconstruction, this is often not preferred due to increased number of surgeries, increased cost, and patient psychological distress.24,25 Given the increased risk of implant loss following the second-stage procedure but not the first-stage procedure, it may be reasonable to advise patients with abnormal HbA1c to delay second-stage reconstruction until they are able to achieve better glycemic control. This may prolong the total time to a completed breast reconstruction, but it would not adversely impact the patients' oncologic outcomes. This could be done safely, as tissue expanders are designed to be able to stay in place for up to 1.5 years before the risk of rupture significantly increases.26 Certainly, surgical delay for optimization of glycemic control could also be considered for patients undergoing prophylactic risk-reduction mastectomies with simultaneous reconstruction, for whom there is no urgency to their surgery.
Limitations
This study is not without limitations. Notably, this was a single-institution retrospective review with relatively small sample sizes. The study design was inherently susceptible to selection bias due to the nature of retrospective chart review, particularly for patients who elected to undergo reconstructive surgery. Breast cancer patients with significant health conditions such as poorly controlled diabetes may have declined or deferred reconstructive surgery until other health conditions could be optimized, and our study was not designed to capture these patients. The 2 cohorts had significant differences in baseline characteristics including age, BMI, presence of comorbid conditions, and history of radiation therapy. To overcome any potentially confounding variables, the groups were balanced by propensity score weighting models on a number of confounders; however, there may be unobserved confounders that were not considered due to unavailability of data.
Conclusions
Patients with abnormal HbA1c on universal preoperative screening demonstrated higher rates of incisional dehiscence requiring local wound care following first-stage breast reconstruction and higher rates of implant loss following second-stage breast reconstruction. Obtaining routine preoperative HbA1c should be considered as an adjunct to guide discussions about surgical risk for patients undergoing breast reconstruction. Furthermore, it may be beneficial to delay second-stage breast reconstruction in patients with elevated HbA1c until they can be medically optimized to achieve better glycemic control.
Acknowledgments
Authors: Anthony E. Capito MD, FACS1,2; Nikitha Potturi, MD1,2; Christina N. Canzoneri, MD1,2; Matthew A. Applebaum, MD, MBA1,2; Stephanie Hamlin, BS1; Joowon Choi, MD, MBS1,2; Alicia J. Lozano, MS3; Wenyan Ji, MA3; Kurtis E. Moyer, MD, FACS1,2
Affiliations: 1Virginia Tech Carilion School of Medicine, Roanoke, Virginia; 2Department of Surgery, Section of Plastic and Reconstructive Surgery, Carilion Clinic, Roanoke, Virginia; 3Center for Biostatistics and Health Data Science, Department of Statistics, Virginia Tech, Roanoke, Virginia
Correspondence: Nikitha Potturi, MD; npotturi@carilionclinic.org
Meetings/Presentations: Virginia Society of Plastic Surgeons Annual Meeting (Virtual), October 24, 2020; Plastic Surgery The Meeting. Boston, Massachusetts. October 29, 2022.
Sources of Support: Research reported in this publication/presentation/work was supported in part by the National Center for Advancing Translational Sciences of the National Institutes of Health under Award Number UL1TR003015. The content is solely the responsibility of the authors and does not necessarily represent the official views of the National Institutes of Health.
Ethics: This study was approved by Institutional Review Board (# IRB-19-659). This was a retrospective study. All patient information was deidentified, and the study was exempted by the IRB from obtaining informed consent.
Disclosures: The authors disclose no relevant financial or nonfinancial interests.
References
1. Momoh AO, Griffith KA, Hawley ST, et al. Postmastectomy breast reconstruction: exploring plastic surgeon practice patterns and perspectives. Plast Reconstr Surg. 2020;145(4):865-876. doi:10.1097/PRS.0000000000006627
2. Wilkins EG, Hamill JB, Kim HM, et al. Complications in postmastectomy breast reconstruction: one-year outcomes of the mastectomy reconstruction outcomes consortium (MROC) study. Ann Surg. 2018;267(1):164-170. doi:10.1097/SLA.0000000000002033
3. McCarthy CM, Mehrara BJ, Riedel E, et al. Predicting complications following expander/implant breast reconstruction: an outcomes analysis based on preoperative clinical risk. Plast Reconstr Surg. 2008;121(6):1886-1892. doi:10.1097/PRS.0b013e31817151c4
4. Fischer JP, Nelson JA, Serletti JM, et al. Peri-operative risk factors associated with early tissue expander (TE) loss following immediate breast reconstruction (IBR): a review of 9305 patients from the 2005–2010 ACS-NSQIP datasets. Plast Reconstr Surg. 2013;66(11):1504-1512. doi:10.1016/j.bjps.2013.06.030
5. Liu Q, Aggarwal A, Wu M, et al. Impact of diabetes on outcomes in breast reconstruction: a systematic review and meta-analysis. J Plast Reconstr Aesthet Surg. 2022;75(6):1793-1804. doi:10.1016/j.bjps.2022.02.053
6. American Diabetes Association. Understanding A1c and Diagnosis. Accessed June 24, 2022. https://www.diabetes.org/diabetes/a1c/diagnosis
7: Caspard H, Jabbour S, Hammar N, et al. Recent trends in the prevalence of type 2 diabetes and the association with abdominal obesity lead to growing health disparities in the USA: an analysis of the NHANES surveys from 1999 to 2014. Diabetes Obes Metab. 2018;20(3):667-671. doi:10.1111/dom.13143
8: Martin ET, Kaye KS, Knott C, et al. Diabetes and risk of surgical site infection: a systematic review and meta-analysis. Infect Control Hosp Epidemiol. 2016;37(1):88-99. doi:10.1017/ice.2015.249
9: Tarbunou YA, Smith JB, Kruse RL, et al. Outcomes associated with hyperglycemia after abdominal aortic aneurysm repair. J Vasc Surg. 2019;69(3):763-773.e3. doi:10.1016/j.jvs.2018.05.240
10: Ferrari LR. New insulin analogues and insulin delivery devices for the perioperative management of diabetic patients. Curr Opin Anesthesiol. 2008;21(3):401-405. doi:10.1097/aco.0b013e3282faa2f0
11: Gortler H, Rusyn J, Godbout C, et al. Diabetes and healing outcomes in lower extremity fractures: a systematic review. Injury. 2018;49(2):177-183. doi:10.1016/j.injury.2017.11.006
12: Dronge AS, Perkal MF, Kancir S, et al. Long-term glycemic control and postoperative infectious complications. Arch Surg. 2006;141(4):375-380. doi:10.1001/archsurg.141.4.375
13: Cunningham DJ, Baumgartner RE, Federer AE, et al. Elevated preoperative hemoglobin A1c associated with increased wound complications in diabetic patients undergoing primary, open carpal tunnel release. Plast Reconstr Surg. 2019;144(4):632e-638e. doi:10.1097/PRS.0000000000006023
14: Humphers JM, Shibuya N, Fluhman BL, et al. The impact of glycosylated hemoglobin and diabetes mellitus on wound-healing complications and infection after foot and ankle surgery. J Am Podiatr Med Assoc. 2014;104(4):320-329. doi:10.7547/0003-0538-104.4.320
15: Christman AL, Selvin E, Margolis DJ, et al. Hemoglobin A1c predicts healing rate in diabetic wounds. J Invest Dermatol. 2011;131(10):2121-2127. doi:10.1038/jid.2011.176
16: Chen P, Hallock KK, Mulvey CL, Berg AS, Cherian VT. The effect of elevated A1C on immediate postoperative complications: a prospective observational study. Clin Diabetes. 2018;36(2):128-132. doi:10.2337/cd17-0081
17: Shohat N, Goswami K, Tarabichi M, et al. All patients should be screened for diabetes before total joint arthroplasty. J Arthroplasty. 2018;33:2057-2061.
18: Chan VWK, Chan PK, Woo YC, et al. Universal hemoglobin A1c screening reveals high prevalence of dysglycemia in patients undergoing total knee arthroplasty. Hong Kong Med J. 2020;26(4):304-310. doi:10.12809/hkmj208459
19: Collins PS, Apel PJ, Truong AY, et al. The utility of preoperative HbA1c as a standardized protocol in elective carpal tunnel release: a retrospective review of clinical outcomes. Hand (N Y). 2022;17(2):224-230. doi:10.1177/1558944720919181
20. Austin PC. Balance diagnostics for comparing the distribution of baseline covariates between treatment groups in propensity-score matched samples. Stat Med. 2009;28(25):3083-3107. doi:10.1002/sim.3697
21. Austin PC. The performance of different propensity-score methods for estimating differences in proportions (risk differences or absolute risk reductions) in observational studies. Stat Med.2010;29(20):2137-2148. doi:10.1002/sim.3854
22. Centers for Disease Control and Prevention. National Diabetes Statistics Report. Accessed June 24, 2022. https://www.cdc.gov/diabetes/data/statistics-report/index.html
23. Alderman AK, Wilkins EG, Kim HM, et al. Complications in postmastectomy breast reconstruction: two-year results of the Michigan breast reconstruction outcome study. Plast Reconstr Surg. 2022;109(7):2265-2274.
24. Khoo A, Kroll S, Reece G, et al. A comparison of resource costs of immediate and delayed breast reconstruction. Plast Reconstr Surg. 1998;101(4):964-968.
25. Dean C, Chetty U, Forrest APM. Effects of immediate breast reconstruction on psychosocial morbidity after mastectomy. Lancet. 1983; 321(8322):459-462. doi:10.1016/S0140-6736(83)91452-6
26. Fujii T, Yajima R, Kuwano H. Implications of long-term indwelling of tissue expander in breast reconstruction: risk of expander rupturing. Anticancer Res. 2016; 36(8):4337-4340.


