Closed Incision Negative Pressure Therapy Versus Standard of Care Over Closed Abdominal Incisions in the Reduction of Surgical Site Complications: A Systematic Review and Meta-Analysis of Comparative Studies
© 2024 HMP Global. All Rights Reserved.
Any views and opinions expressed are those of the author(s) and/or participants and do not necessarily reflect the views, policy, or position of ePlasty or HMP Global, their employees, and affiliates.
Abstract
Background. Surgical site complications (SSCs) pose a significant risk to patients, potentially leading to severe consequences or even loss of life. While previous research has shown that closed incision negative pressure therapy (ciNPT) can reduce wound complications in various surgical fields, its effectiveness in abdominal incisions remains uncertain. To address this gap, a systematic review and meta-analysis were conducted to assess the impact of ciNPT on postsurgical outcomes and health care utilization in patients undergoing open abdominal surgeries.
Methods. A systematic literature search using PubMed, EMBASE, and QUOSA was performed for publications written in English, comparing ciNPT with standard of care dressings for patients undergoing abdominal surgical procedures between January 2005 and August 2021. Characteristics of study participants, surgical procedures, dressings used, duration of treatment, postsurgical outcomes, and follow-up data were extracted. Meta-analyses were performed using random-effects models. Dichotomous outcomes were summarized using risk ratios and continuous outcomes were assessed using mean differences.
Results. The literature search identified 22 studies for inclusion in the analysis. Significant reductions in relative risk (RR) of SSC (RR: 0.568, P = .003), surgical site infection (SSI) (RR: 0.512, P < .001), superficial SSI (RR: 0.373, P < .001), deep SSI (RR: 0.368, P =.033), and dehiscence (RR: 0.581, P = .042) were associated with ciNPT use. ciNPT use was also associated with a reduced risk of readmission and a 2.6-day reduction in hospital length of stay (P < .001).
Conclusions. These findings indicate that use of ciNPT in patients undergoing open abdominal procedures can help reduce SSCs and associated hospital length of stay as well as readmissions.
A previous version of this abstract was presented at the 2023 Conference of the European Wound Management Association (EWMA) in Milan, Italy and posted online at the site listed below. EWMA permits abstracts to be republished with the complete manuscript.
https://journals.cambridgemedia.com.au/application/files/9116/8920/7316/JWM_Abstracts_LR.pdf
Introduction
Surgical site complications (SSCs) including surgical site infection (SSI), seroma, hematoma, and dehiscence can be serious and even life-threatening for patients and often result in increased health care utilization.1-5 SSCs can lead to delays in wound healing and increases in length of stay (LOS), reoperations, and readmissions, resulting in reduced quality of life for patients.6,7 SSIs are the most common of all health care–acquired infections (HAIs) impacting approximately 2% to 4% of cases in the United States8 and 5% to 20% of cases in other developing countries.9 These complications are also the most costly type of HAI and are associated with an increase in LOS of 2.9 to 54 days and increased costs of approximately $10,000 to $26,000 per SSI in the United States and €3,000 to €47,000 per SSI across Western European nations.10 SSIs are also associated with a 2- to 11-fold increase in the risk of mortality.11-13 Although less common, wound dehiscence, hematomas, and seromas can be detrimental to patient recovery, particularly if the wound separates and exposes the underlying organs.14 Despite great variability in SSI rates by surgery type and anatomical location, infection rates tend to be higher for abdominal procedures, particularly for emergency surgeries or when fecal spillage or manipulation of the bowel occurs.15 Stoma creation and closure cases are also at high risk of infection.15 Even elective colorectal surgeries have high rates of surgical complications.16
Risk factors for incision healing complications include patient characteristics, surgical approach, and presence of trauma.17 Patient comorbidities associated with increased risks of SSCs include diabetes, obesity, malignancies, cardiovascular disease, tobacco use, immunodeficiency syndromes, and malnutrition.18,19 Surgical factors that impact risk of SSCs include incision placement, surgical site contamination, technique, operative time, or estimated blood loss.17 The presence of trauma including soft tissue injury or fracture also increases risk of SSC.18
A variety of strategies have been proposed to minimize wound complications, including prophylactic antibiotics, wound lavage, innovative closure techniques, and use of tissue repair stimulants.20 There is growing evidence demonstrating the effectiveness of negative pressure wound therapy (NPWT), traditionally used for the management of open or chronic wounds, for the management of closed surgical incisions.21,22 Closed incision negative pressure therapy is a form of NPWT where foam dressings are placed over closed incisions and combined with continuous negative pressure to keep the incision edges together, remove infectious materials and fluid, reduce edema, and protect from external contamination.23 There are several ciNPT devices on the market that vary in terms of dressings, negative pressure settings, canisters, and the availability of an alarm to indicate loss of negative pressure. One option (3M Prevena Incision Management System, Solventum Corporation) is a single-use system featuring a replaceable canister that can be used with an assortment of one-piece reticulated open cell foam (ROCF) dressings for various incision lengths and anatomical locations. This system provides continuous negative pressure at -125 mm Hg and is applied in the operating room over the closed incision.
Although several studies have linked ciNPT to reductions in SSCs across a number of surgical disciplines including thoracic, vascular, and orthopedic procedures,22,24 questions remain regarding the effectiveness of ciNPT in abdominal incisions.22 Large randomized controlled trials (RCTs) examining the impact of ciNPT on abdominal surgery are lacking and previous pooled studies have generated inconsistent conclusions, perhaps because some of them have included various ciNPT devices that may differ in effectiveness.25 The objective of this meta-analysis was to assess the effectiveness of one ciNPT device over abdominal incisions in reducing SSCs including SSI (deep and superficial), dehiscence, seroma, and hematoma, as well as health care utilization, including length of LOS and readmissions.
Materials and Methods
This systematic literature review and meta-analysis is a sub-analysis of a previously published study examining the effect of ciNPT (3M Prevena Incision Management System, Solventum Corporation) on postsurgical and health economic outcomes across surgical procedures.26 This sub-analysis only included studies that focused on abdominal procedures. Outcomes included SSCs (surgical site infections, hematoma, seroma, and dehiscence) and health care utilization endpoints (hospital LOS and readmissions). The review conformed to the statement and reporting checklist of the Preferred Reporting Items for Systematic Reviews and Meta-Analyses.27
The methods used for the literature search, data extraction, and statistical analysis have all been described previously.26 In summary, a systematic literature search was conducted to identify manuscripts or abstracts published in English between January 1, 2005, and August 5, 2021 comparing the use of one manufacturer's ciNPT (3M Prevena Incision Management System, Solventum Corporation) over closed abdominal incisions with traditional postoperative dressings or standard of care (SOC) in human, adult patient populations. Two independent reviewers conducted a full-text assessment of the identified articles to determine eligibility for study inclusion. Studies examining the effect of ciNPT use in caesarean sections were excluded as the risk profile for this procedure differs greatly from the other abdominal procedures included in this analysis.
Outcomes data were extracted from the studies deemed eligible for inclusion. The effectiveness of ciNPT compared with SOC for the included outcomes measures was analyzed using random effects models. Differences in outcomes between groups were calculated using weighted risk ratios (RRs) and 95% confidence intervals (CIs) for dichotomous variables and mean differences with 95% CIs for continuous variables reported on the same scale. Data heterogeneity was assessed using I2.
Results
Literature Search
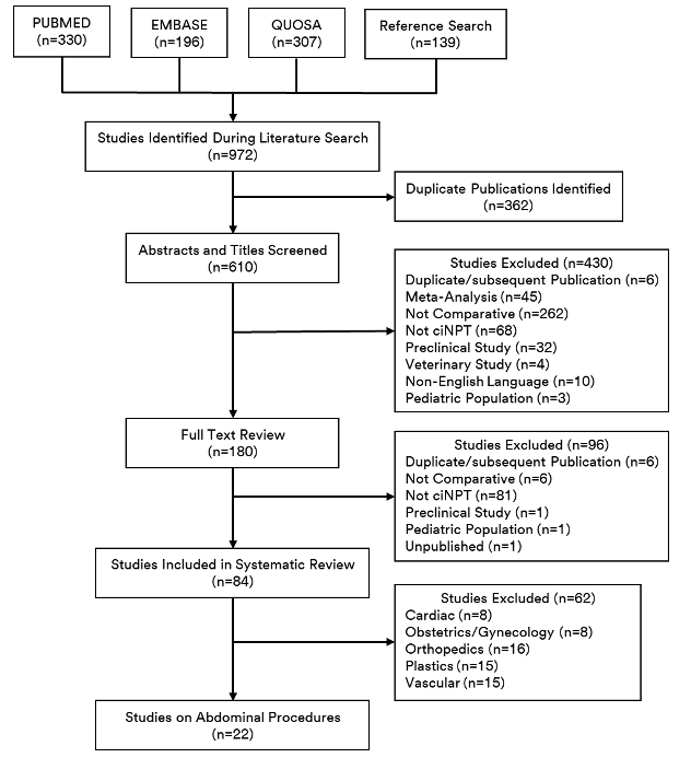
A total of 972 publications were identified during the literature search (Figure 1). After removal of duplicate publications and studies that did not meet inclusion criteria, 84 studies were identified. Of these, 22 were specific to general abdominal surgery including 6 RCTs, 4 prospective studies, and 12 retrospective studies.

Figure 1. Study population inclusion and exclusion criteria.
Study Characteristics
A total of 1586 patients undergoing abdominal surgical procedures receiving ciNPT and 2069 patients receiving SOC across 9 countries were included in the study (Table 1). The countries represented included the United States (n = 7); Australia (n = 3); Spain (n = 3); Germany (n = 2); Canada (n = 2); United Kingdom (n = 2); and Italy, Ireland, and Turkey (n = 1 per country). The included studies focused on a variety of elective and/or emergency abdominal procedures including, laparotomy (n = 11), hernia repair (n = 4), colorectal surgery (n = 3), loop ileostomy reversal (n = 2), abdominal incision repair (n = 1), and pancreaticoduodenectomy (n = 1). All patients in the treatment population received ciNPT from one manufacturer's device (3M Prevena Incision Management System, Solventum Corporation). Patients in the SOC population received standard postsurgical dressings including gauze dressings, antimicrobial hydrofiber dressings, absorbent dressings, hydrocolloid dressings, occlusive dressings, or foam dressings.

Outcomes
Clinical and healthcare utilization outcomes are summarized in Table 2. Eleven studies including a total of 776 and 1035 patients who received ciNPT and traditional dressings, respectively, reported a composite endpoint of SSCs. The relative risk of developing an SSC for patients who received ciNPT was 0.568 (95% CI, 0.393-0.821; P = .003), indicating that ciNPT reduced the risk of an SSC by approximately 43% compared with traditional dressings (Table 2; Figure 2). Statistically significant reductions in risk of SSIs (RR: 0.512; 95% CI, 0.387-0.678; P < .001), superficial SSIs (RR: 0.373; 95% CI, 0.272-0.510; P < .001), deep SSIs (RR: 0.368; 95% CI, 0.146-0.922; P = .033), and dehiscence (RR: 0.581; 95% CI: 0.345-0.979; P = .042) also were observed for patients who received ciNPT (Table 2; Figures 3-6). Across the eight studies that examined seroma (Table 2, Figure 7), 9.9% of the 618 patients who received ciNPT developed seroma compared with 10.9% of the 798 patients who received SOC; however, this difference was not statistically significant (RR: 0.797; 95% CI: 0.514-1.235; P = .310). Incidence of hematoma was low and similar for patients who received ciNPT (1.9%) and SOC (2.3%) across the 6 studies that examined this complication (RR: 1.156; 95% CI: 0.332-4.023; P = .820) (Table 2, Figure 8).

Figure 2. Forest plot of the effect of ciNPT over closed abdominal surgical incisions on risk of surgical site complication.
Figure 3. Forest plot of the effect of ciNPT over closed abdominal surgical incisions on risk of surgical site infection.

Figure 4. Forest plot of the effect of ciNPT over closed abdominal surgical incisions on risk of superficial surgical site infection.

Figure 5. Forest plot of the effect of ciNPT Over Closed Abdominal Surgical Incisions on Risk of Deep Surgical Site Infection

Figure 6. Forest plot of the effect of ciNPT over closed abdominal surgical incisions on risk of dehiscence.

Figure 7. Forest plot of the effect of ciNPT over closed abdominal surgical incisions on risk of of seroma.

Figure 8. Forest plot of the effect of ciNPT over closed abdominal surgical incisions on risk off hematoma.
Seven studies examined the impact of ciNPT on readmission (Table 2, Figure 9) while 8 examined the impact of ciNPT on hospital LOS (Table 2, Figure 10). Approximately 7.1% of the 425 patients who received ciNPT were readmitted compared with 14.5% of the 788 patients who receive SOC (RR: 0.565; 95% CI: 0.359-0.892; P = .014). Hospital LOS was approximately 2.6 days less on average for patients receiving ciNPT compared with patients receiving standard of care (P < .001).

Figure 9. Forest plot of the effect of ciNPT over closed abdominal surgical incisions on readmissions.

Figure 10.Forest plot of the effect of ciNPT over closed abdominal surgical incisions on length of stay.
Discussion
This study is the largest meta-analysis to date examining the impact of ciNPT on SSCs and health utilization outcomes for patients undergoing open abdominal procedures. The findings demonstrate that use of ciNPT is associated with a statistically significant reduction in risk of SSCs including SSIs, superficial SSIs (SSSIs), deep SSIs (DSSIs), and dehiscence as well as reduced readmission rates and hospital LOS. The observed relative risk reductions for SSCs, SSIs, and dehiscence were 43%, 49%, and 42%, respectively, and 63% for both SSSIs and DSSIs. Use of ciNPT was also associated with a relative risk reduction in readmissions of 44% and a 2.6-day reduction in hospital LOS. However, differences in seroma and hematoma rates between the 2 groups were not statistically significant.
This work updates and expands upon several other meta-analyses that have examined the impact of ciNPT use on abdominal surgeries. In a meta-analysis published in 2018 including 30 studies focused on the effect of ciNPT on SSIs, Singh et al found that use of ciNPT was associated with a statistically significant reduction in incidence of SSIs relative to traditional dressings.28 This finding was consistent in the subgroup analyses examining ciNPT usage by anatomical location and across the 6 studies focused on abdominal procedures including diverting loop ileostomy reversal, reoperative colorectal surgery, and laparotomies. In a recent meta-analysis examining the impact of ciNPT on SSIs following laparotomies, Meyer et al found that ciNPT was protective against the incidence of SSI with a risk ratio of 0.53.25 Similarly, in a meta-analysis of 10 studies examining the effect of ciNPT on closed abdominal incisions, Wells et al found that use of ciNPT resulted in statistically significant reductions in overall SSI rates (11.6% vs 16.7%) and superficial SSI rates (6.3% vs 11.3%) but had no impact on deep or organ/space SSI, wound dehiscence, or hospital LOS.22 Unlike our study, the meta-analysis conducted by Wells et al was limited to RCTs and included various ciNPT devices. Also, the included studies focused on caesarean sections or midline laparotomies while our study included a broader group of abdominal procedures.22
Although patients undergoing abdominal procedures typically have a higher risk for SSCs given the nature of these procedures, clinicians should take steps to mitigate the risk. There is growing evidence of the benefits of ciNPT in reducing SSCs, particularly SSIs, across other surgical specialties, and the findings from this meta-analysis suggest that ciNPT can have a substantial impact on SSC reduction for patients undergoing abdominal procedures. Given that SSCs can be detrimental to patients in terms of increased pain and morbidity or even death, the significant reduction in the relative risk of SSCs including SSIs and dehiscence for patients who received ciNPT indicates that use of ciNPT may greatly improve outcomes for some patients. SSCs are also costly to payors and health care systems, often resulting in increased LOS and readmissions. The findings from this study also suggest that use of ciNPT can result in reduced LOS and risk of readmission. While we did not observe a reduction in hematoma and seroma for patients receiving ciNPT, this finding may indicate the effectiveness of ciNPT in preventing fluid accumulation in closed wounds is more concentrated in the superficial layers around a closed incision.22 However, we did observe a significant reduction in DSSIs.
Given the cost of ciNPT devices, questions remain about their cost-benefit. This meta-analysis demonstrates a statistically significant decrease in SSC risk and index LOS for patients undergoing open abdominal procedures who receive ciNPT that can translate into cost savings for payers. Greater savings may be achieved through selective ciNPT application based on defined high-risk criteria for SSCs or SSIs.
Limitations
This study had several limitations. A mix of observational studies and RCTs were included in the analysis. While there are inherent biases in observational studies, they can provide valuable data regarding effectiveness of interventions in real world settings. There were also differences in the reporting of outcome measures across studies. Training on ciNPT use and application of the device may have varied among sites as well as SOC and underlying hospital infection rates, which may have contributed to differences in observed findings across studies. There were also variations in patient populations, types of surgeries, inclusion of elective and/or emergency surgeries, and wound classifications among studies. Risk of SSCs varies greatly by wound class, ranging from 5% for clean-contaminated (class II) to > 30% for dirty sites (class IV);24 however, many of the included studies assessed a range of wound classes but did not report outcomes by wound class, preventing a stratified sub-analysis. Patient selection for ciNPT application has high potential of selection bias based on indication for use,29 which may have impacted the nonrandomized studies. While most of the included studies attempted to control for differences in observed patient characteristics between those who did and did not receive ciNPT, they may not have accounted for underlying differences. In addition, some of the included studies focused on high-risk patient populations for whom ciNPT is currently recommended and could have greater benefit.30
The data assessed in this meta-analysis were from one commercially available ciNPT system. As such, the results reported in this work may not be applicable to other available systems due to device differences including amount of negative pressure, presence of a canister for exudate collection, dressing type, presence of ionic silver within a skin contact layer, alarm system sophistication, and the ability to maintain a consistent negative pressure seal. Surgeons should consider all available data when selecting to use a particular ciNPT device.
Conclusion
Across the various studies included in this meta-analysis, ciNPT was associated with an overall reduction in SSCs, hospital LOS, and readmissions. While the observed relative risk reduction ranged from 42% to 63% across the SSCs with statistically significant decreases in events for patients receiving ciNPT, perhaps a greater reduction would have been observed had the analysis been limited to high-risk patients for whom ciNPT is recommended and could potentially have the greatest benefit. Although the findings of this meta-analysis indicate that ciNPT is beneficial and could potentially result in cost savings for patients undergoing abdominal surgery, additional research is needed to determine optimal use of ciNPT in this population and provide a robust assessment of the cost-effectiveness of the therapy.
Acknowledgements
The authors thank Julie M. Robertson, PhD (Solventum) for assistance with manuscript preparation and editing.
Authors: Christopher Mantyh, MD1; Ronald Silverman, MD2; Ashley Collinsworth, ScD, MPH3; Christine Bongards, PhD3; Leah Griffin, MS3
Affiliations: 1Division of Colorectal Surgery, Duke University Medical Center, Durham, North Carolina; 2University of Maryland School of Medicine, Baltimore, Maryland; 3Solventum, Maplewood, Minnesota
Correspondence: Ashley Collinsworth, ScD, MPH; ACollinsworth@solventum.com
Funding: This research did not receive any specific grant from funding agencies in the public, commercial, or not-for-profit sectors.
Disclosures: Christopher Mantyh, MD, is a paid consultant of Solventum. Ashley Collinsworth, ScD, MPH; Christine Bongards, PhD; and Leah Griffin, MS, are paid employees of Solventum. The authors disclose no other relevant financial or nonfinancial interests.
References
1. Fernandez LG, Matthews MR, Sibaja Alvarez P, Norwood S, Villarreal DH. Closed incision negative pressure therapy: review of the literature. Cureus. 2019;11(7):e5183.
2. Luzzi AJ, Anatone AJ, Lauthen D, Shah RP, Geller JA, Cooper HJ. How much does a surgical site complication cost after Medicare total joint arthroplasty? J Wound Care. 2021;30(11):880-883.
3. Shanmugam VK, Fernandez SJ, Evans KK, et al. Postoperative wound dehiscence: predictors and associations. Wound Repair Regen. 2015;23(2):184-190.
4. Wikkeling M, Mans J, Styche T. Single use negative pressure wound therapy in vascular patients: clinical and economic outcomes. J Wound Care. 2021;30(9):705-710.
5. Masoomi H, Fairchild B, Marques ES. Frequency and predictors of 30-day surgical site complications in autologous breast reconstruction surgery. World J Plast Surg. 2019;8(2):200-207.
6. Tevis SE, Kennedy GD. Postoperative complications and implications on patient-centered outcomes. Journal of Surgical Research. 2013;181(1):106-113.
7. Archer S, Pinto A, Vuik S, et al. Surgery, complications, and quality of life: a longitudinal cohort study exploring the role of psychosocial factors. Ann Surg. 2019;270(1):95-101.
8. Berríos-Torres SI, Umscheid CA, Bratzler DW, et al. Centers for Disease Control and Prevention Guideline for the Prevention of Surgical Site Infection, 2017. JAMA Surg. 2017;152(8):784-791.
9. Gao J, Wang Y, Song J, Li Z, Ren J, Wang P. Negative pressure wound therapy for surgical site infections: A systematic review and meta-analysis. J Adv Nurs. 2021;77(10):3980-3990.
10. Piednoir E, Robert-Yap J, Baillet P, Lermite E, Christou N. The socioeconomic impact of surgical site infections. Front Public Health. 2021;9:712461.
11. Ban KA, Minei JP, Laronga C, Harbrecht BG, Jensen EH, Fry DE, et al. American College of Surgeons and Surgical Infection Society: Surgical Site Infection Guidelines, 2016 Update. J Am Coll Surg. 2017;224(1):59-74.
12. Awad SS. Adherence to surgical care improvement project measures and post-operative surgical site infections. Surg Infect (Larchmt). 2012;13(4):234-237.
13. Centers for Disease Control and Prevention. 2020 National and State Healthcare-Associated Infections Progress Report. 2020.
14. Norman G, Goh EL, Dumville JC, et al. Negative pressure wound therapy for surgical wounds healing by primary closure. Cochrane Database Syst Rev. 2020;6(6):Cd009261.
15. Cantero R, Rubio-Perez I, Leon M, et al. Negative-pressure therapy to reduce the risk of wound infection following diverting loop ileostomy reversal: an initial study. Adv Skin Wound Care. 2016;29(3):114-118.
16. Zaidi A, El-Masry S. Closed-incision negative-pressure therapy in high-risk general surgery patients following laparotomy: a retrospective study. Colorectal Dis. 2017;19(3):283-287.
17. Scalise A, Calamita R, Tartaglione C, et al. Improving wound healing and preventing surgical site complications of closed surgical incisions: a possible role of incisional negative pressure wound therapy. A systematic review of the literature. Int Wound J. 2016;13(6):1260-1281.
18. León Arellano M, Barragán Serrano C, Guedea M, et al. Surgical wound complications after colorectal surgery with single-use negative-pressure wound therapy versus surgical dressing over closed incisions: a randomized controlled trial. Adv Skin Wound Care. 2021;34(12):657-661.
19. Licari L, Campanella S, Carolla C, Viola S, Salamone G. Closed incision negative pressure therapy achieves better outcome than standard wound care: clinical outcome and cost-effectiveness analysis in open ventral hernia repair with synthetic mesh positioning. Cureus. 2020;12(5):e8283.
20. Liu DS, Cheng C, Islam R, et al. Prophylactic negative-pressure dressings reduce wound complications and resource burden after emergency laparotomies. J Surg Res. 2021;257:22-31.
21. Engelhardt M, Rashad NA, Willy C, et al. Closed-incision negative pressure therapy to reduce groin wound infections in vascular surgery: a randomised controlled trial. Int Wound J. 2018;15(3):327-332.
22. Wells CI, Ratnayake CBB, Perrin J, Pandanaboyana S. Prophylactic negative pressure wound therapy in closed abdominal incisions: a meta-analysis of randomised controlled trials. World J Surg. 2019;43(11):2779-2788.
23. Chang B, Sun Z, Peiris P, Huang ES, Benrashid E, Dillavou ED. Deep learning-based risk model for best management of closed groin incisions after vascular surgery. J Surg Res. 2020;254:408-416.
24. Martí MTC, Fernandez-Gonzalez S, Martí MD, Pla MJ, Barahona M, Ponce J. Prophylactic incisional negative pressure wound therapy for gynaecologic malignancies. Int Wound J. 2022;19(2):272-277.
25. Meyer J, Roos E, Abbassi Z, Buchs NC, Ris F, Toso C. Prophylactic negative-pressure wound therapy prevents surgical site infection in abdominal surgery: an updated systematic review and meta-analysis of randomized controlled trials and observational studies. Clin Infect Dis. 2021;73(11):e3804-e3813.
26. Cooper HJ, Singh DP, Gabriel A, Mantyh C, Silverman R, Griffin L. Closed incision negative pressure therapy versus standard of care in reduction of surgical site complications: a systematic review and meta-analysis. Plast Reconstr Surg Glob Open. 2023;11(3):e4722.
27. Liberati A, Altman DG, Tetzlaff J, et al. The PRISMA statement for reporting systematic reviews and meta-analyses of studies that evaluate health care interventions: explanation and elaboration. PLoS Medicine. 2009;6(7):e1000100.
28. Singh DP, Gabriel A, Parvizi J, Gardner MJ, D'Agostino R, Jr. Meta-analysis of comparative trials evaluating a single-use closed-incision negative-pressure therapy system. Plast Reconstr Surg. 2019;143(Suppl 1):41S-46S.
29. Leuchter M, Hitzbleck M, Schafmayer C, Philipp M. Use of incisional preventive negative pressure wound therapy in open incisional hernia repair: Who benefits? Wound Repair Regen. 2021;29(5):759-765.
30. Willy C, Agarwal A, Andersen CA, et al. Closed incision negative pressure therapy: international multidisciplinary consensus recommendations. Int Wound J. 2017;14(2):385-398.
31. Chambers LM, Morton M, Lampert E, et al. Use of prophylactic closed incision negative pressure therapy is associated with reduced surgical site infections in gynecologic oncology patients undergoing laparotomy. Am J Obstet Gynecol. 2020;223(5):731.e731-731.e739.
32. Cheong Chung JN, Ali O, Hawthornthwaite E, et al. Closed incision negative pressure wound therapy is associated with reduced surgical site infection after emergency laparotomy: A propensity matched-cohort analysis. Surgery. 2021;170(5):1568-1573.
33. Curran T, Alvarez D, Pastrana Del Valle J, Cataldo TE, Poylin V, Nagle D. Prophylactic closed-incision negative-pressure wound therapy is associated with decreased surgical site infection in high-risk colorectal surgery laparotomy wounds. Colorectal Dis. 2019;21(1):110-118.
34. Di Re AM, Wright D, Toh JWT, et al. Surgical wound infection prevention using topical negative pressure therapy on closed abdominal incisions - the 'SWIPE IT' randomized clinical trial. J Hosp Infect. 2021;110:76-83.
35. Diaconu SC, McNichols CHL, Ngaage LM, Liang Y, Ikheloa E, Bai J, et al. Closed-incision negative-pressure therapy decreases complications in ventral hernia repair with concurrent panniculectomy. Hernia. 2020;24(1):49-55.
36. Gök MA, Kafadar MT, Yeğen SF. Comparison of negative-pressure incision management system in wound dehiscence: A prospective, randomized, observational study. J Med Life. 2019;12(3):276-283.
37. Hopkins B, Eustache J, Ganescu O, Cipolla J, Kaneva P, Fried GM, et al. S116: Impact of incisional negative pressure wound therapy on surgical site infection after complex incisional hernia repair: a retrospective matched cohort study. Surg Endosc. 2021;35(7):3949-3960.
38. Javed AA, Teinor J, Wright M, et al. Negative pressure wound therapy for surgical-site infections: a randomized trial. Ann Surg. 2019;269(6):1034-1040.
39. Lavryk O, Ashburn J, Liska D, et al. Incisional negative pressure wound therapy reduces surgical site infections in complex colorectal surgery patients. Dis Colon Rectum. 2016;59(5):e380.
40. Leitao MM, Jr., Zhou QC, Schiavone MB, et al. Prophylactic negative pressure wound therapy after laparotomy for gynecologic surgery: a randomized controlled trial. Obstet Gynecol. 2021;137(2):334-341.
41. Murphy PB, Knowles S, Chadi SA, et al. Negative pressure wound therapy use to decrease surgical nosocomial events in colorectal resections (NEPTUNE): a randomized controlled trial. Ann Surg. 2019;270(1):38-42.
42. Poehnert D, Hadeler N, Schrem H, Kaltenborn A, Klempnauer J, Winny M. Decreased superficial surgical site infections, shortened hospital stay, and improved quality of life due to incisional negative pressure wound therapy after reversal of double loop ileostomy. Wound Repair Regen. 2017;25(6):994-1001.
43. Schurtz E, Differding J, Jacobson E, Maki C, Ahmeti M. Evaluation of negative pressure wound therapy to closed laparotomy incisions in acute care surgery. Am J Surg. 2018;215(1):113-115.
44. Wang E, Archer L, Foster A, Ballal M. Large abdominal hernia repair with closed incision negative pressure therapy: a case series. J Wound Care. 2021;30(3):192-196.
45. Yin L, Lau K, Mehra G, Sayasneh A. Closed-incision negative pressure wound management following midline laparotomy in gynecological oncology operations: a feasibility pilot study. Cureus. 2021;13(11):e19871.


