Dermal Perfusion of Common Donor Sites Free Flaps in Chronic Smokers and Nonsmokers
| Dermal Perfusion of Common Donor Sites Free Flaps in Chronic Smokers and Nonsmokers | |
| ,a ,b ,c ,a ,a ,a ,a ,a | |
aDepartment of Plastic, Reconstructive, Hand and Burn Surgery, BG-Trauma Center, Eberhard Karls University Tuebingen, Germany; bDepartment of Plastic, Hand, Aesthetic and Burn Surgery, Stiftungsklinikum Mittelrhein, Koblenz, Germany; and cDepartment of Plastic Surgery, Hand and Burns Surgery, University Aachen, Germany | |
Correspondence: a.rahmanian@web.de |
|
Objective: The smoking behavior of the patient influences the indication of plastic surgeon in his reconstruction procedure on the assumption that smoking may increase the complication risks. In the present study, we evaluate the particular aspect of topographic differences in dermal perfusion in chronic smokers and nonsmokers. Methods: The perfusion parameter of 8 common donor sites for free flap transplantation were investigated in 152 smoking and nonsmoking subjects (n = 152; women: n = 78, 51%; men: n = 74, 49%; smokers: n = 38, 25%; nonsmokers: n = 114, 75%) using the O2C device (LAE Medizintechnik Giessen GmbH, Gießen, Germany). Oxygen saturation (%), relative hemoglobin concentration (AU [arbitrary unit]), Velocity (AU) and Flow (AU) were monitored noninvasively and compared. Results: All monitored regions did not show any significant differences in parameters oxygen saturation (smokers = 40%, nonsmokers = 44.5%), relative hemoglobin concentration (smokers = 60 AU, nonsmokers = 60 AU), flow (smokers = 19.5 AU, nonsmokers = 16.5 AU) and velocity (smokers = 10 AU, nonsmokers = 10 AU) between chronic smoking and nonsmoking subjects (P < .05). Also, a distinction between smokers and nonsmokers as a function of gender (women: n = 78, 51%; men: n = 74, 49%) showed no significant differences in all 4 parameters. Conclusions: Varied statements regarding surgical complications in chronic and acute smokers were described in the literature. This raises the question of how far restricting the indication of reconstruction procedure for smoking patients due to higher complications is justified. In our study, there is no significant drop of dermal perfusion parameters after chronic tobacco consumption. Nonetheless, the unfavorable effects of smoking in general to human body and health remain undoubted. |
Transplantation of free flaps has become a common and essential tool for the closure of large defects in reconstructive surgery. Flap failure, tissue necrosis, hematoma formation, impaired wound healing, and prolonged recovery time of patients are the most frequently reported complications after free flap transfers.1,2 According to literature, these complications occur significantly more often in acute smoking patients than in nonsmoking patients.3-6 Searching for causes acute smoking is not only known to lead to local vasoconstriction by increasing skin sympathetic activity and to promote endothelial dysfunction but also to decrease tissue blood flow, oxygen tension, and aerobe metabolism.7 As it is reported that the success rate of free flap transfers depends on the donor site,8 many surgeons think of tobacco consumption as a generally contraindication for free flap transplantation.9 Considering the adverse aspects of smoking on the outcome of surgery in addition to broad clinical experience, some surgeons even claim the right to deny elective surgery to heavy smokers.10,11
However, patients often need a plastic surgery reconstruction, which are chronic smokers. Furthermore, varied statements regarding surgical complications in chronic smokers were described in the literature. To scrutinize these views and the unfavorable effects of chronic tobacco consumption on the cutaneous microcirculation, this study aims at investigating topographic differences in dermal perfusion in 152 female and male chronic smokers and nonsmokers using the O2C device (LEA Medizintechnik Giessen GmbH, Gießen, Germany).
METHODS
The measurements were carried out in 2009 using the O2C device. On the basis of a multichannel system, the instrument uses the reflection of emitted white light to detect oxygen saturation (sO2 in %) and relative hemoglobin concentration (rHb in AU [arbitrary unit]), and the reflection of emitted laser light to calculate flow (F in AU) and velocity (V in AU) of corpuscular structures within the vessels such as erythrocytes.12 The method performs a noninvasive measurement of all four parameters at 2 mm depth.
The study population consisted of 152 test persons (n = 152; women: n = 78, 51%; men: n = 74, 49%) at an average age of 32.6 (18-75) years and included 38 subjects (n = 38, 25%) who declared to regularly smoke tobacco (up to 20 or more cigarettes a day). Exclusion criteria were vascular and dermatological diseases, hypertonia, diabetes mellitus, and anticoagulative medication. Patients were advised to quit smoking 24 hours before our measurements. Table 1 shows the demographic data and inclusion criteria of our test persons.
| Table 1. Demographic data and characteristics of all smoking and nonsmoking subjects* | |||
| Total | Smokers | Nonsmokers | |
| Quantity, n (%) | 152 (100) | 38 (25) | 114 (75) |
| Female, n (%) | 78 (51) | 16 | 62 |
| Male, n (%) | 74 (49) | 22 | 52 |
| Age, median (range), y | 32.6 (18-75) | ||
| Heart frequency, median (range), bpm | 72 (54-96) | ||
| Middle arterial pressure, median (range), mm Hg | 100 (70-120) | ||
| Female | |||
| Weight, median (range), kg | 66.5 (49-100) | ||
| BMI, median (range) | 23.8 (19.1-35) | ||
| Male | |||
| Weight, median (range), kg | 82 (60-106) | ||
| BMI, median (range) | 25.6 (19.6-35.1) | ||
| Cigarettes per day (average) | 20 | ||
| Pack years (average) | 4.5 | ||
| Time period between last cigarette and surgery, h | 24 | ||
| *BMI indicates body mass index. | |||
Eight regions of the body which are commonly used as donor sites in free flap transplantation and the forehead which is known as one of the best perfused regions of the body13 have been chosen as regions of interest (Table 2). Two standardized measurements of each region in a distance of 7 days were taken on the laying test persons after resting for at least 5 minutes to calculate average values.
| Table 2. Parameters depending on body region and gender (medians: female/male) for smokers (s) and nonsmokers (ns)* | ||||||||
| sO2 (s) | sO2 (ns) | rHb (s) | rHb (ns) | F (s) | F (ns) | V (s) | V (ns) | |
| Forehead | 58/50 | 50/55 | 68/74 | 66/76 | 50/64 | 37/47 | 14/14 | 13/14 |
| Upper arm | 40/45 | 43/51 | 58/62 | 60/66 | 16/11 | 14/13 | 8/8 | 8/10 |
| p. Forearm | 39/41 | 40/49 | 56/63 | 58/66 | 23/28 | 13/17 | 10/10 | 8/8 |
| d. Forearm | 45/49 | 48/52 | 61/70 | 60/72 | 17/22 | 12/18 | 8/10 | 8/10 |
| Back of the hand | 44/48 | 48/53 | 67/76 | 67/74 | 42/37 | 32/35 | 13/12 | 11/12 |
| Supraumbilical | 13/31 | 13/16 | 53/55 | 56/59 | 11/25 | 16/16 | 8/8 | 10/8 |
| Thigh | 37/42 | 36/47 | 50/55 | 57/62 | 14/16 | 15/17 | 10/10 | 10/10 |
| Shank | 41/38 | 27/41 | 52/55 | 54/63 | 12/17 | 8/12 | 8/8 | 8/10 |
| Scapula | 38/44 | 39/42 | 56/63 | 59/63 | 16/13 | 14/18 | 8/8 | 9/10 |
| *F indicates flow; rHb, relative hemoglobin concentration; sO2, oxygen saturation; V, velocity. | ||||||||
In addition to the aforementioned parameters, data regarding age, gender, weight, arterial pressure, and heart frequency of all subjects were collected.14
All data were processed using JMP software (Version 5.1) for analyses of regression and variance. P < .05 was considered to indicate statistically significant differences.
RESULTS
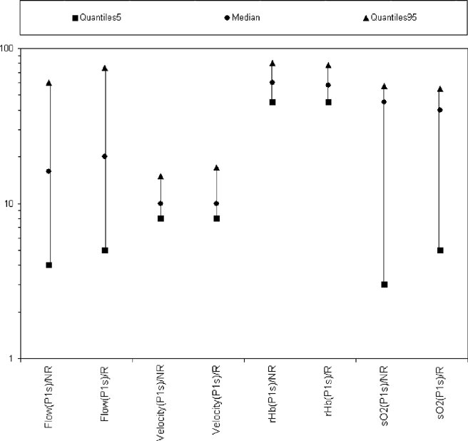
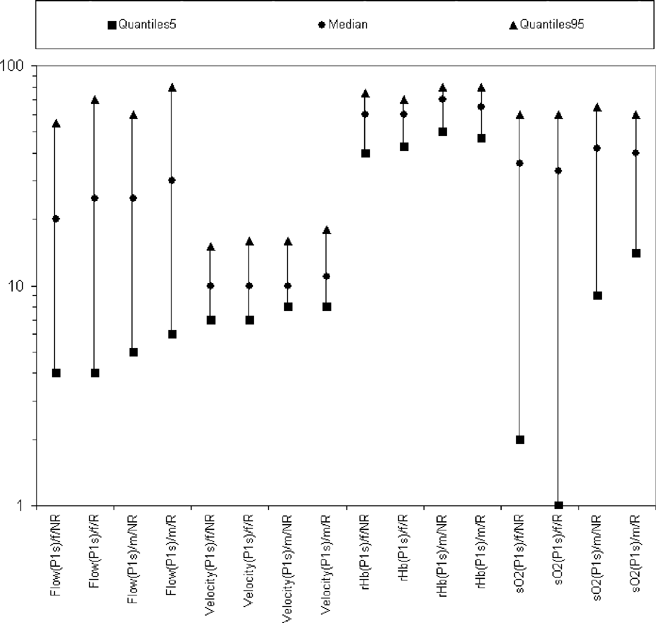
The main finding of this study is that comparing male and female chronic smokers (n = 38, 25%) to nonsmokers (n = 114, 75%) there were no significant differences in the 4 parameters oxygen saturation (sO2%), relative hemoglobin concentration (rHb [AU]), flow (F [AU]), and velocity (V [AU]) measured at 2-mm depth in the aforementioned 9 regions. (Fig 1) Also, a distinction between smokers and nonsmokers as a function of gender (women: n = 78, 51%; men: n = 74, 49%) showed no significant differences in all 4 parameters. (Fig 2).
Even comparing the measurements of each parameter of every single region of smokers and nonsmokers the findings were similar. A significant difference in none of the parameters could be found. These results could not be associated in any way to age, weight, arterial pressure, or heart frequency of the test persons.
DISCUSSION
The adverse effects of acute tobacco consumption on cutaneous microcirculation have been investigated in previous studies15 and showed increased blood pressure,16 decreased tissue blood flow, and oxygen tension7 especially in young smokers.17 With longer duration of tobacco consumption, the negative effects and impairment of acute smoking on dermal perfusion grows weaker.17 Chronic smokers' microcirculation seems to become inured to smoke18 and a generalized microvascular vasomotor dysfunction19 with disturbed peripheral microcirculation20 is assumed.
On the assumption that smoking increases the complication risks, some surgeons claim the right to deny elective surgery to heavy smokers. Unfortunately, the majority of patients needing plastic surgery reconstructions are chronic smokers. However, considering the different statements in the literature on the effects of chronic smoking, the question arises how far a restraint regarding indication of reconstruction procedure for these patients is justified.
In this context, we monitored the effects of chronic tobacco consumption of perfusion parameter of common donor sites for flap transplantation in 152 smoking and nonsmoking subjects. Excluding patients with additional disease such as hypertonia and vascular disorder from our study groups, we focused our evaluation of the isolated effect of smoking. The measurement method with the O2C device has already been validated by Walter et al21 in an experimental work and showed a very good correlation coefficient. O2C is a suitable and easy method for monitoring tissue oxygenation and blood flow noninvasive and simultaneously.22 After defining individual basic values for all parameters for every subject using the O2C device intraindividual changes and disturbances could be performed very easily and precisely.
The highest flow and concentration of hemoglobin was found in the region of the forehead and the dorsum of the hand. This goes along with the findings of Stucker et al,13 who observed a remarkably higher bloodflow in the face compared to all other regions of the body.13 In concordance with the study of Wolff et al, a poor oxygenation was found in the paraumbilical region in both smokers and nonsmokers.23
In 1996, Kroll et al8 claimed that the success rate of free flap transfers depends on the donor site. Following Kroll's assumption, we decided to evaluate common donor sites for free flap transplantation regarding their potential. Furthermore, we assessed the dermal perfusion of the donor site as an important indicator for flap perfusion and flap survival.
Thinking of dermal perfusion as a function of gender, Stucker et al13 and Maurel et al24 reported differences in dermal perfusion in women and men, whereas Park et al25 report no differences. In our study, gender had no influence on dermal perfusion in women and men no matter if the subject smoked or not.
Analyzing the association between chronic smoking and complications following skin surgery, Dixon et al26 even claimed smokers and nonsmokers to suffer complications similarly.
Considering our results and the previously mentioned literature, the negative effects of acute tobacco consumption appear more likely to be responsible for surgery's outcome, which goes along with the findings of Bianchi et al1 and van Adrichem et al.27 That is why a preoperative smoking cessation of at least 4 weeks is recommended in elective surgery to significantly reduce the risk of postoperative complications and increase the statistical probability of flap survival.28,29
If a preoperative smoking cessation is not possible, patients should be advised to immediately quit smoking,30 as smoking in the perioperative period should absolutely be avoided.31 The patients have to be offered professional counseling to reach this goal.10
Also confirming our results, in basal condition, Rossi et al32 did not observe any significant difference in spectral intensity of skin flowmotion between smokers and nonsmokers. However, they observed an absent postischemic increase of blood flowmotion in the cutaneous microcirculation of healthy chronic cigarette smokers together with a relatively preserved skin postischemic hyperemia Regarding ischemia-reperfusion injuries as well as known complication of flap transplantations, this particular aspect should be investigated in further studies concerning a possible influence.
CONCLUSION
Summing up, the results of this study suggest the conclusion that chronic tobacco consumption does not lead to decreased dermal perfusion in any of the investigated 9 regions of the body of women or men in comparison with nonsmokers. On the basis of our assessed parameters, chronic tobacco consumption has not been verified to be a contraindication for flap transfers generally. In addition, we believe that our results provide a valuable baseline data, which are indispensable for further specific investigation regarding the smoking effect of different flap types. Nevertheless, the harmful effects of chronic smoking for the human body and health should not be underestimated.
1. Bianchi B, Copelli C, Ferrari S, Ferri A, Sesenna E. Free flaps: outcomes and complications in head and neck reconstructions. J Craniomaxillofac Surg. 2009;37(8):438-42. |
2. Pohlenz P, Blessmann M, Blake F, Li L, Schmelzle R, Heiland M. Outcome and complications of 540 microvascular free flaps: the Hamburg experience. Clin Oral Investig. 2007;11(1):89-92. |
3. Hoogendoorn JM, Simmermacher RK, Schellekens PP, van der Werken C. [Adverse effects if smoking on healing of bones and soft tissues]. Der Unfallchirurg 2002;105(1):76-81. |
4. Chang LD, Buncke G, Slezak S, Buncke HJ. Cigarette smoking, plastic surgery, and microsurgery. J Reconstr Microsurg. 1996;12(7):467-74. |
5. Goldminz D, Bennett RG. Cigarette smoking and flap and full-thickness graft necrosis. Arch Dermatol. 1991;127(7):1012-5. |
6. Sorensen LT, Horby J, Friis E, Pilsgaard B, Jorgensen T. Smoking as a risk factor for wound healing and infection in breast cancer surgery. Eur J Surg Oncol. 2002;28(8):815-20. |
7. Sorensen LT, Jorgensen S, Petersen LJ, Hemmingsen U, Bulow J, Loft S, et al. Acute effects of nicotine and smoking on blood flow, tissue oxygen, and aerobe metabolism of the skin and subcutis. J Surg Res. 2009;152(2):224-30. |
8. Kroll SS, Schusterman MA, Reece GP, et al. Choice of flap and incidence of free flap success. Plast Reconstr Surg. 1996;98(3):459-63. |
9. Spear SL, Ducic I, Cuoco F, Hannan C. The effect of smoking on flap and donor-site complications in pedicled TRAM breast reconstruction. Plast Reconstr Surg. 2005;116(7):1873-80. |
10. Rohrich RJ. Cosmetic surgery and patients who smoke: should we operate? Plast Reconstr Surg. 2000;106(1):137-8. |
11. Krueger JK, Rohrich RJ. Clearing the smoke: the scientific rationale for tobacco abstention with plastic surgery. Plast Reconstr Surg. 2001;108(4):1063-73; discussion 74-7. |
12. Zeghal K, Geslin P, Maurel A, Lagrue G, Lhoste F. Laser-Doppler velocimetry: a new technic for evaluating of microcirculation. A reproducibility study [in French]. Presse Med. 1986;15(40):1997-2000. |
13. Stucker M, Steinberg J, Memmel U, Avermaete A, Hoffmann K, Altmeyer P. Differences in the two-dimensionally measured laser Doppler flow at different skin localisations. Skin Pharmacol Appl Skin Physiol. 2001;14(1):44-51. |
14. Ogrin R, Darzins P, Khalil Z. Age-related changes in microvascular blood flow and transcutaneous oxygen tension under Basal and stimulated conditions. J Gerontol A Biol Sci Med Sci. 2005;60(2):200-6. |
15. Dalla Vecchia L, Palombo C, Ciardetti M, et al. Contrasting effects of acute and chronic cigarette smoking on skin microcirculation in young healthy subjects. J Hypertens. 2004;22(1):129-35. |
16. Ijzerman RG, Serne EH, van Weissenbruch MM, de Jongh RT, Stehouwer CD. Cigarette smoking is associated with an acute impairment of microvascular function in humans. Clin Sci (Lond). 2003;104(3):247-52. |
17. Petschke FT, Engelhardt TO, Ulmer H, Piza-Katzer H. Effect of cigarette smoking on skin perfusion of the hand [in German]. Chirurg. 2006;77(11):1022-6. |
18. Monfrecola G, Riccio G, Savarese C, Posteraro G, Procaccini EM. The acute effect of smoking on cutaneous microcirculation blood flow in habitual smokers and nonsmokers. Dermatology. 1998;197(2):115-8. |
19. Edvinsson ML, Andersson SE, Xu CB, Edvinsson L. Cigarette smoking leads to reduced relaxant responses of the cutaneous microcirculation. Vasc Health Risk Manag. 2008;4(3):699-704. |
20. Midttun M, Sejrsen P, Paaske WP. Smokers have severely disturbed peripheral micro-circulation. Int Angiol. 2006;25(3):293-6. |
21. Walter B, Bauer R, Krug A, Derfuss T, Traichel F, Sommer N. Simultaneous measurement of local cortical blood flow and tissue oxygen saturation by near infra-red laser Doppler flowmetry and remission spectroscopy in the pig brain. Acta Neurochir Suppl. 2002;81:197-9. |
22. Wolff KD, Uekermann B, Matthes G, Wartenberg E. Intracapillary haemoglobin oxygenation and interstitial pO2 in venous flaps: an experimental study in rats. Microsurgery. 1998;18(5):324-30. |
23. Wolff KD, Kolberg A, Mansmann U. Cutaneous hemoglobin oxygenation of different free flap donor sites. Plast Reconstr Surg. 1998;102(5):1537-43. |
24. Maurel A, Hamon P, Macquin-Mavier I, Lagrue G. Cutaneous microvascular flow studied by laser-Doppler. A study of 100 healthy volunteers [in French]. Presse Med. 1991;20(26):1205-9. |
25. Park DH, Hwang JW, Jang KS, Han DG, Ahn KY. Mapping of the human body skin with laser Doppler flowmetry. Ann Plast Surg. 1997;39(6):597-602. |
26. Dixon AJ, Dixon MP, Dixon JB, Del Mar CB. Prospective study of skin surgery in smokers vs. nonsmokers. Br J Dermatol. 2009;160(2):365-7. |
27. van Adrichem LN, Hoegen R, Hovius SE, et al. The effect of cigarette smoking on the survival of free vascularized and pedicled epigastric flaps in the rat. Plast Reconstr Surg. 1996;97(1):86-96. |
28. Manchio JV, Litchfield CR, Sati S, Bryan DJ, Weinzweig J, Vernadakis AJ. Duration of smoking cessation and its impact on skin flap survival. Plast Reconstr Surg. 2009;124(4):1105-17. |
29. Khouri RK, Shaw WW. Reconstruction of the lower extremity with microvascular free flaps: a 10-year experience with 304 consecutive cases. J Trauma. 1989;29(8):1086-94. |
30. Hoogendoorn JM, van der Werken C. The adverse effects of smoking on healing of open tibial fractures [in German]. Ned Tijdschr Geneeskd. 2002;146(35):1640-4. |
31. Rao VK, Morrison WA, O'Brien BM. Effect of nicotine on blood flow and patency of experimental microvascular anastomosis. Ann Plast Surg. 1983;11(3):206-9. |
32. Rossi M, Carpi A, Di Maria C, Galetta F, Santoro G. Absent post-ischemic increase of blood flowmotion in the cutaneous microcirculation of healthy chronic cigarette smokers. Clin Hemorheol Microcirc. 2007;36(2):163-71. |
| JOURNAL INFORMATION | ARTICLE INFORMATION |
| Journal ID: ePlasty | Volume: 11 |
| ISSN: 1937-5719 | E-location ID: e52 |
| Publisher: Open Science Company, LLC | Published: December 19, 2011 |




